Ultimo aggiornamento :
27/11/2025
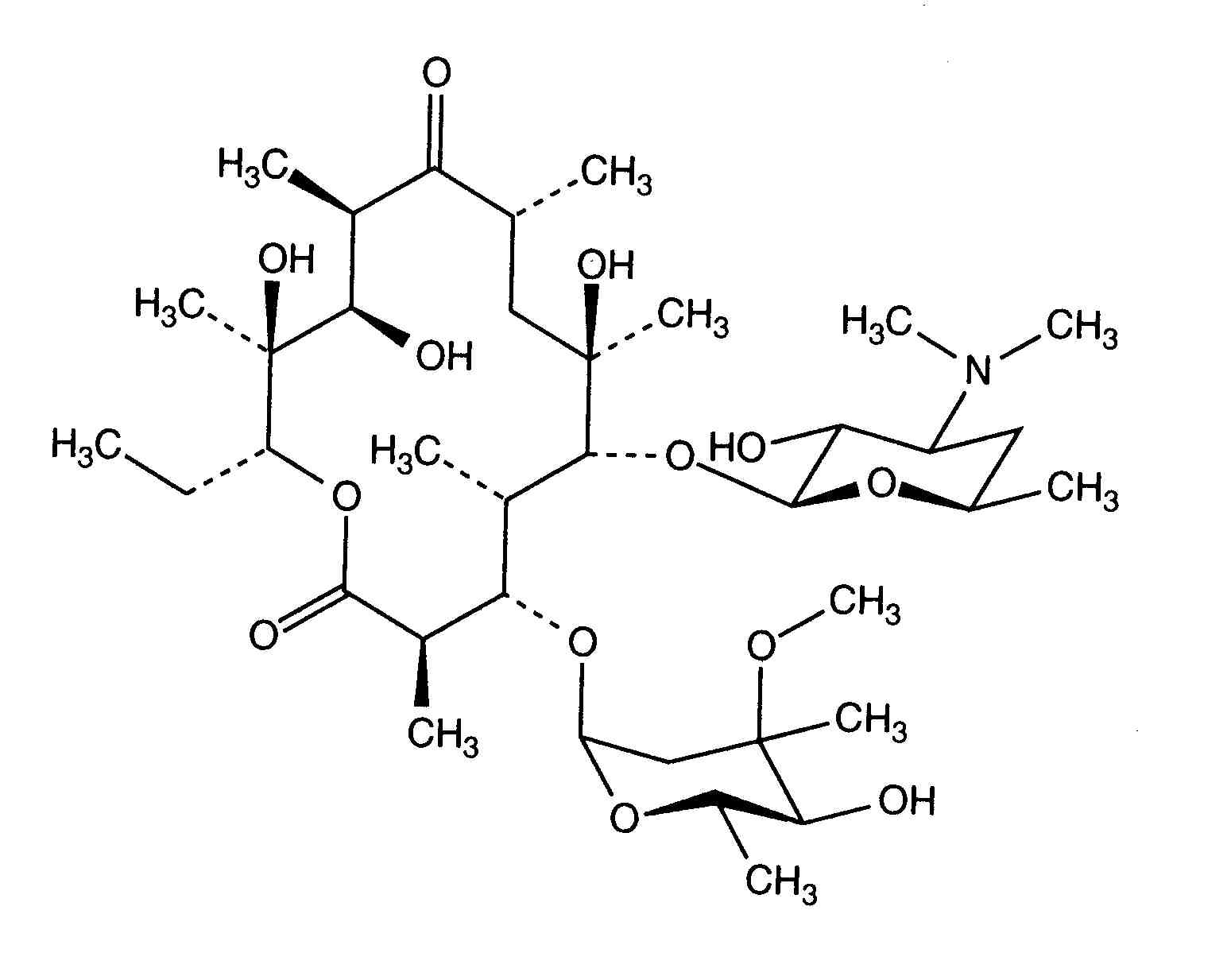
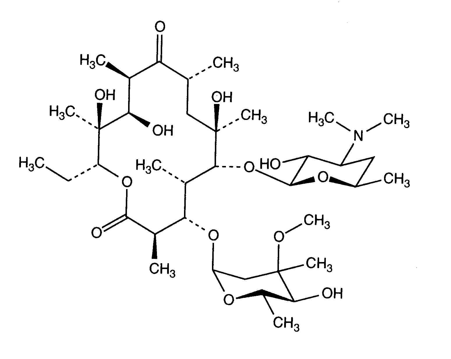
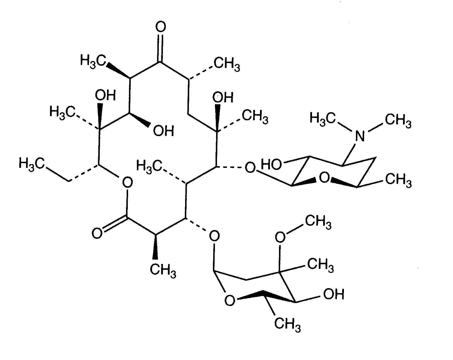
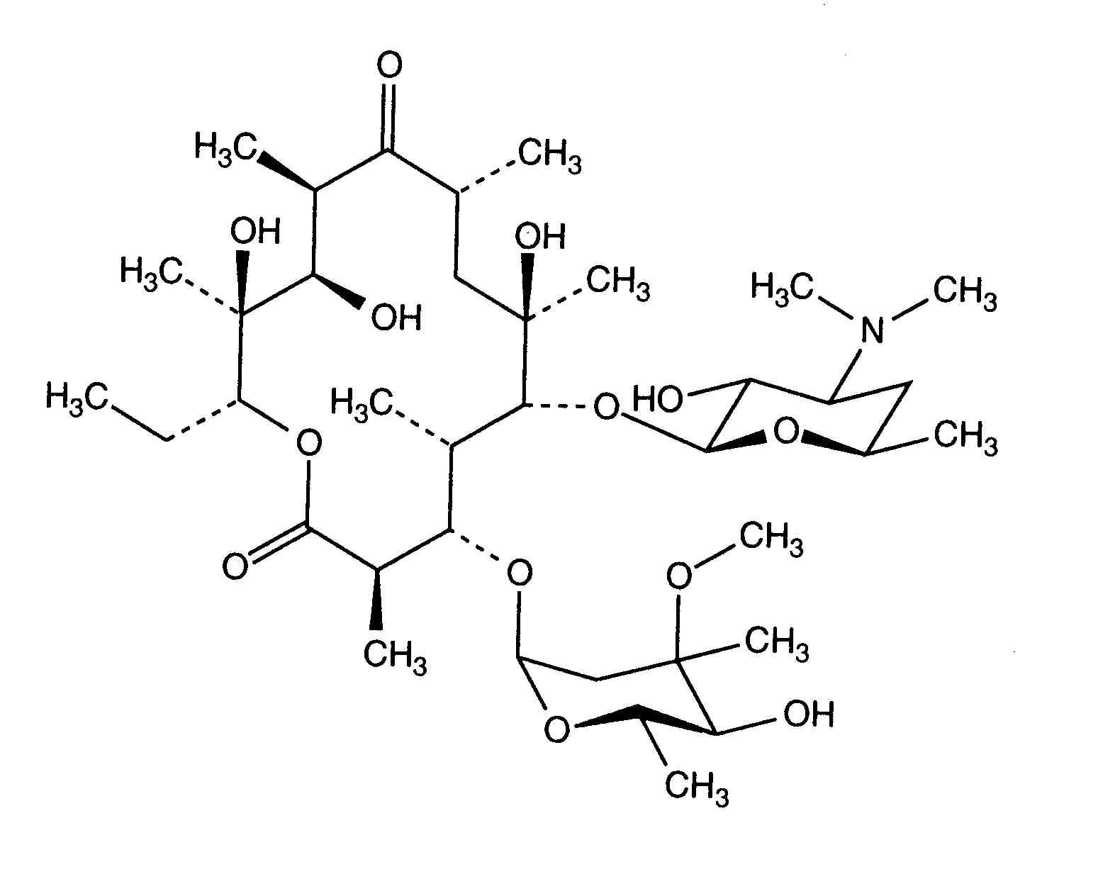
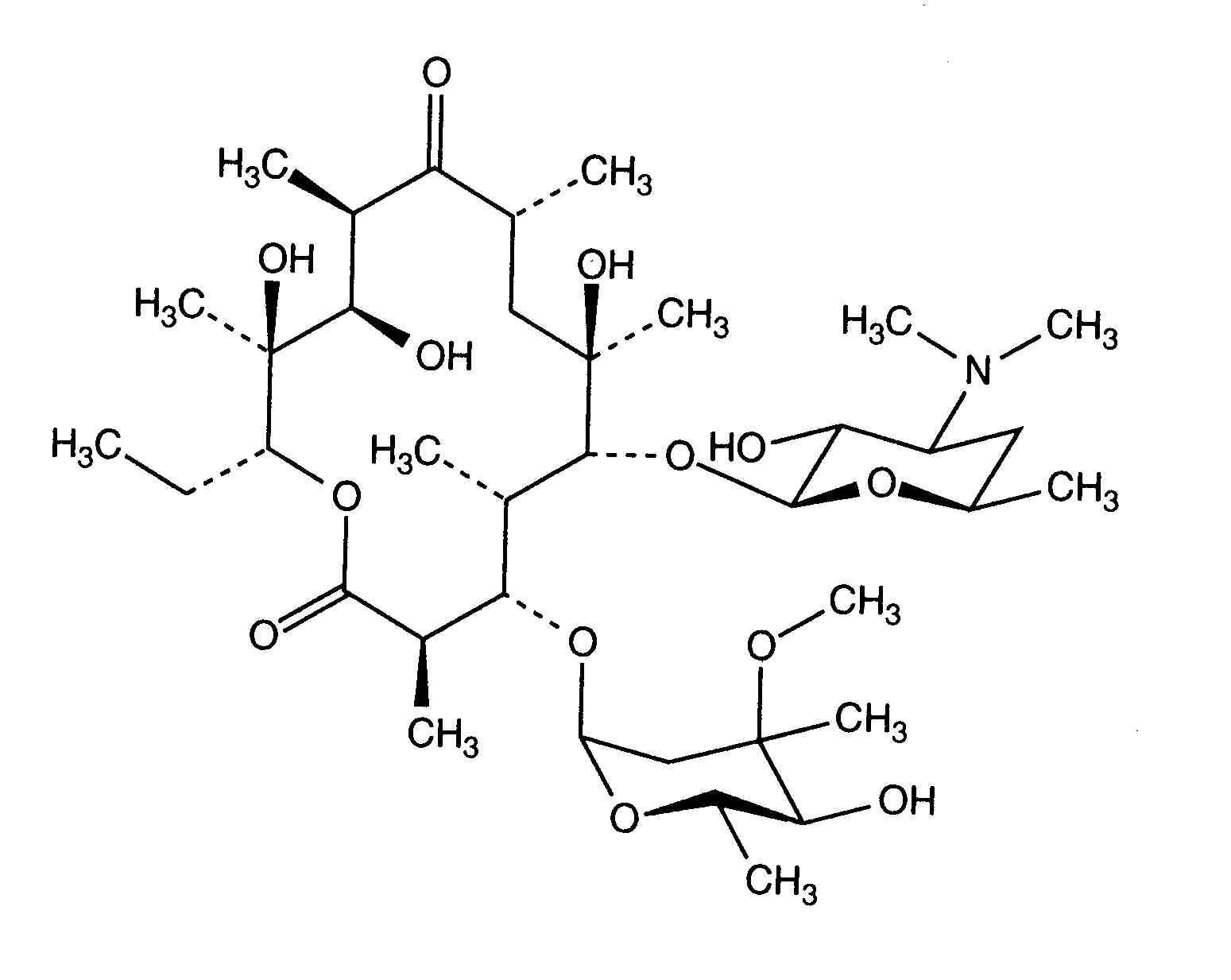
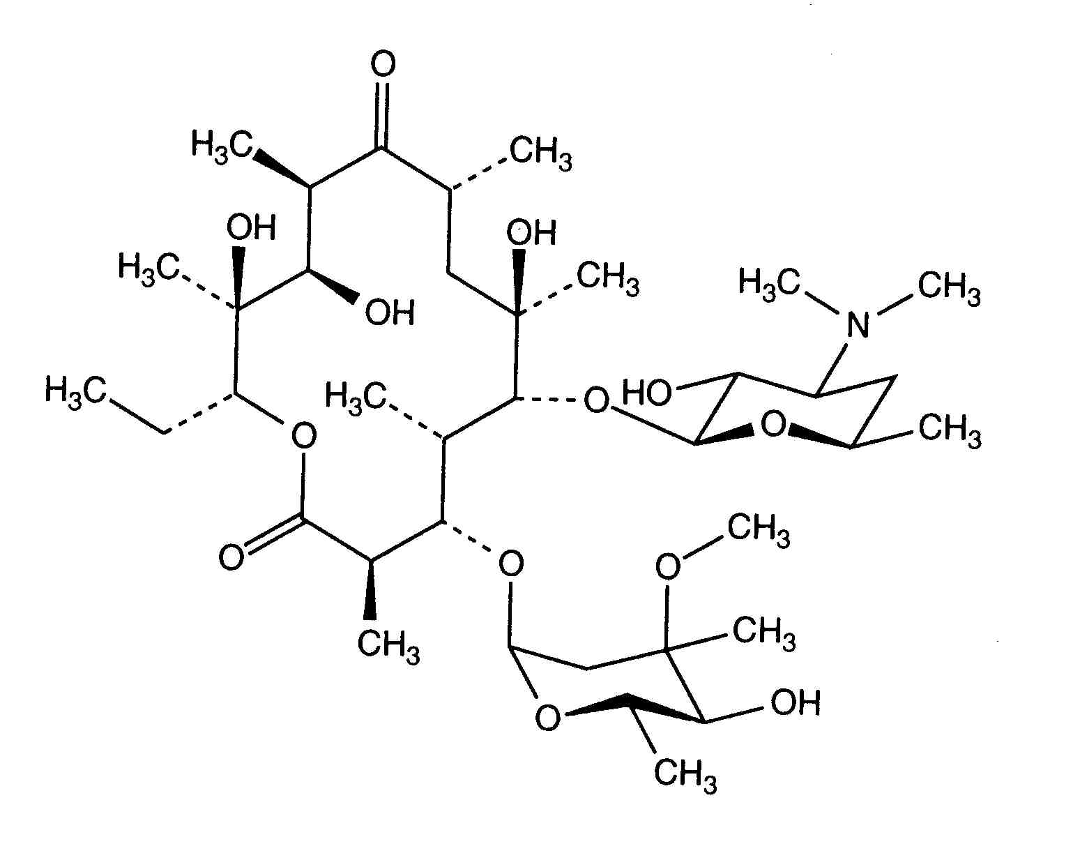
