Posledná aktualizácia :
18/03/2026
antimykotikum   Anidulafungin  
Injekcia
Stabilita roztokov Stabilita v zmesiach Faktory ovplyvňujúce stabilitu Kompatibility spôsob podania Odkazy na literatúru PDF
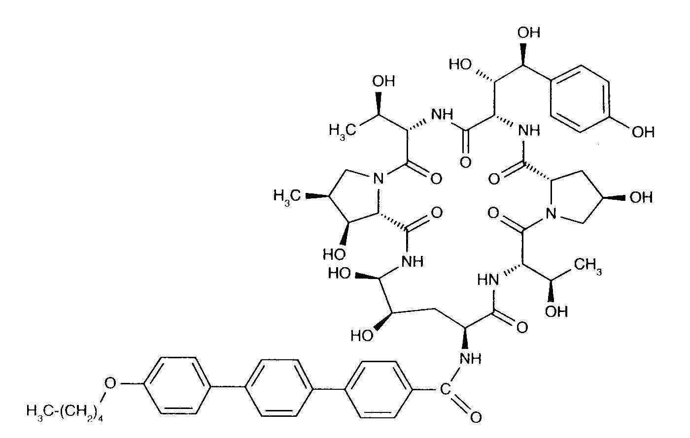
   Chemický vzorec  

Obchodný názov   Obchodný názov     

Obchodné názvy sú orientačné, a zloženie pomocných látok sa môže líšiť v závislosti od krajiny a výrobcu.

Anidulafungin Belgicko, Nemecko, Veľká Británia
Anidulafungina Brazília, Španielsko
Ecalta Argentína, Belgicko, Brazília, Čile, Dánsko, Fínsko, Francúzsko, Grécko, Holandsko, Kanada, Kolumbia, Luxembursko, Maďarsko, Malajzia, Nemecko, Nórsko, peru, Poľsko, Rumunsko, Španielsko, Spojené štáty Americké, Švajčiarsko, Švédsko, Taliansko, Turecko, Veľká Británia, Venezuela
Equalta Mexiko
Eraxis Austrália, Kanada, Spojené štáty Americké
Fuzig Mexiko

Faktory ovplyvňujúce stabilitu   Injekcia   Faktory ovplyvňujúce stabilitu : Anidulafungin        
odkazy na lieteratúru
rozpúšťadlo NaHCO3 indukuje degradácia 1982
teplota -20°C indukuje zrážanie 3567

  Mentions Légales