Senaste uppdateringen :
17/12/2025
Antimykotikum   Anidulafungin  
injektion
Lösningars stabilitet Stabilitet i blandningar Faktorer som påverkar stabiliteten Kompatibilitet Administreringssätt Hänvisningar pdf
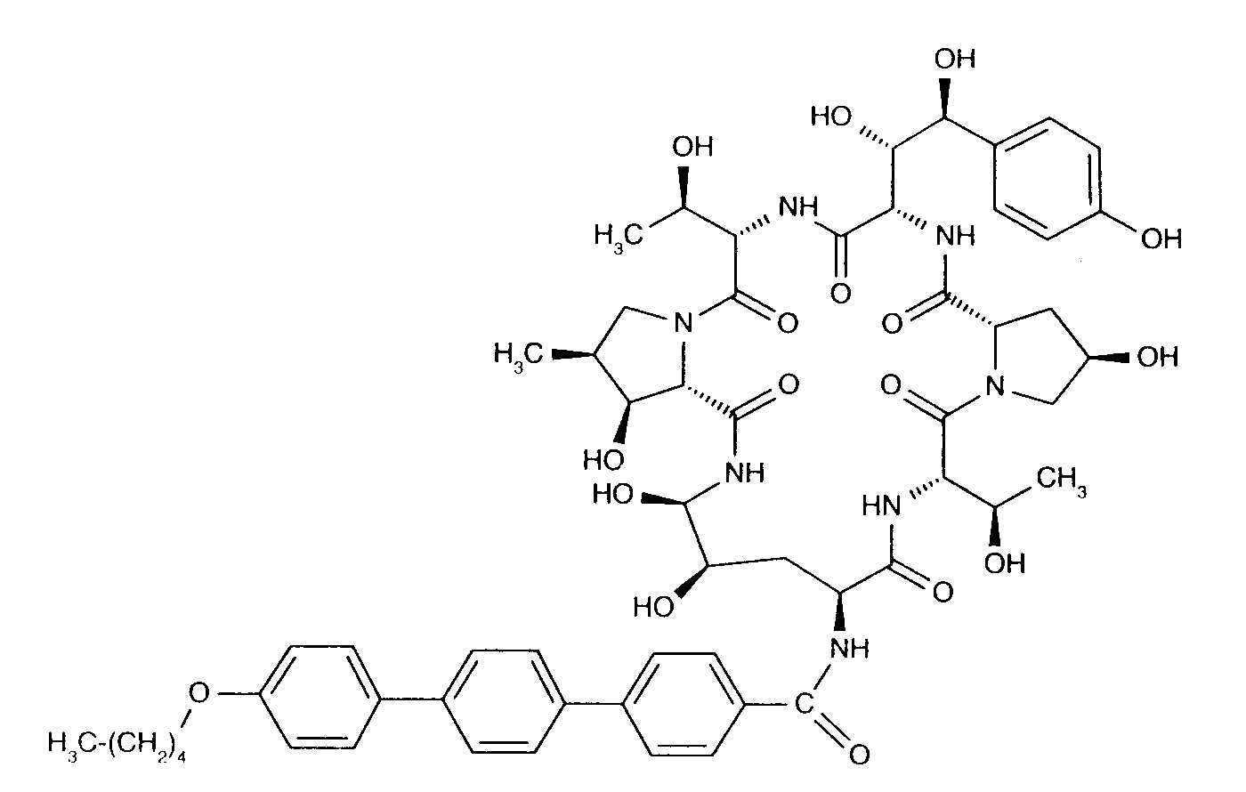
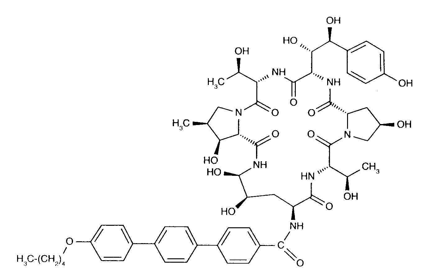
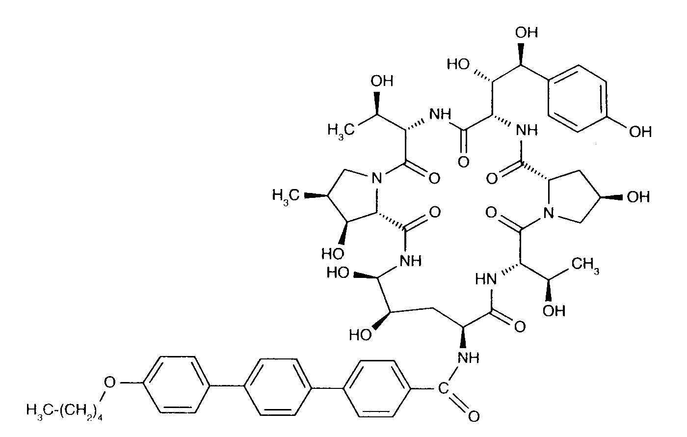
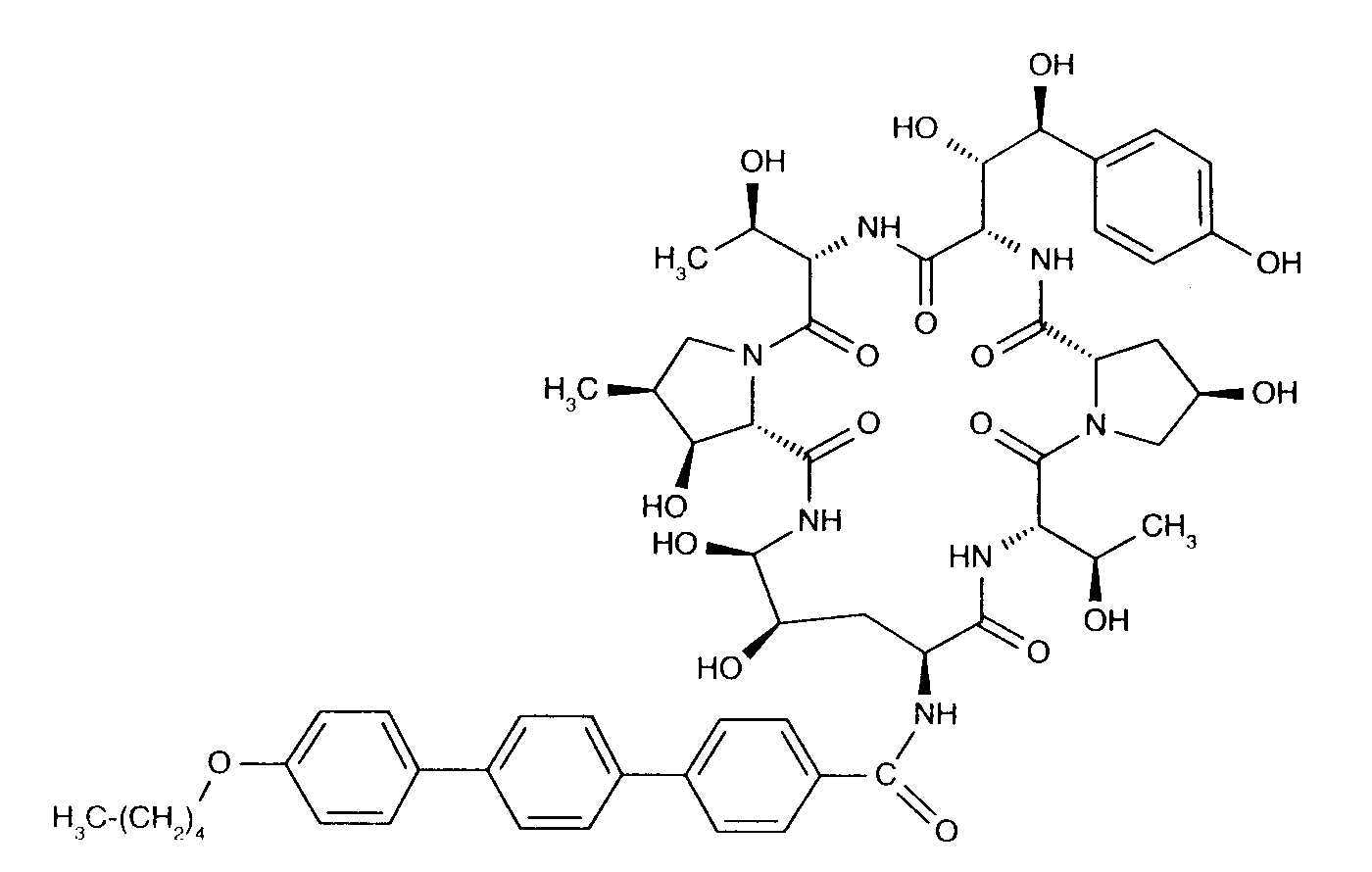
   Molekylstruktur  

Varunamn   Varunamn     

Angivna handelsnamn på läkemedel är enbart vägledande då formulering inklusive hjälpämnen kan variera mellan länder och tillverkare

Anidulafungin Belgien, Storbritannien, Tyskland
Anidulafungina Brasilien, Spanien
Ecalta Argentina, Belgien, Brasilien, Chile, Colombia, Danmark, Finland, Förenta Staterna, Frankrike, Grekland, Italien, Kanada, Luxemburg, Malaysia, Nederländerna, Norge, Peru, Polen, Rumänien, Schweiz, Spanien, Storbritannien, Sverige, Turkiet, Tyskland, Ungern, Venezuela
Equalta Mexiko
Eraxis Australien, Förenta Staterna, Kanada
Fuzig Mexiko

Faktorer som påverkar stabiliteten   injektion   Faktorer som påverkar stabiliteten : Anidulafungin        
Hänvisningar
Lösningsmedel NaHCO3 Orsakar Nedbrytning 1982
Temperatur -20°C Orsakar Utfällning 3567

  Mentions Légales