Última actualización :
18/03/2026
Antifúngico   Anidulafungin  
Inyectables
Estabilidad en solucion Estabilidad en mezcla Factores que influyen sobre la estabilidad Compatibilidades método de inyección Bibliografía pdf
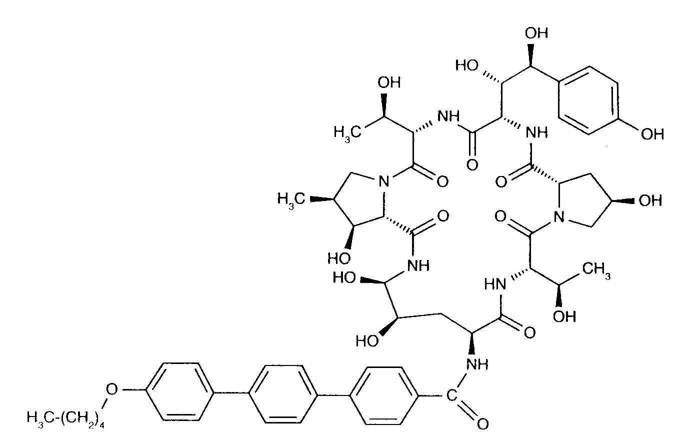
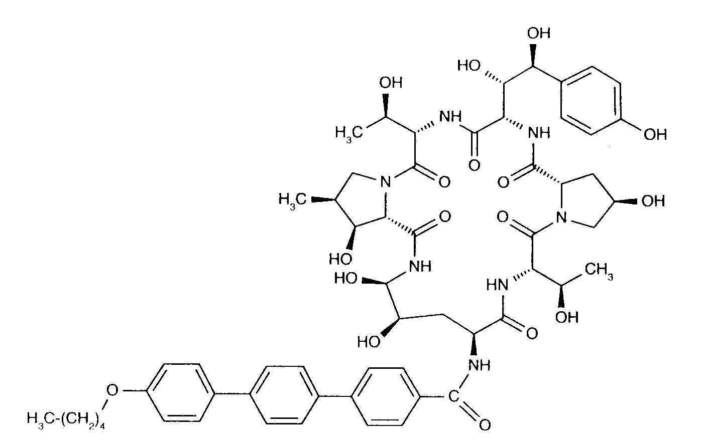
   Estructura química  

Nombre comercial   Nombre comercial     

Los nombres comerciales son orientativos y los excipientes de la formulación pueden ser distintos dependiendo del país y del laboratorio fabricante.

Anidulafungin Alemania, Bélgica, Gran Bretaña
Anidulafungina Brasil, España
Ecalta Alemania, Argentina, Bélgica, Brasil, Canadá, Chile, Colombia, Dinamarca, España, Estados Unidos de América, Finlandia, Francia, Gran Bretaña, Grecia, Hungría, Italia, Luxemburgo, Malasia, Marruecos, Noruega, Países Bajos, Polonia, Rumania, Suecia, Suiza, Turquía, Venezuela
Equalta México
Eraxis Australia, Canadá, Estados Unidos de América
Fuzig México

Factores que influyen sobre la estabilidad   Inyectables   Factores que influyen sobre la estabilidad : Anidulafungin        
Bibliografía
Solvente NaHCO3 Provoque Degradación 1982
Temperatura -20°C Provoque Precipitación 3567

  Mentions Légales