Viimeisin päivitys :
27/11/2025
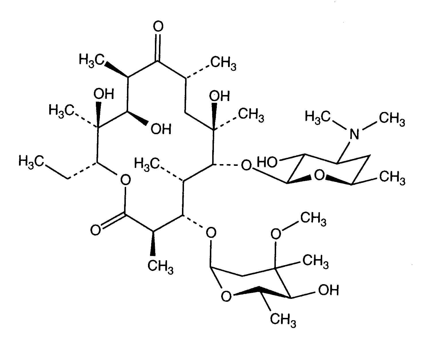
Antibiootit   Erythromycin lactobionate  
Injektioneste
Stabilius liuoksessa Stabilius seoksissa Tekijät, jotka vaikuttavat stabiliuteen Yhteensopivuus Antotapa Viitteet pdf
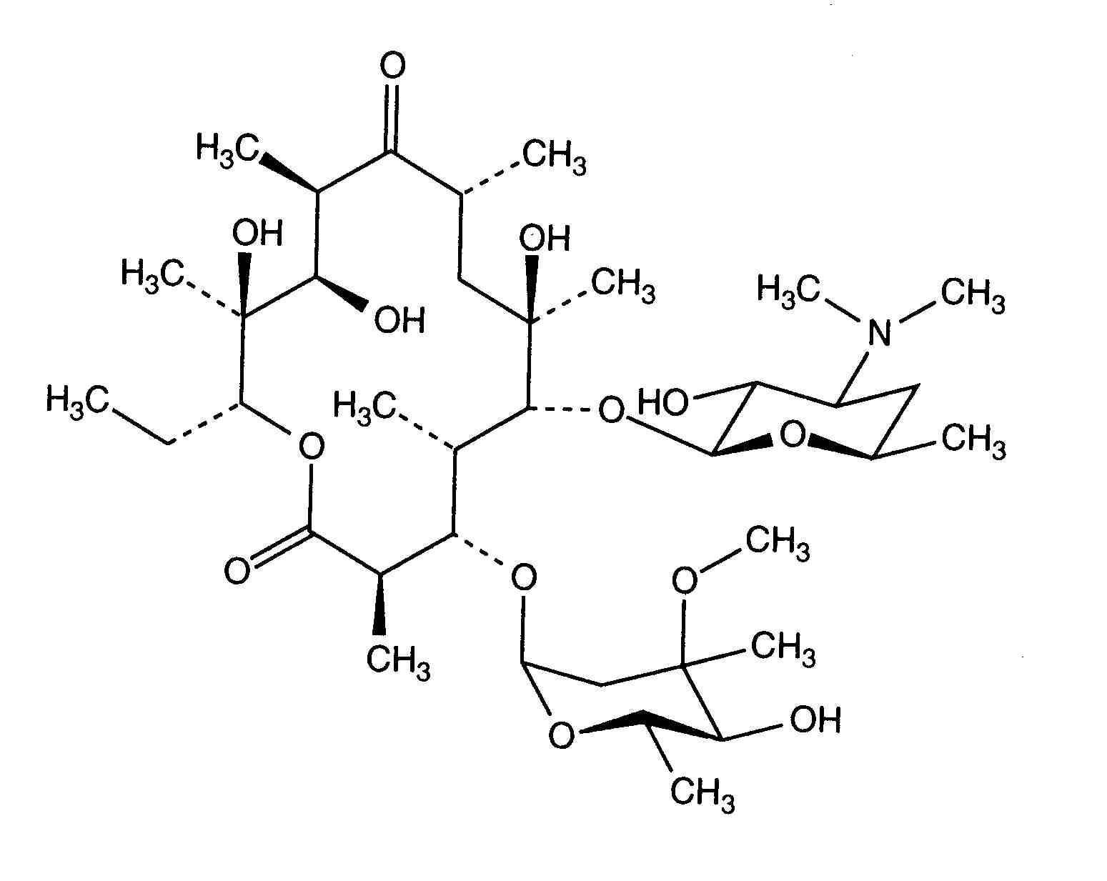
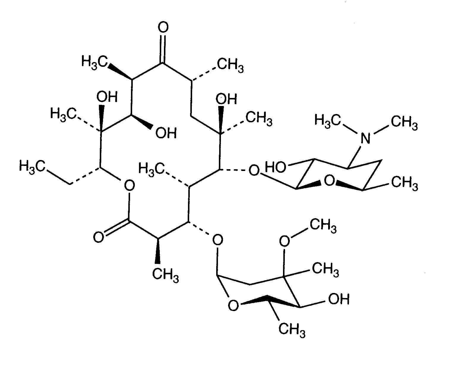
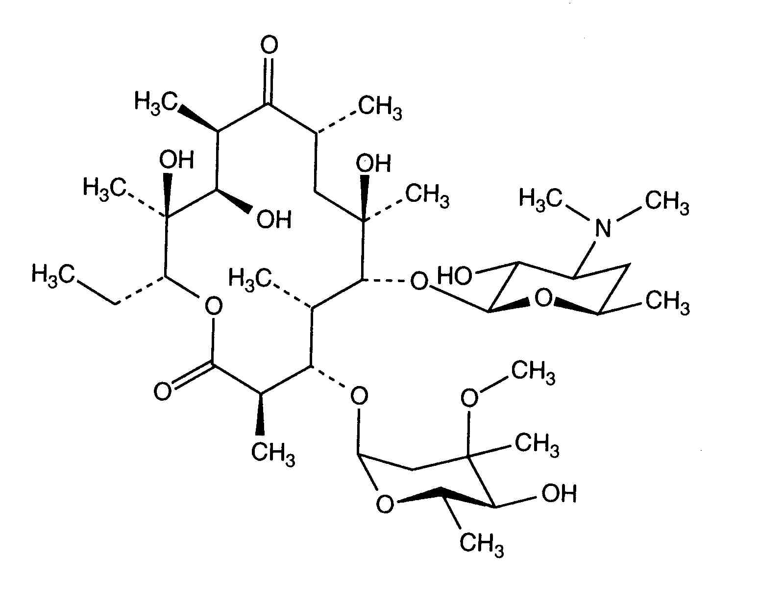
   Kemiallinen rakenne  

Kauppanimi   Kauppanimi     

Trade names are indicative and excipients composition can be different depending on the country and manufacturers

Abboticin Norja, Ruotsi, Suomi, Tanska
Eristin Argentiina
Erithromicina Chile
Erycinum Saksa
Erythrocin Australia, Irlanti, Iso-Britannia, Itävalta, Kanada, New Zealand, Saksa, Saudi-Arabia, Yhdysvallat
Erythrocin lactobionat ADD Vantage Australia, Itävalta
Erythrocine Belgia, Hollanti, Luxemburg, Ranska, Tunisia
Erythromycin Iso-Britannia, Saksa, Saudi-Arabia, Unkari, Yhdysvallat
Erythromycine Luxemburg
Erythromycinum Puola
Pantomicina Chile, Espanja
Stabilius seoksissa   Injektioneste   Stabilius seoksissa : Erythromycin lactobionate     
ei tietoa

  Mentions Légales