viimane versioon :
18/03/2026
Seenevastane ravim   Anidulafungin  
Süsteravim
Stabiilsus lahustes Stabiilsust mõjutavad tegurid stabiilsust mõjutavad faktorid Sobimatus Manustamis viis Viited pdf
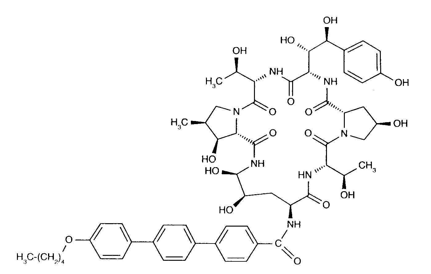
   keemiline struktuur  

Kaubanduslikud nimed erinevates maades   Kaubanduslikud nimed erinevates maades     

Preparaatide nimed on näitlikud ja abianete sisaldus võib erineda sõltuvalt riigist ja laborist

Anidulafungin Belgia, Saksamaa, Suurbritannia
Anidulafungina Brasiilia, Hispaania
Ecalta Ameerika ühendriigid, Argentiina, Belgia, Brasiilia, Hispaania, Holland, Itaalia, Kanada, Kolumbia, Kreeka, Luksemburg, Malaisia, Maroko, Norra, Poola, Prantsusmaa, Rootsi, Rumeenia, Saksamaa, Soome, Suurbritannia, Sveits, Taani, Tšiili, Türgi, Ungari, Venetsueela
Equalta Mehhiko
Eraxis Ameerika ühendriigid, Austraalia, Kanada
Fuzig Mehhiko

stabiilsust mõjutavad faktorid   Süsteravim   stabiilsust mõjutavad faktorid : Anidulafungin        
Viited
lahusti NaHCO3 indutseerib degradatsioon 1982
temperatuur -20°C indutseerib sadenemine 3567

  Mentions Légales