Poslední aktualizace :
27/04/2026
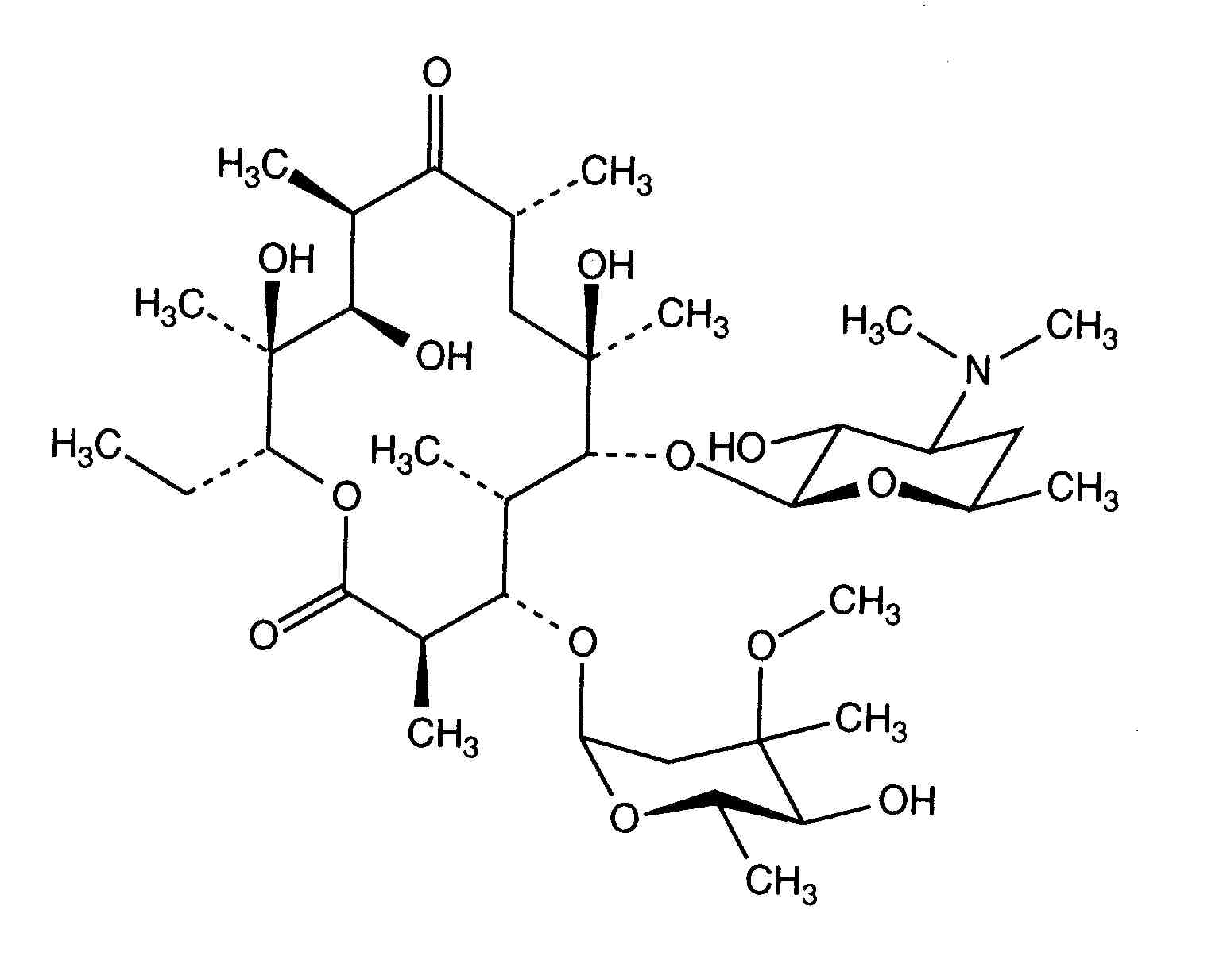
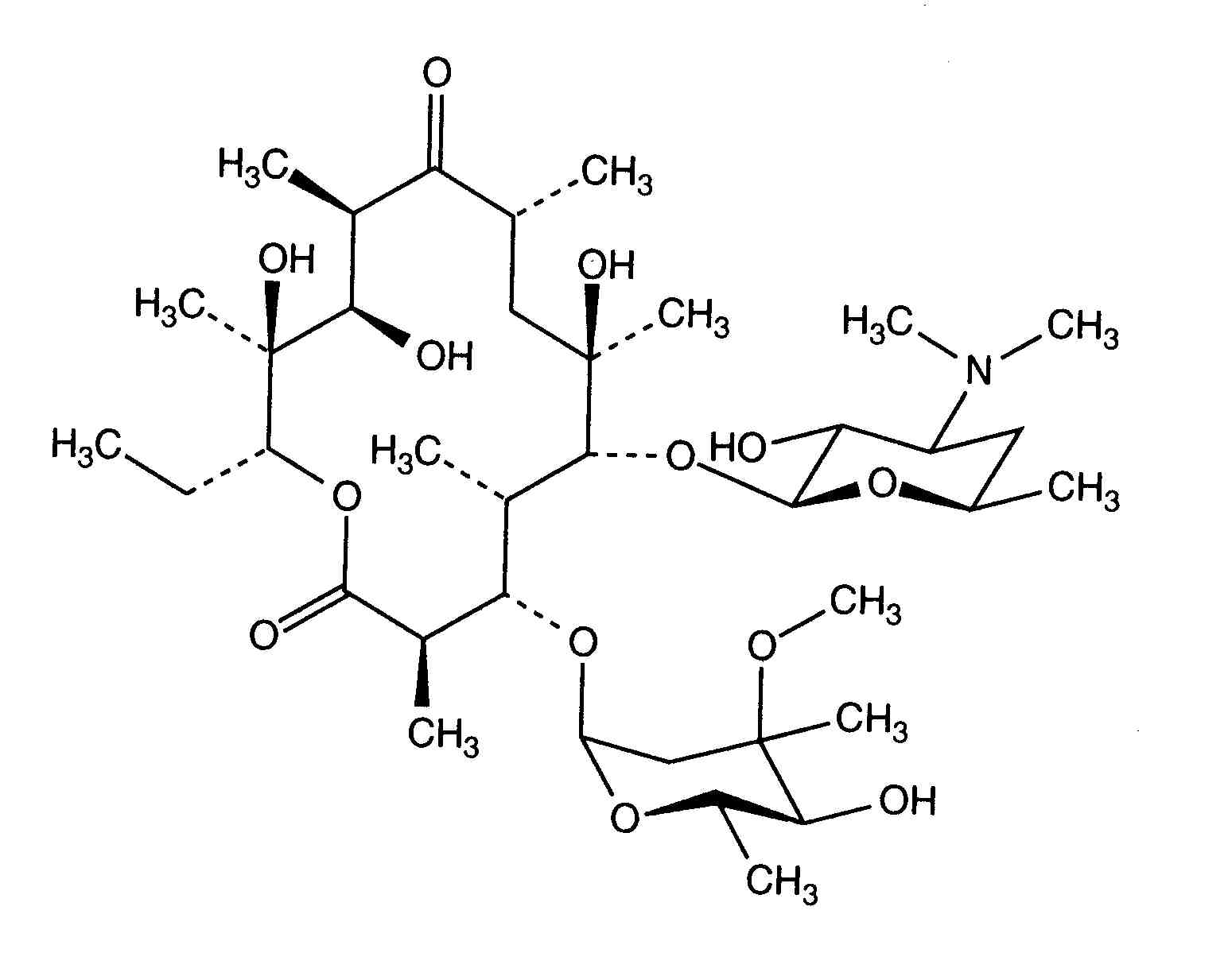
Antibiotikas   Erythromycin lactobionate  
Įpurškimas
Tirpalų stabilumas Mišinių stabilumas Stabilumą lemiantys veiksniai Suderinamumas Leidimo būdai Bibliografija pdf
