Last update :
27/11/2025
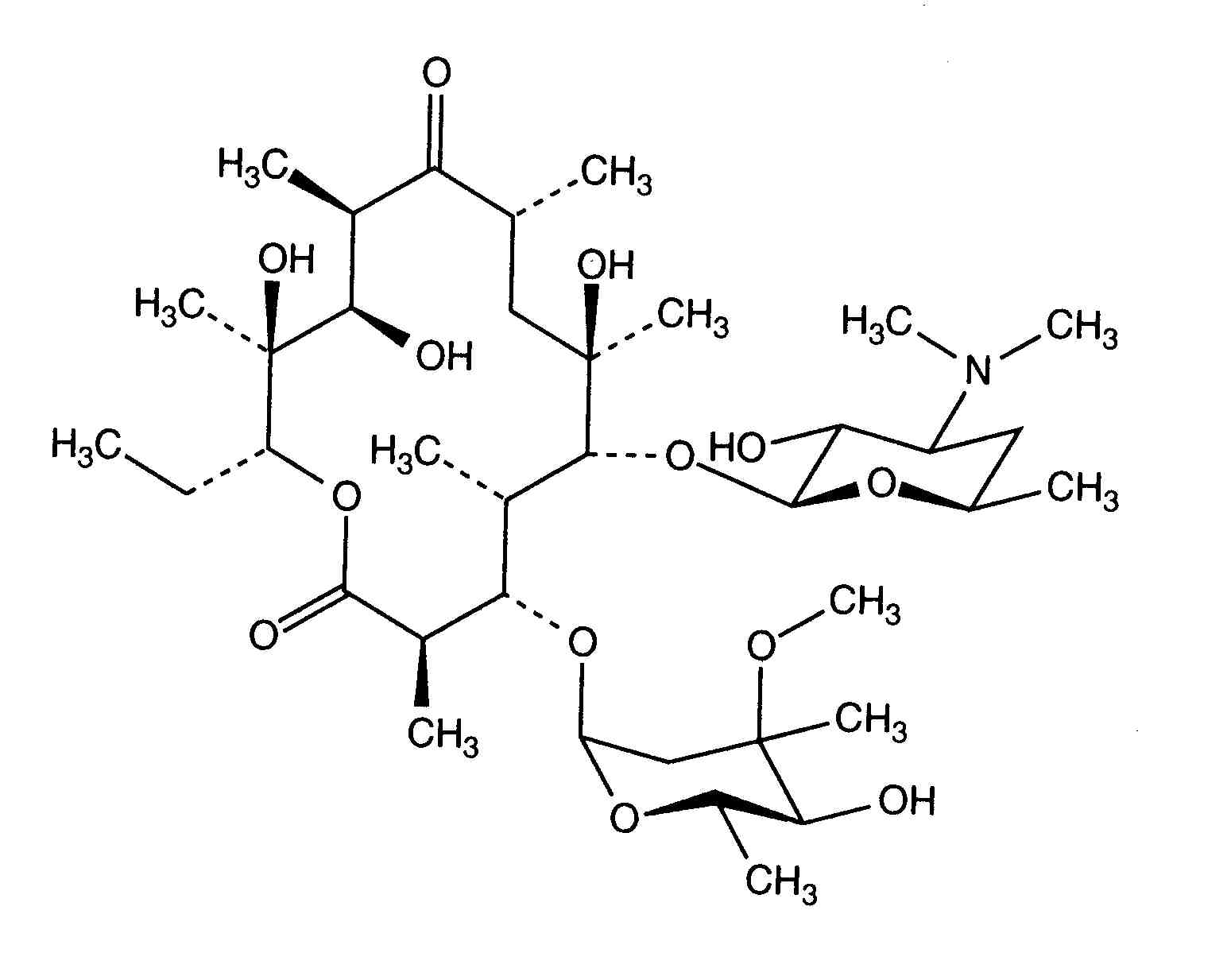
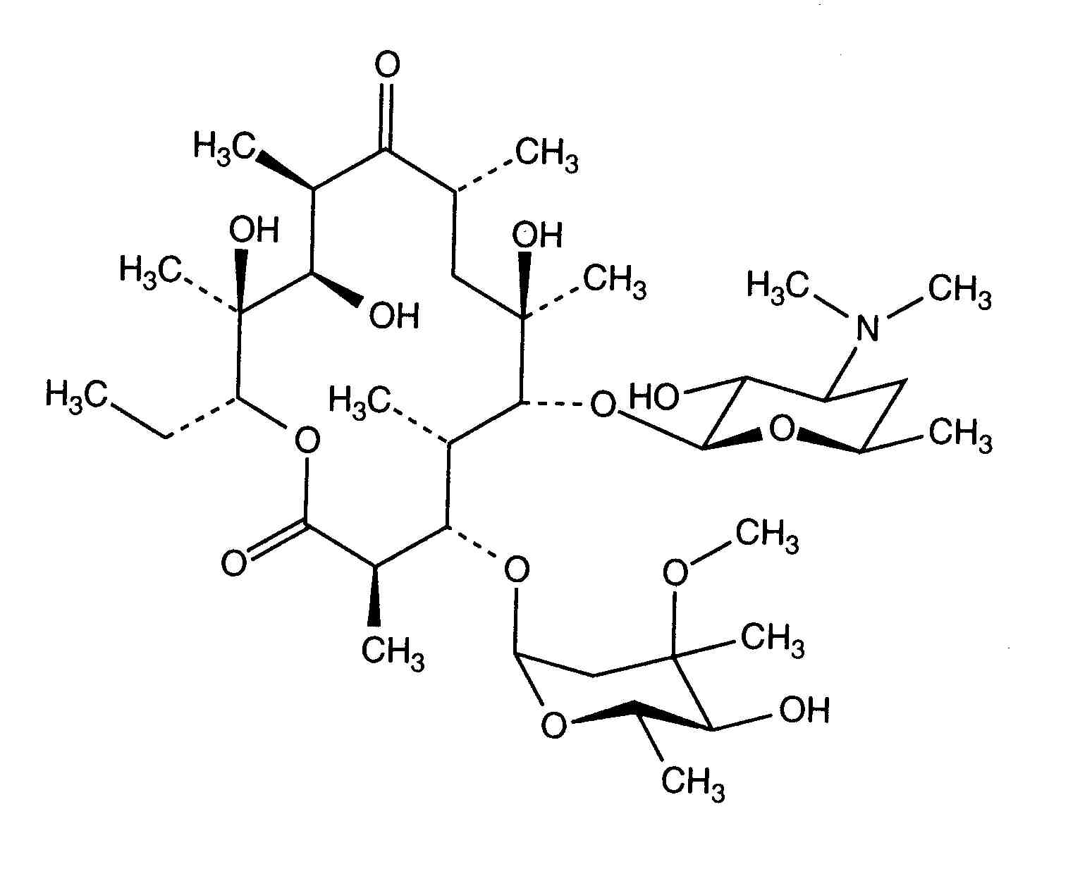
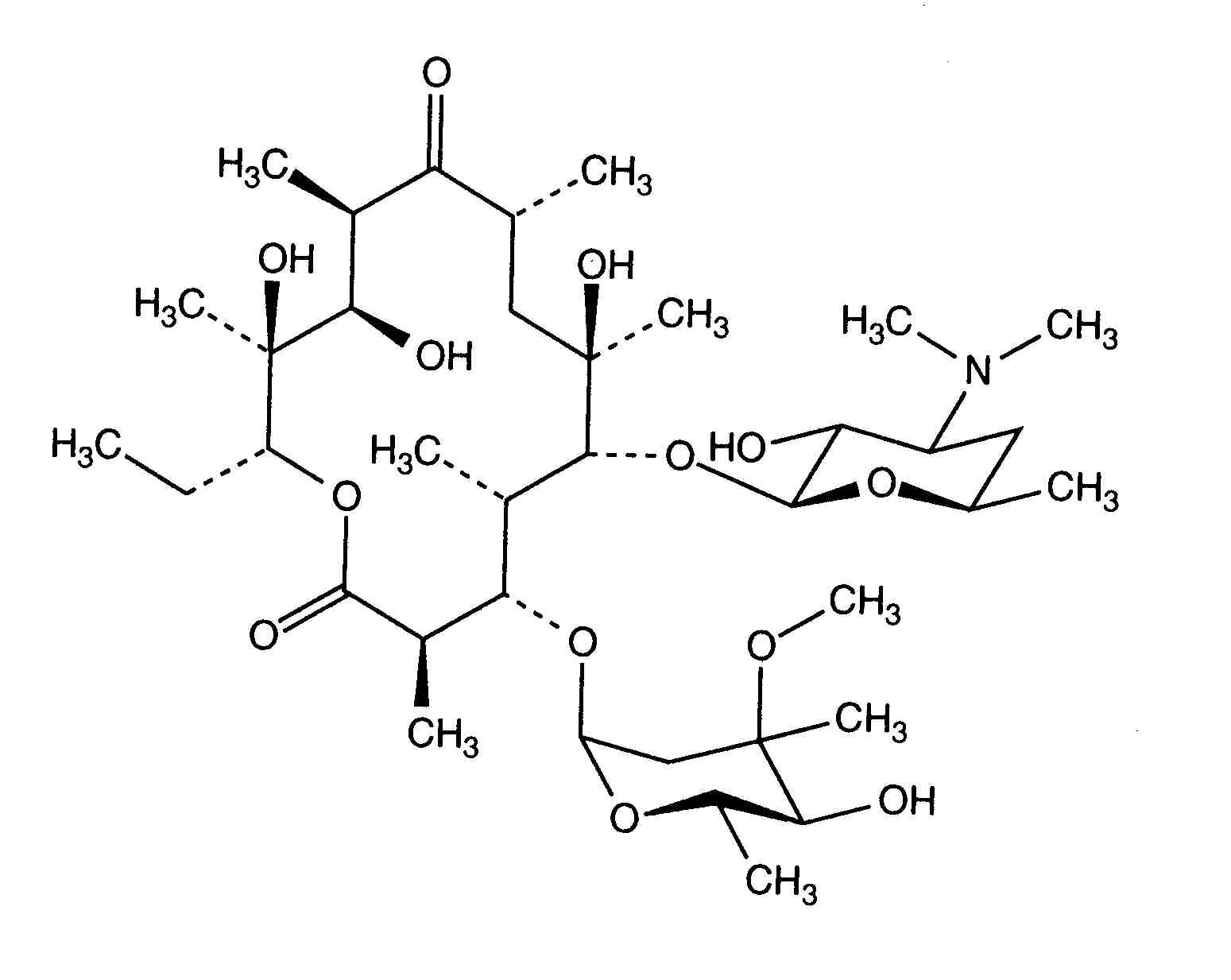
Antibiotic   Erythromycin lactobionate  
injection
Stability in solutions Stability of mixtures Factors