Dernière mise à jour :
18/03/2026
Antifongique   Anidulafungin  
injectable
Stabilité des solutions Stabilité en mélange Facteur influençant la stabilité Compatibilités Voie d’administration Bibliographie pdf
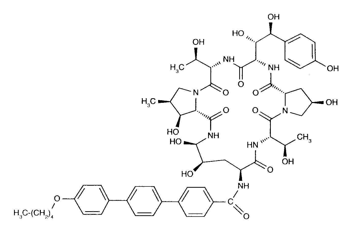
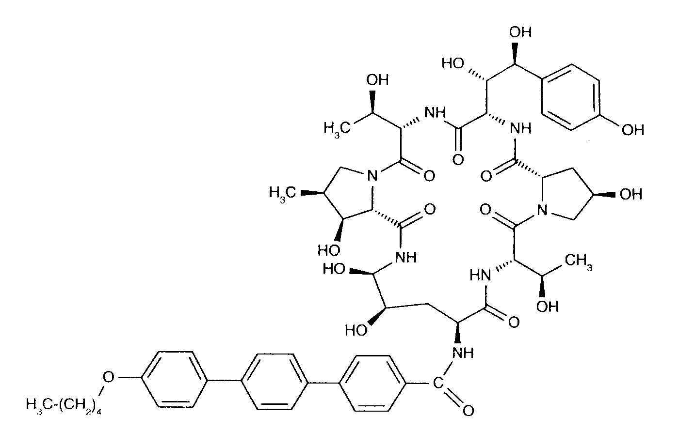
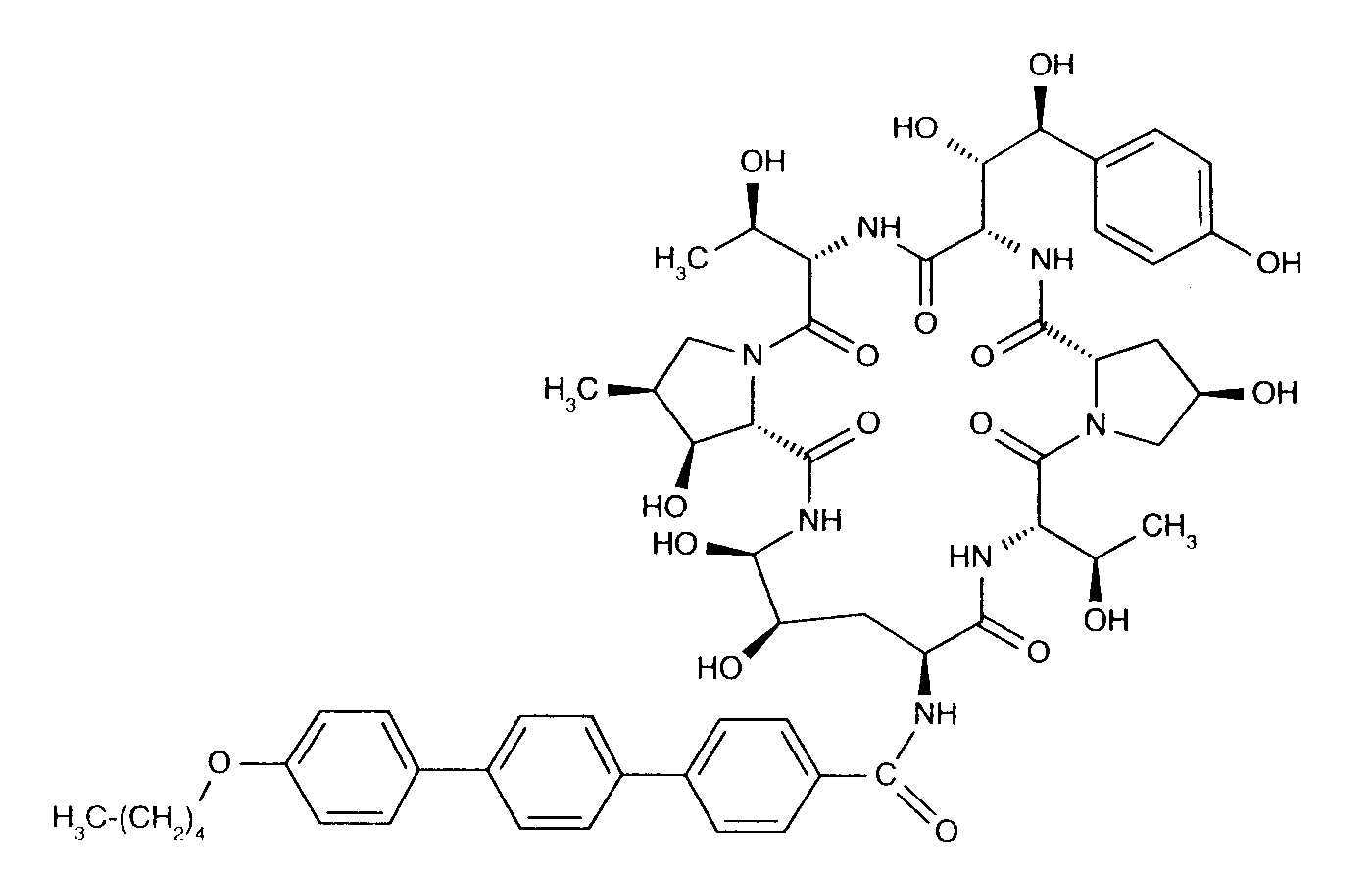
   Structure chimique  

Noms commerciaux   Noms commerciaux     

Les noms commerciaux sont donnés à titre indicatif et la composition en excipients peut être différente selon les pays et selon les laboratoires

Anidulafungin Allemagne, Belgique, Grande Bretagne
Anidulafungina Brésil, Espagne
Ecalta Allemagne, Argentine, Belgique, Brésil, Canada, Chili, Colombie, Danemark, Espagne, Etats Unis d’Amérique, Finlande, France, Grande Bretagne, Grèce, Hongrie, Italie, Luxembourg, Malaisie, Norvège, Pays bas, Pérou, Pologne, Roumanie, Suède, Suisse, Turquie, Vénézuela
Equalta Mexique
Eraxis Australie, Canada, Etats Unis d’Amérique
Fuzig Mexique

Facteur influençant la stabilité   injectable   Facteur influençant la stabilité : Anidulafungin        
Bibliographie
Solvant NaHCO3 Provoque Dégradation 1982
Température -20°C Provoque Précipitation 3567

  Mentions Légales