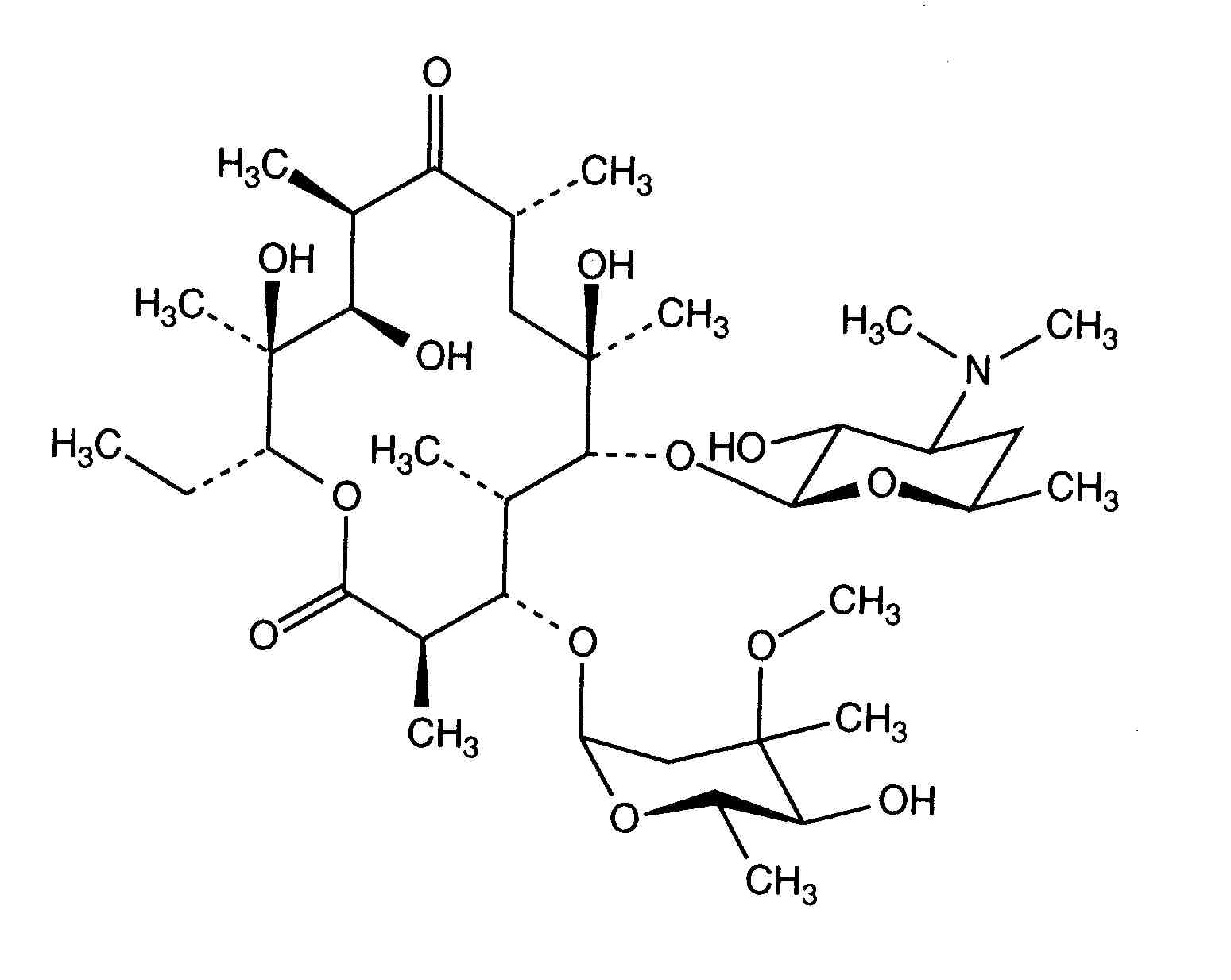
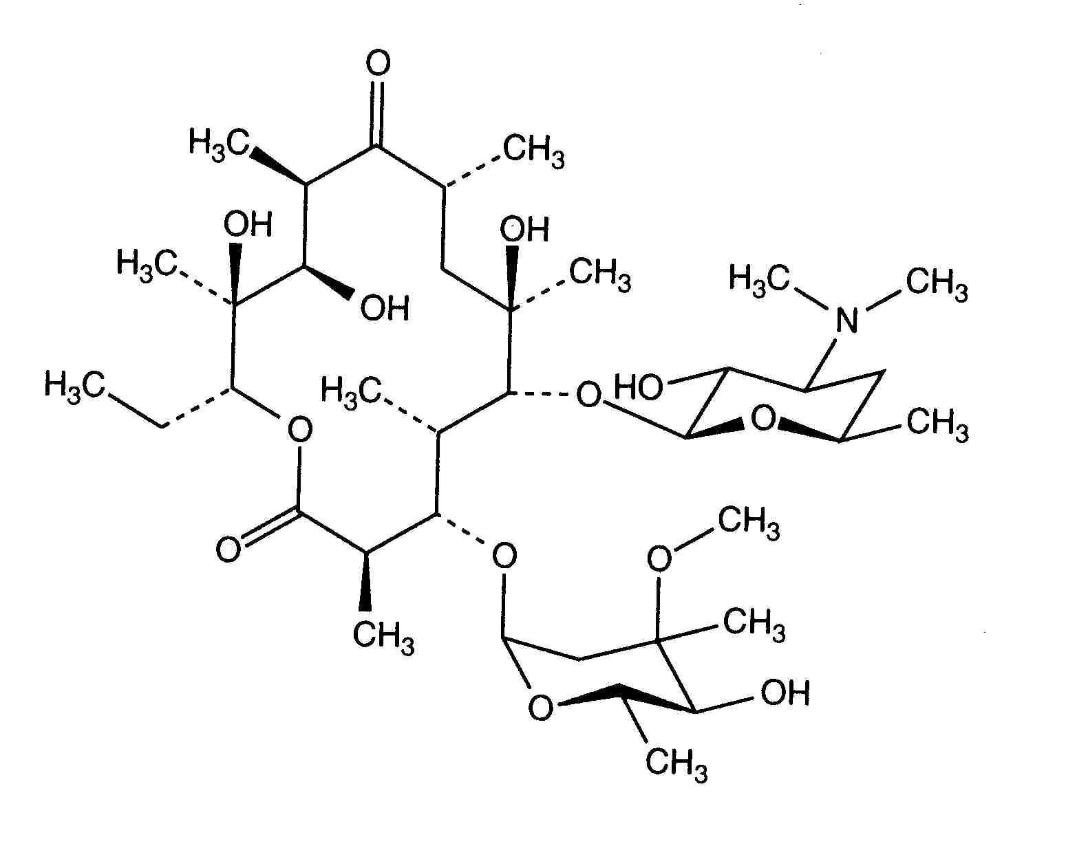
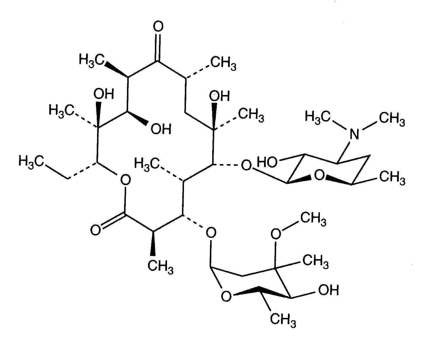
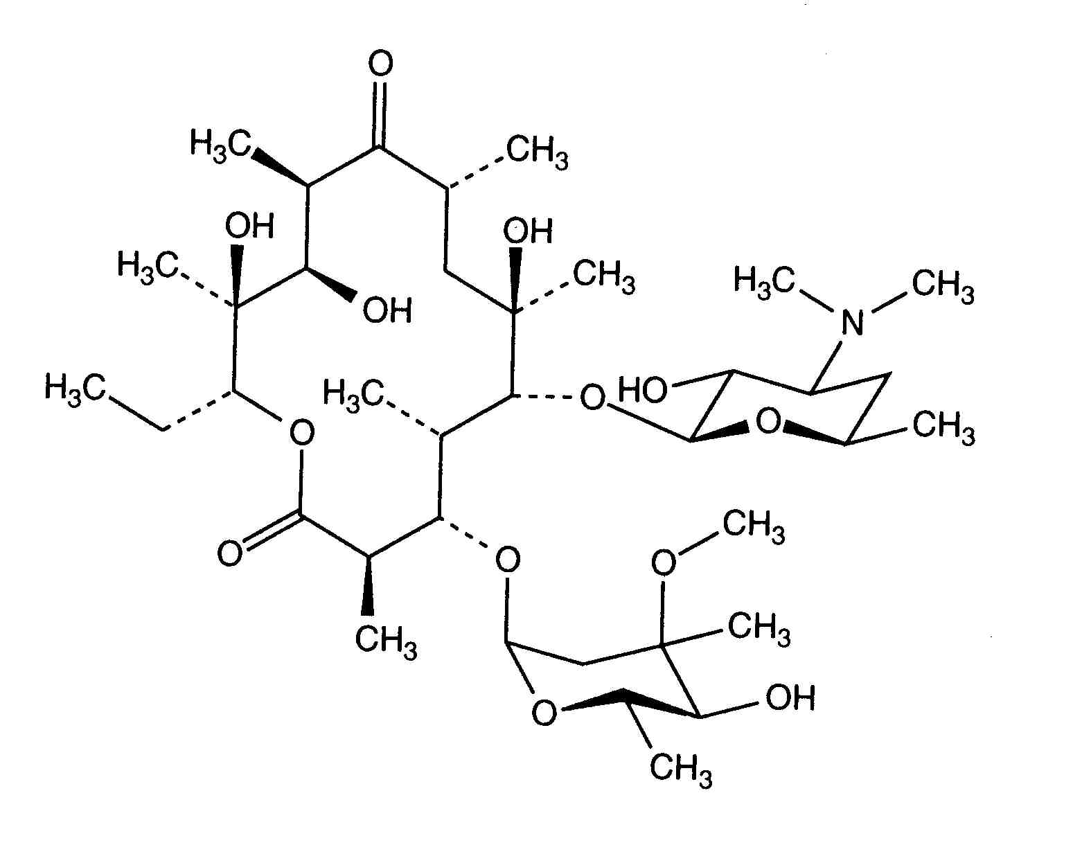
   Cheminė sandara  

Prekinis pavadinimas   Prekinis pavadinimas     

Trade names are indicative and excipients composition can be different depending on the country and manufacturers

Abboticin Danija, Norvegija, Suomija, Švedija
Eristin Argentina
Erithromicina Čilė
Erycinum Vokietija
Erythrocin Airija, Australija, Austrija, Didžioji Britanija, Jungtinės Amerikos Valstijos, Kanada, Naujojoje Zelandijoje, Saudo Arabija, Vokietija
Erythrocin lactobionat ADD Vantage Australija, Austrija
Erythrocine Belgija, Liuksemburgas, Olandija, Prancūzija, Tunisas
Erythromycin Didžioji Britanija, Jungtinės Amerikos Valstijos, Saudo Arabija, Vengrija, Vokietija
Erythromycine Liuksemburgas
Erythromycinum Lenkija
Pantomicina Čilė, Ispanija
Mišinių stabilumas   Įpurškimas   Mišinių stabilumas : Erythromycin lactobionate     
Nėra duomenų

  Mentions Légales