which affect stability Compatibility Route of administration References pdf
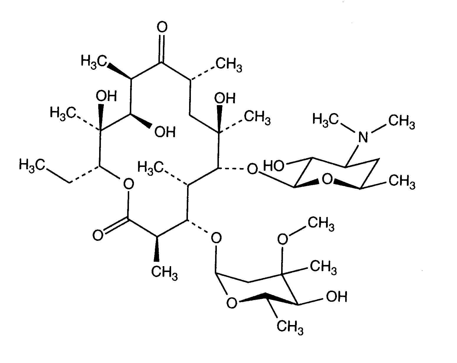
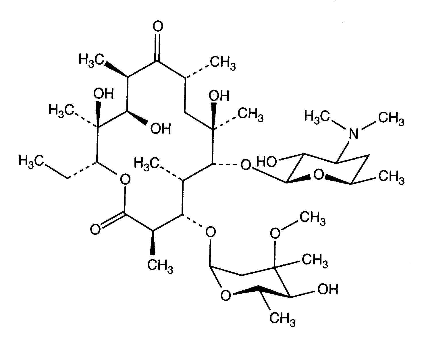
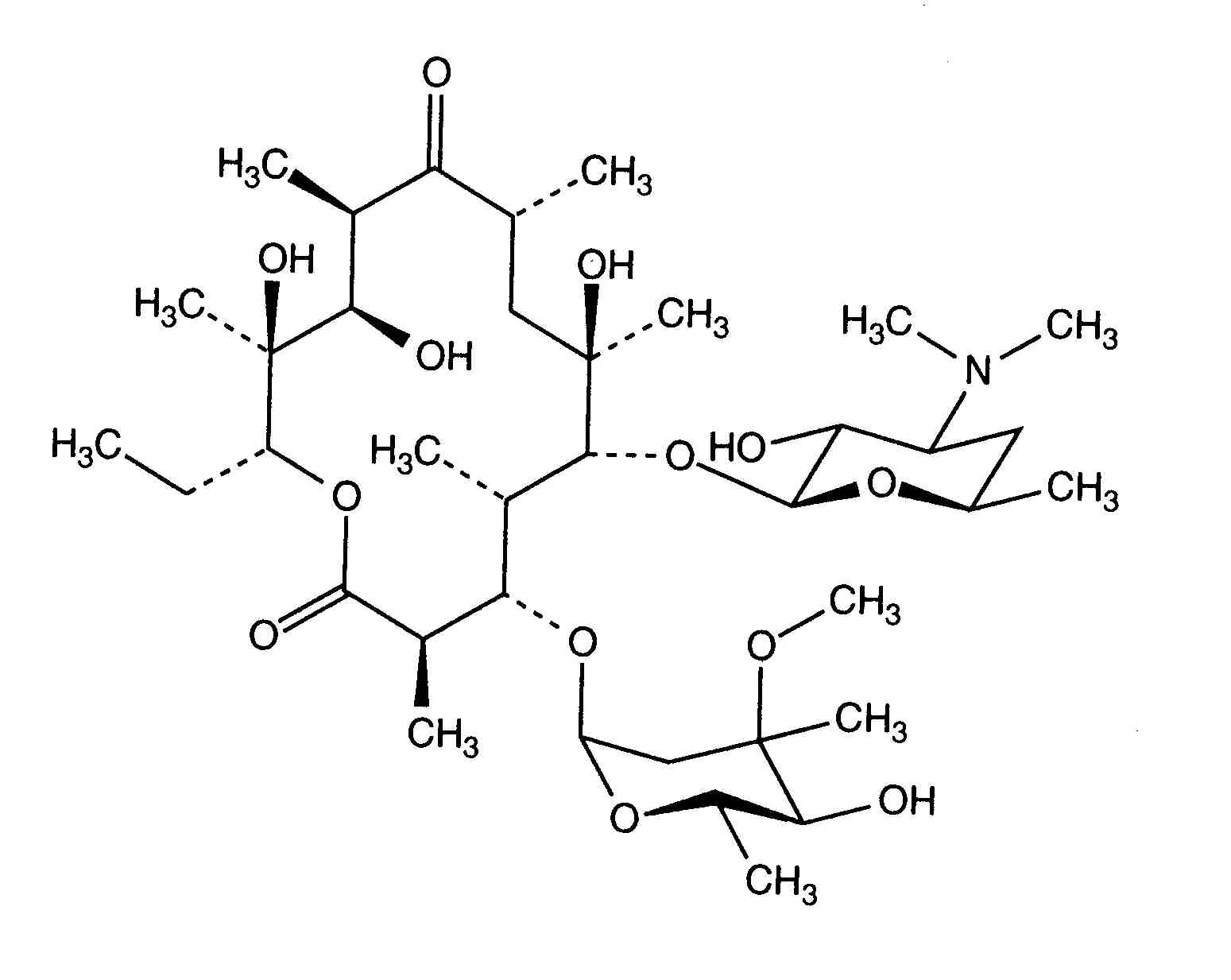
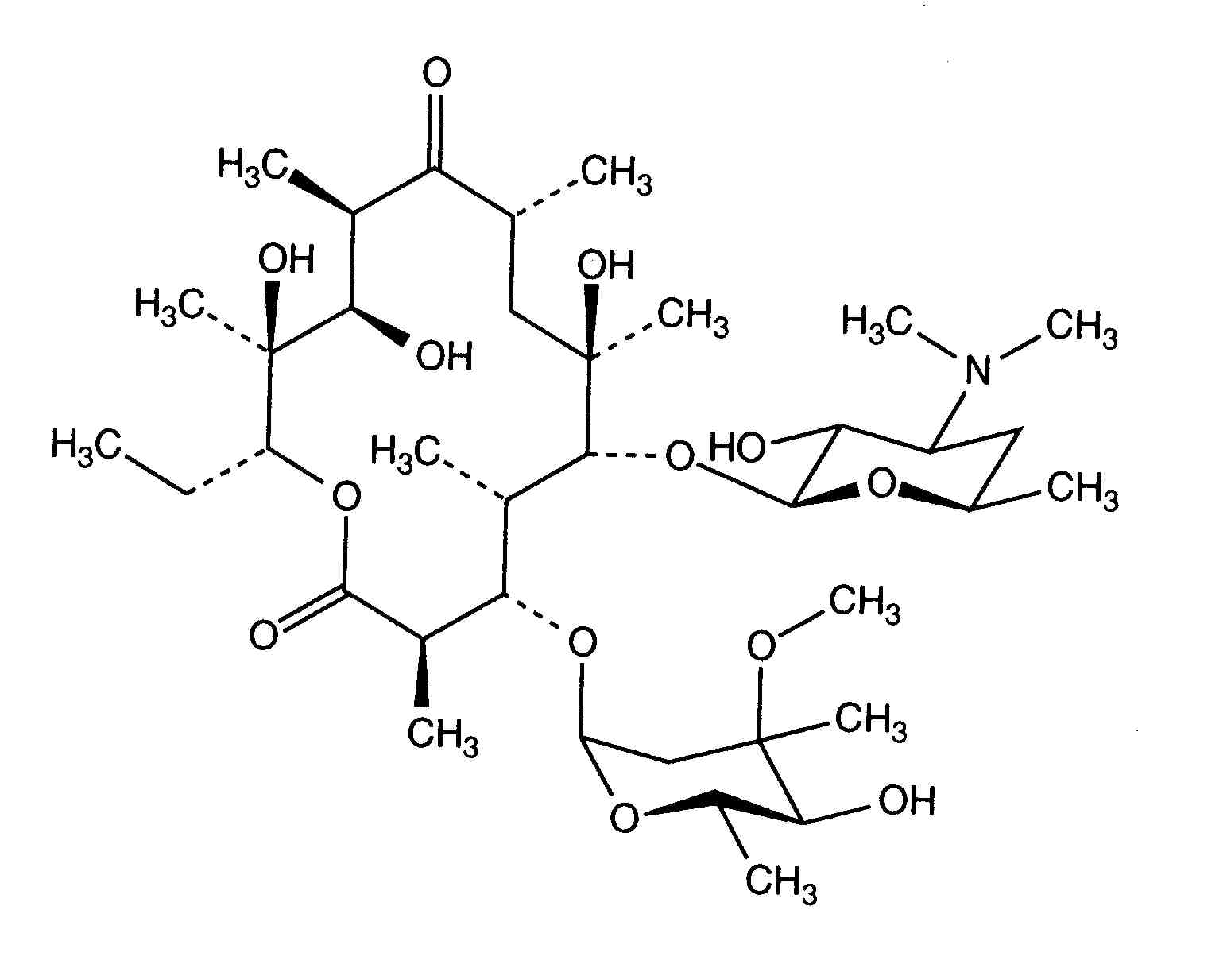
   Chemical structure  

Tradename   Tradename     

Trade names are indicative and excipients composition can be different depending on the country and manufacturers

Abboticin Denmark, Finland, Norway, Sweden
Eristin Argentina
Erithromicina Chile
Erycinum Germany
Erythrocin Australia, Austria, Canada, Germany, Great Britain, Ireland, New Zealand, Saudi Arabia, United States of America
Erythrocin lactobionat ADD Vantage Australia, Austria
Erythrocine Belgium, France, Luxembourg, Netherlands, Tunisia
Erythromycin Germany, Great Britain, Hungary, Saudi Arabia, United States of America
Erythromycine Luxembourg
Erythromycinum Poland
Pantomicina Chile, Spain
Stability of mixtures   injection   Stability of mixtures : Erythromycin lactobionate     
No data

  Mentions Légales