最新更新 :
18/03/2026
抗真菌薬   Anidulafungin  
注射薬
溶媒内の安定性 混合時の安定性 安定性に影響する因子 互換性 投与経路 引用文献 PDF
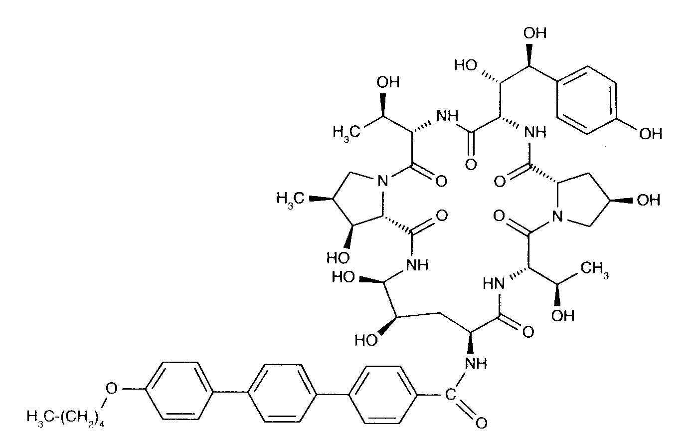
   化学構造  

商品名   商品名     

商品名、賦形剤は国、製薬会社ごとに異なることがあります

Anidulafungin イギリス, ドイツ, ベルギー
Anidulafungina スペイン, ブラジル
Ecalta アメリカ, アルゼンチン, イギリス, イタリア, オランダ, カナダ, ギリシア, コロンビア, スイス, スウェーデン, スペイン, チリ, デンマーク, トルコ, ドイツ, ノルウェー, ハンガリー, フィンランド, フランス, ブラジル, ベネズエラ, ベルギー, ペルー, ポーランド, マレーシア, ルクセンブルグ, ルーマニア
Equalta メキシコ
Eraxis アメリカ, アーストラリア, カナダ
Fuzig メキシコ

安定性に影響する因子   注射薬   安定性に影響する因子 : Anidulafungin        
引用文献
溶媒 NaHCO3 誘導 分解 1982
温度 -20°C 誘導 沈殿 3567

  Mentions Légales