Pēdējā atjaunošana :
18/03/2026
Pretsēnīšu līdzeklis   Anidulafungin  
Injekcija
Šķīduma stabilitāte Maisījuma stabilitāte Stabilitāti ietekmējoši faktori Saderība Levadīšanas veids Literatūras saraksts pdf
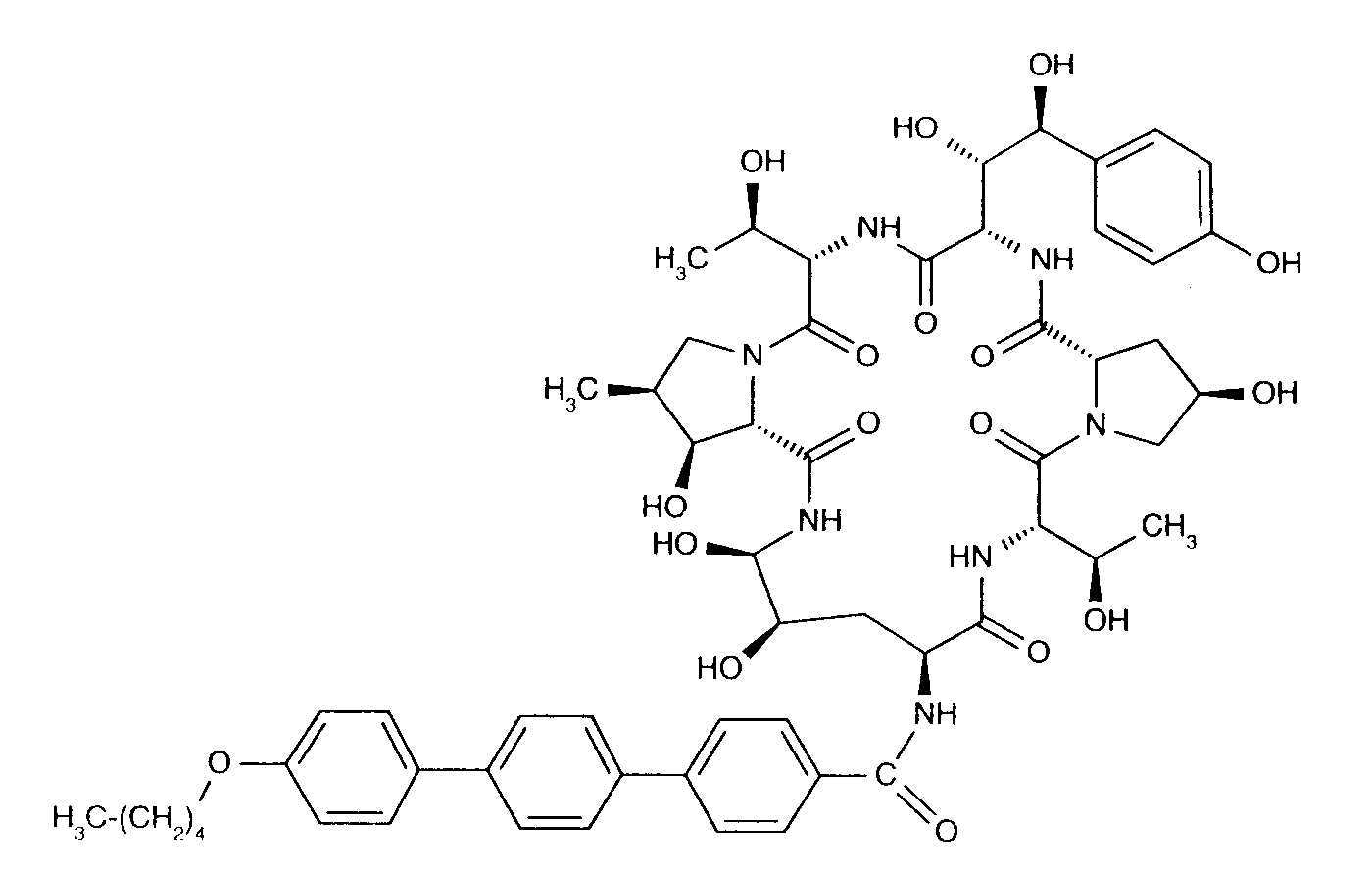
   Ķīmiskā uzbūve   

Oriģinālais nosaukums   Oriģinālais nosaukums     

Tirdzniecības nosaukumi ir apzīmējoši un palīgvielas var atšķirties dažādām valstīm un laboratorijām

Anidulafungin Beļģija, Lielbritānija, Vācija
Anidulafungina Brazīlija, Spānija
Ecalta Amerikas Savienotās Valstis, Argentīna, Beļģija, Brazīlija, Čīle, Dānija, Francija, Grieķija, Holande, Itālija, Kanāda, Kolumbija, Lielbritānija, Luksemburga, Malaizija, Norvēģija, Peru, Polija, Rumānija, Somija, Spānija, Šveice, Turcija, Ungārija, Vācija, Venecuēla, Zviedrija
Equalta Meksika
Eraxis Amerikas Savienotās Valstis, Austrālija, Kanāda
Fuzig Meksika

Stabilitāti ietekmējoši faktori   Injekcija   Stabilitāti ietekmējoši faktori : Anidulafungin        
Literatūras saraksts
Šķīdinātājs NaHCO3 Izraisošs Deģenerācija 1982
Temperatūra -20°C Izraisošs Nogulsnes 3567

  Mentions Légales