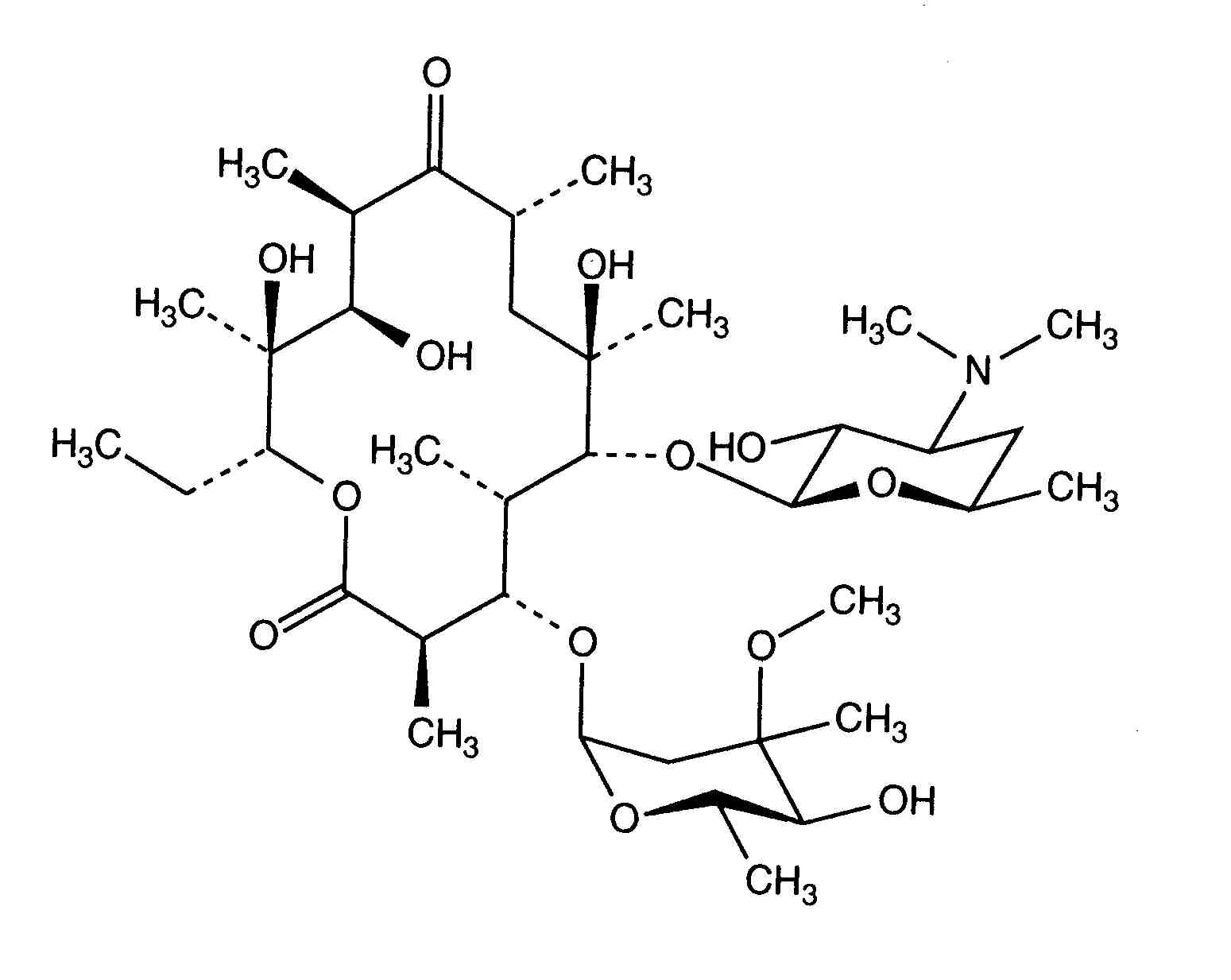
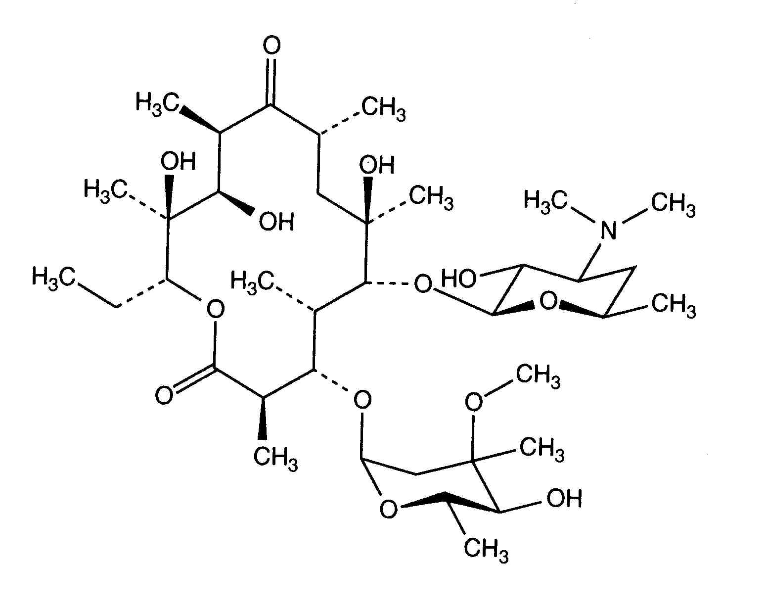
Antibiotico   Erythromycin lactobionate  
Iniezione
Stabilità in soluzione Stabilità in miscela Fattori che influenzano la stabilità Compatibilità metodo di iniezione Bibliografia pdf
   Struttura chimica  

Nome commerciale   Nome commerciale     

Trade names are indicative and excipients composition can be different depending on the country and manufacturers

Abboticin Danimarca, Finlandia, Norvegia, Svezia
Eristin Argentina
Erithromicina Chile
Erycinum Germania
Erythrocin Arabia Saudita, Australia, Austria, Canada, Germania, Gran Bretagna, Irlanda, nuova Zelanda, Stati Uniti d’America
Erythrocin lactobionat ADD Vantage Australia, Austria
Erythrocine Belgio, Francia, Lussemburgo, Paesi Bassi, Tunisia
Erythromycin Arabia Saudita, Germania, Gran Bretagna, Stati Uniti d’America, Ungheria
Erythromycine Lussemburgo
Erythromycinum Polonia
Pantomicina Chile, Spagna
Stabilità in miscela   Iniezione   Stabilità in miscela : Erythromycin lactobionate     
Assenza di dati

  Mentions Légales