Ultimo aggiornamento :
18/03/2026
Antimicotico   Anidulafungin  
Iniezione
Stabilità in soluzione Stabilità in miscela Fattori che influenzano la stabilità Compatibilità metodo di iniezione Bibliografia pdf
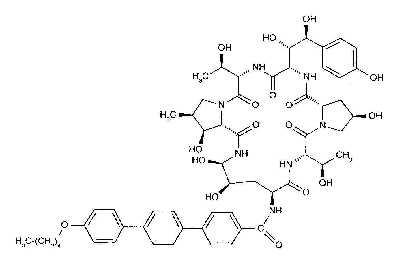
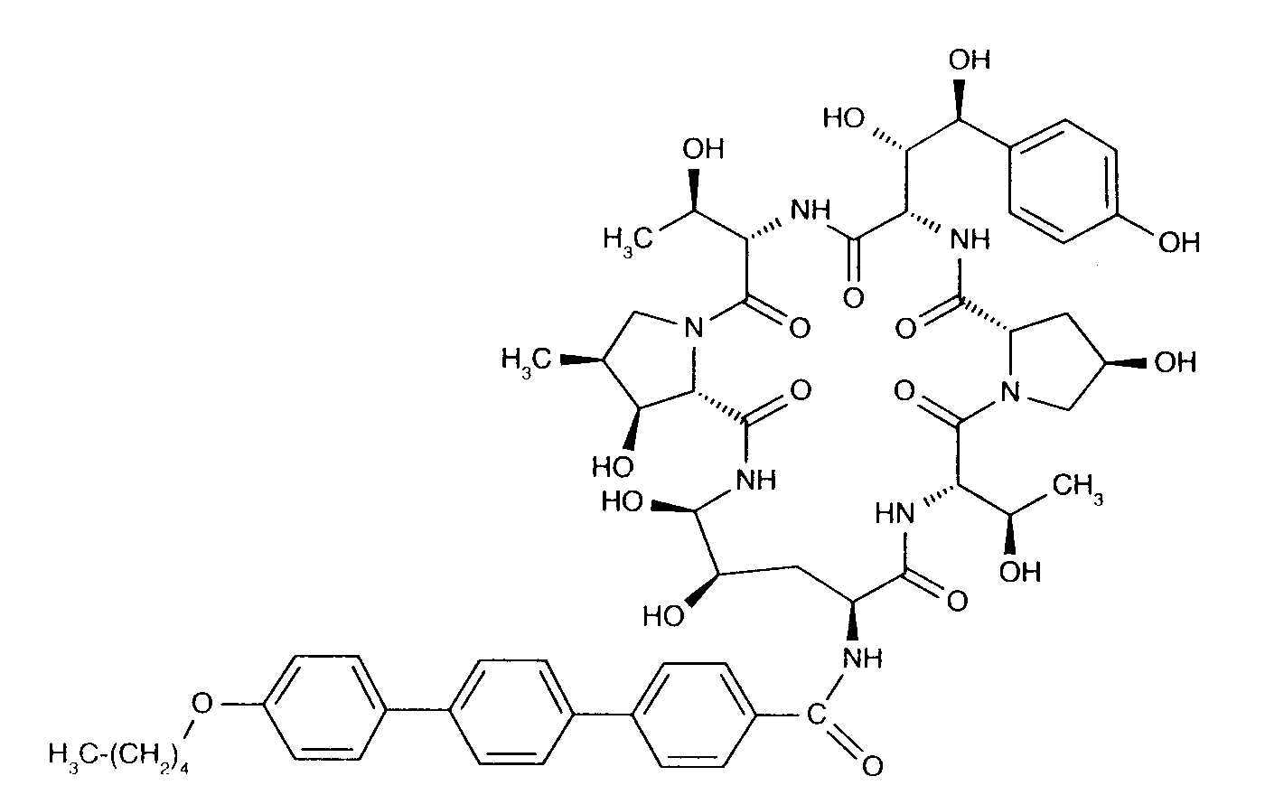
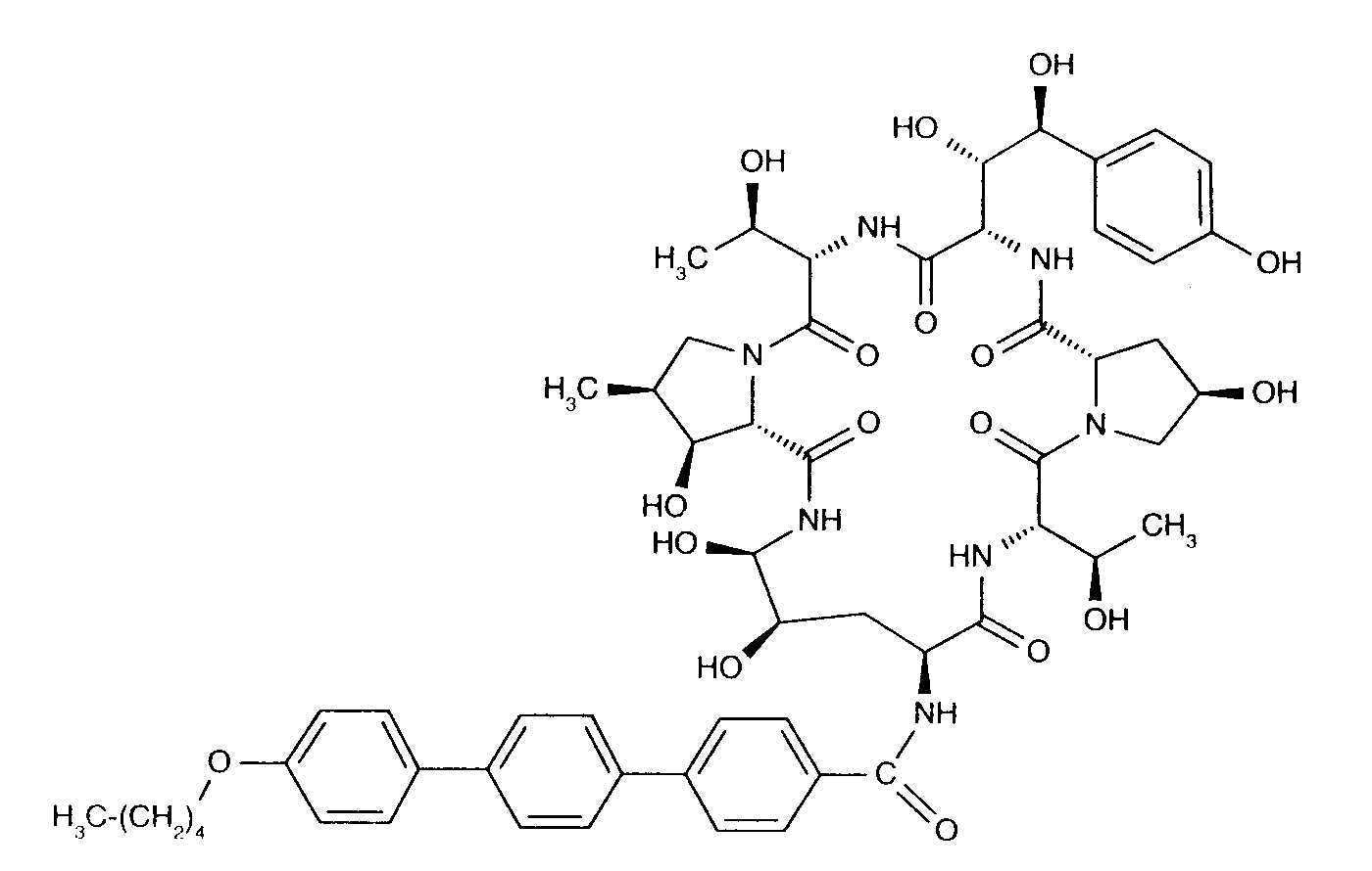
   Struttura chimica  

Nome commerciale   Nome commerciale     

Trade names are indicative and excipients composition can be different depending on the country and manufacturers

Anidulafungin Belgio, Germania, Gran Bretagna
Anidulafungina Brasile, Spagna
Ecalta Argentina, Belgio, Brasile, Canada, Chile, Colombia, Danimarca, Finlandia, Francia, Germania, Gran Bretagna, Grecia, Italia, Lussemburgo, Malaysia, Norvegia, Paesi Bassi, Perù, Polonia, Romania, Spagna, Stati Uniti d’America, Svezia, Svizzera, Turchia, Ungheria, Venezuela
Equalta Messico
Eraxis Australia, Canada, Stati Uniti d’America
Fuzig Messico

Fattori che influenzano la stabilità   Iniezione   Fattori che influenzano la stabilità : Anidulafungin        
Bibliografia
Solvente NaHCO3 Provoca Degradazione 1982
Temperatura -20°C Provoca Precipitazione 3567

  Mentions Légales