Siste oppdatering :
18/03/2026
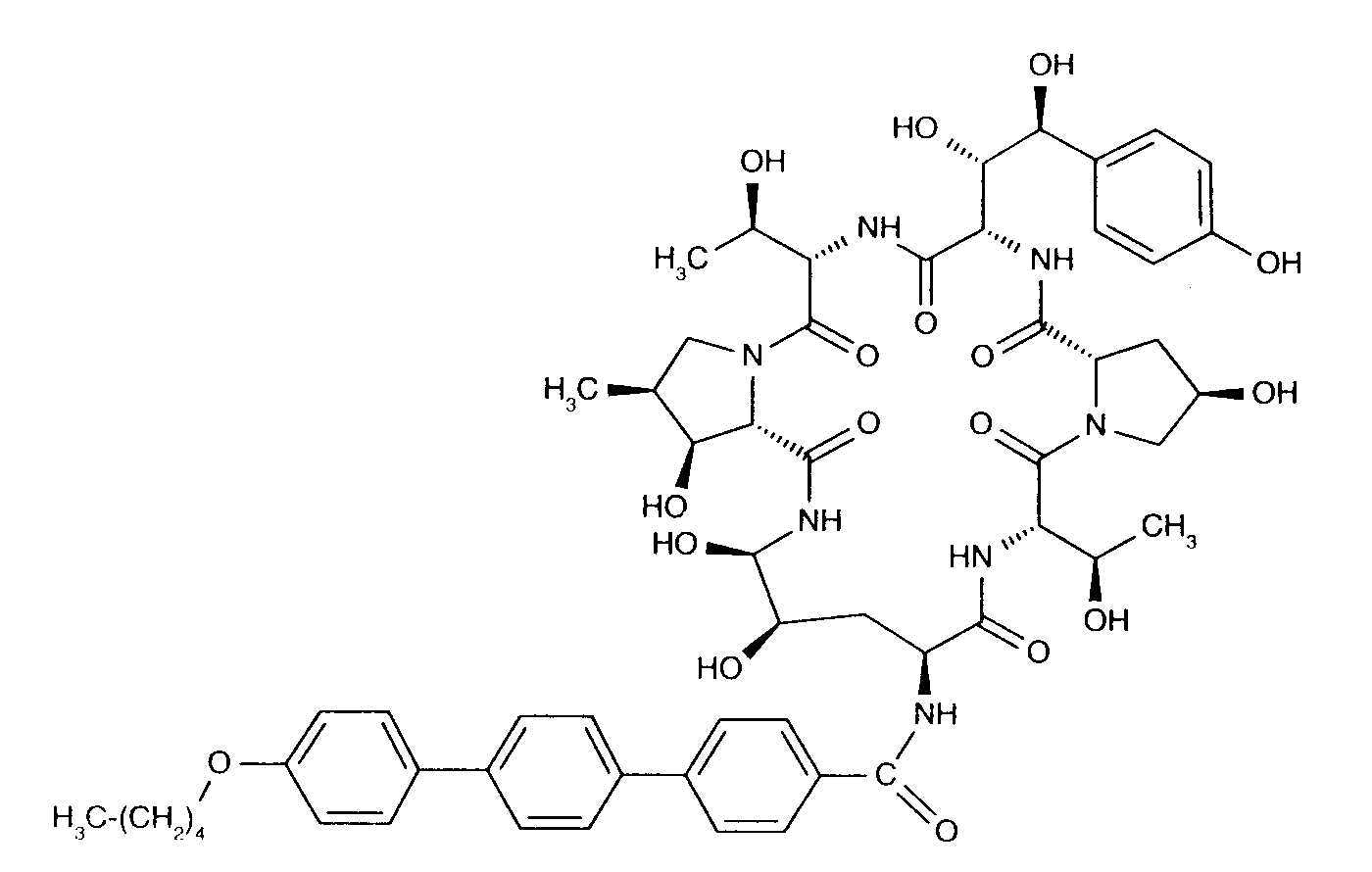
Fungicid   Anidulafungin  
Injeksjon
Oppløsningsstabilitet Stabilitet i blandinger Faktorer som påvirker stabiliteten Kompatibilitet Administrasjonsmåte Referanser pdf
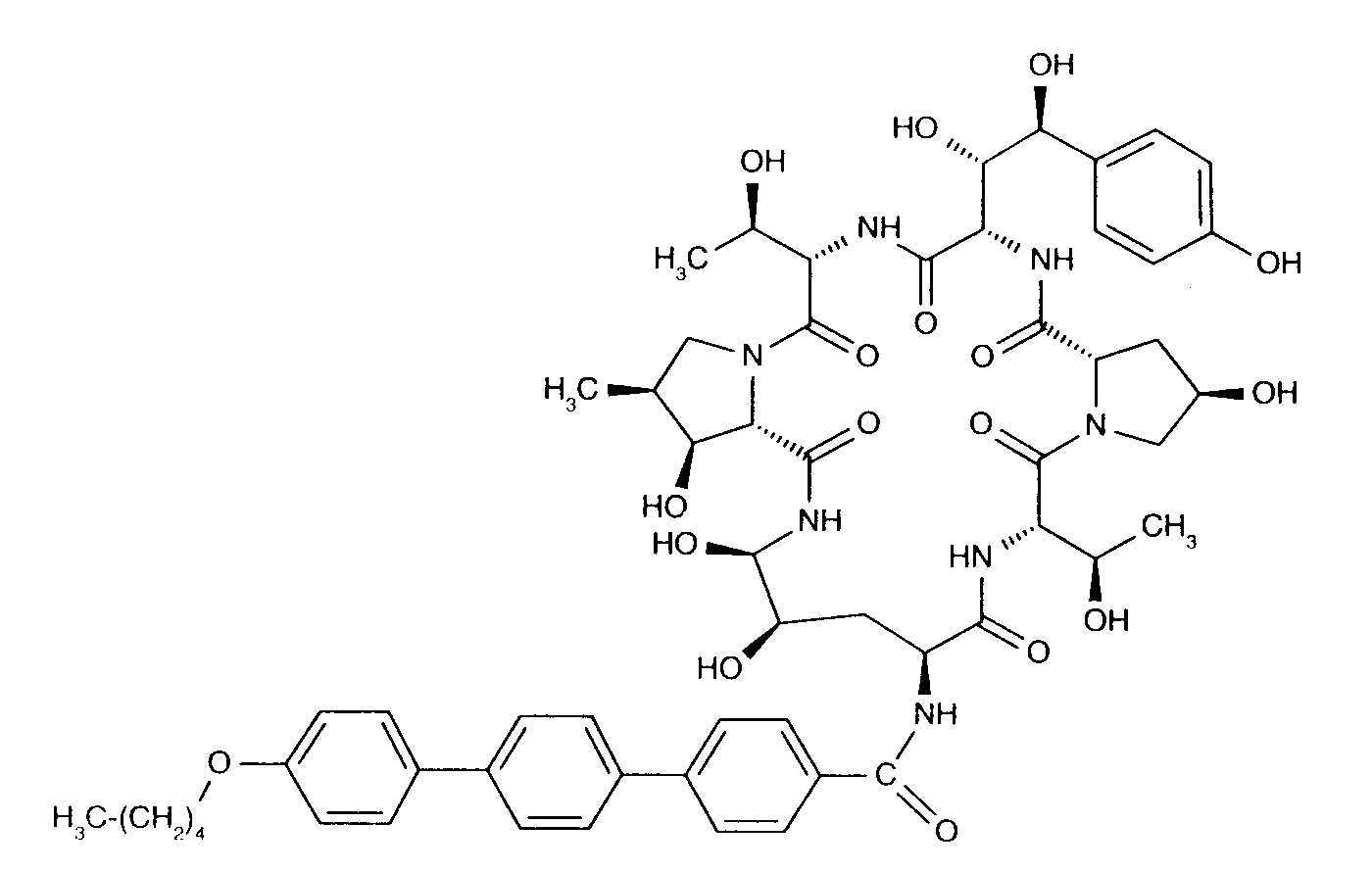
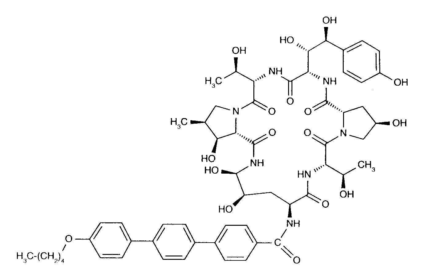
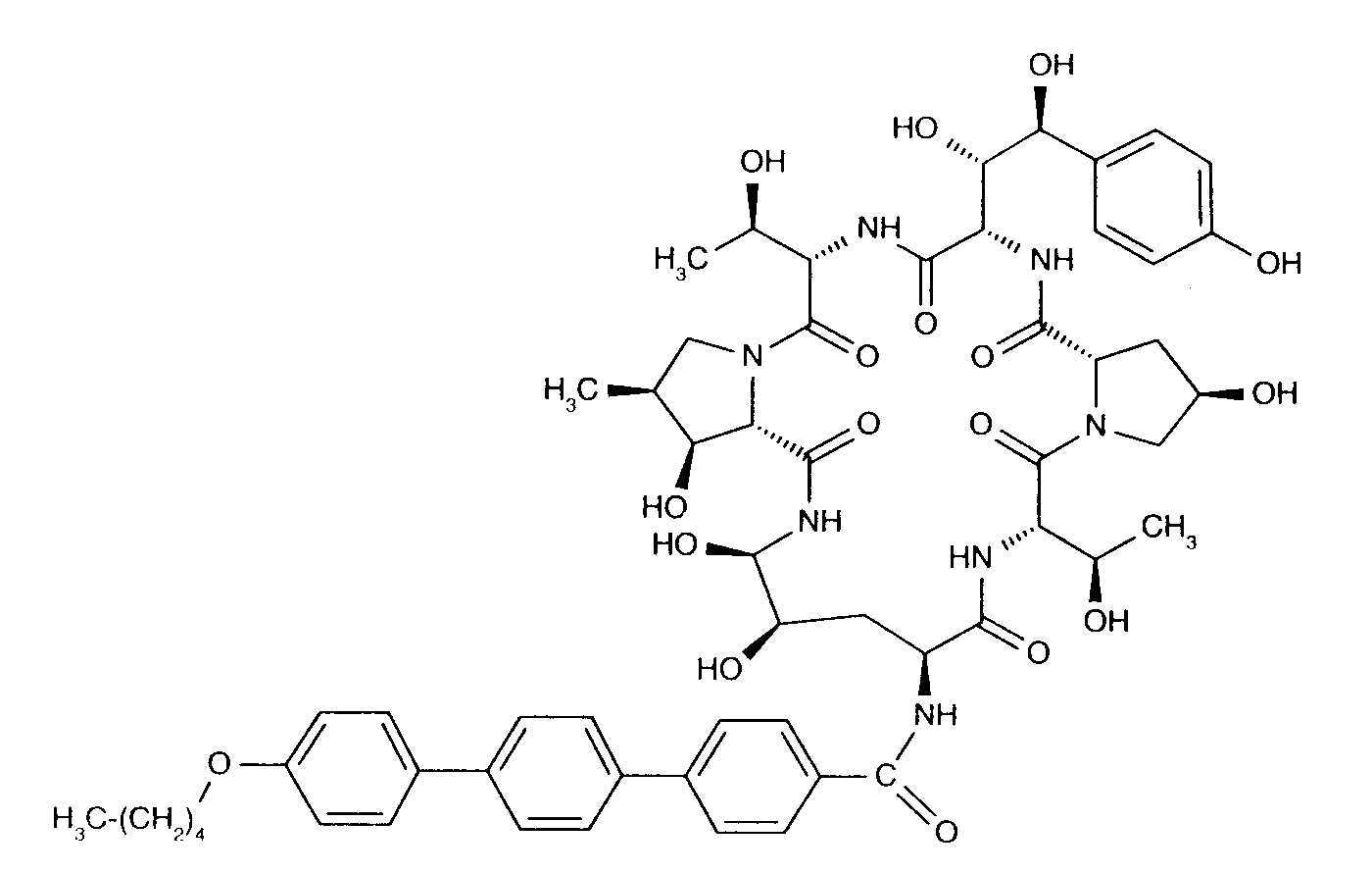
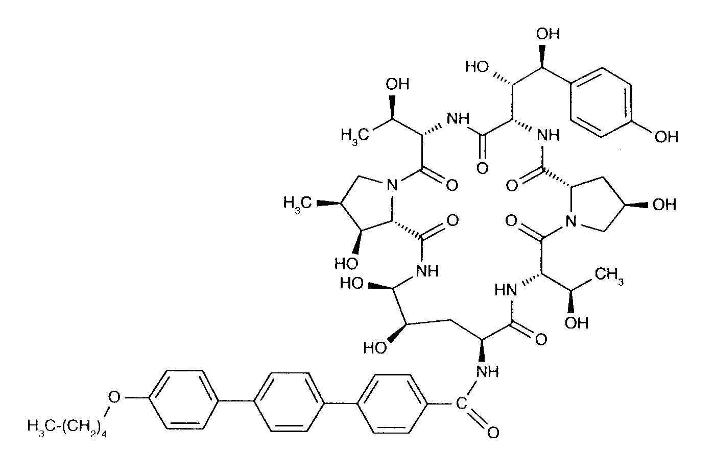
   Kjemisk struktur  

Handelsnavn   Handelsnavn     

Handelsnavn er veiledende og sammensetning av hjelpestoffer kan være forskjellig avhengig av land og produsent

Anidulafungin Belgia, Storbritannia, Tyskland
Anidulafungina Brasil, Spania
Ecalta Argentina, Belgia, Brasil, Canada, Chile, Colombia, Danmark, Finland, Frankrike, Hellas, Italia, Luxembourg, Malaysia, Nederland, Norge, Peru, Polen, Romania, Spania, Storbritannia, Sveits, Sverige, Tyrkia, Tyskland, Ungarn, USA, Venezuela
Equalta Mexico
Eraxis Australia, Canada, USA
Fuzig Mexico

Faktorer som påvirker stabiliteten   Injeksjon   Faktorer som påvirker stabiliteten : Anidulafungin        
Referanser
Oppløsningsmiddel NaHCO3 Induserer Degradasjon 1982
Temperatur -20°C Induserer Utfelling 3567

  Mentions Légales