Laatste update :
27/11/2025
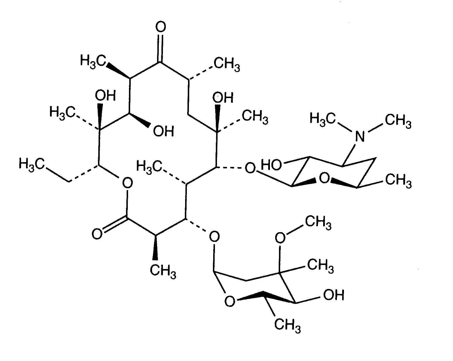
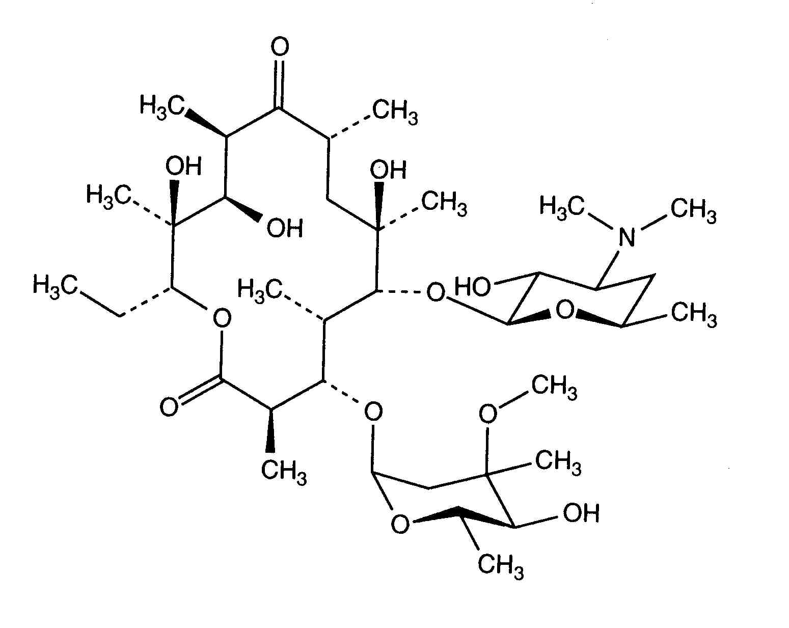
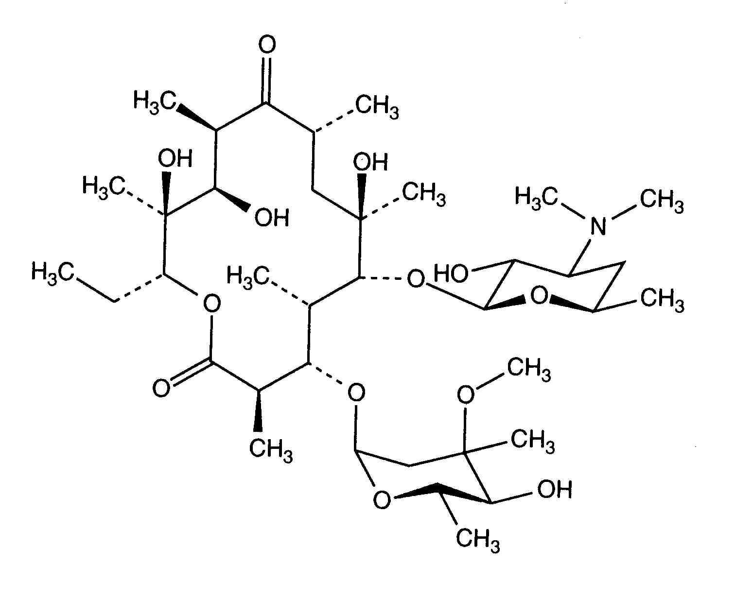
Antibioticum   Erythromycin lactobionate  
injecteerbaar geneesmiddel
Stabiliteit in oplossing Stabiliteit in mengsels Factoren die de stabiliteit beïnvloeden Verenigbaarheden Toedieningswijze Literatuur pdf
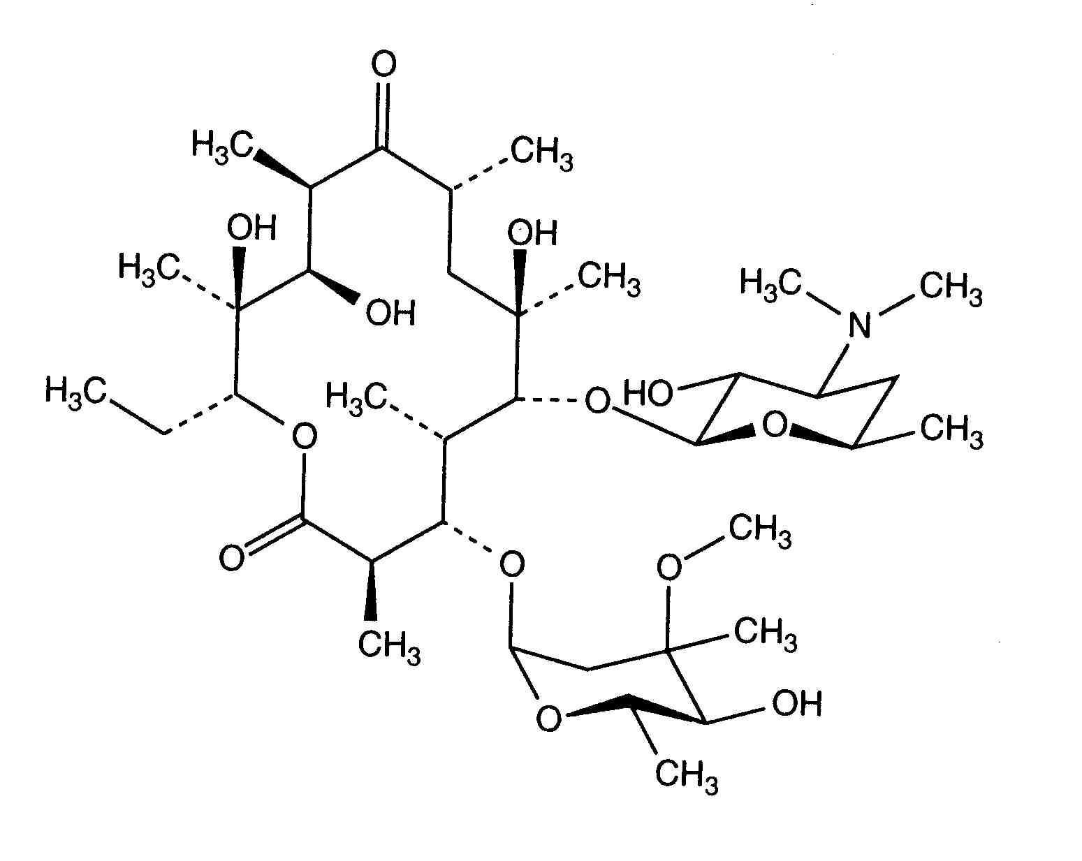
   Molecuulstructuur  

Merknamen in verschillende landen   Merknamen in verschillende landen     

Handelsnamen zijn slechts een indicatie; de samenstelling van hulpstoffen kan per land variëren afhankelijk van de fabrikant

Abboticin Denemarken, Finland, Noorwegen, Zweden
Eristin Argentinië
Erithromicina Chili
Erycinum Duitsland
Erythrocin Australië, Canada, Duitsland, Groot Britannië, Ierland, nieuw Zeeland, Oostenrijk, Saudi-Arabië, USA
Erythrocin lactobionat ADD Vantage Australië, Oostenrijk
Erythrocine België, Frankrijk, Luxemburg, Nederland, Tunisie
Erythromycin Duitsland, Groot Britannië, Hongarije, Saudi-Arabië, USA
Erythromycine Luxemburg
Erythromycinum Polen
Pantomicina Chili, Spanje
Stabiliteit in mengsels   injecteerbaar geneesmiddel   Stabiliteit in mengsels : Erythromycin lactobionate     
geen gegevens

  Mentions Légales