Son güncelleme :
27/11/2025
Antibiyotik   Erythromycin lactobionate  
Enjeksiyon
Çözeltilerin stabilitesi Karışımlardaki stabilitesi Stabiliteyi etkileyen faktörler Uyumluluk Uygulama yöntemi Kaynaklar pdf
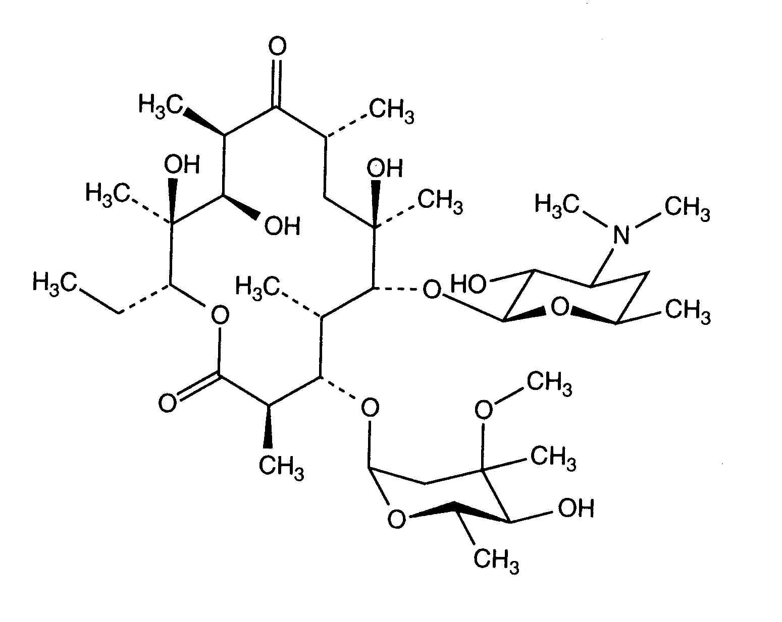
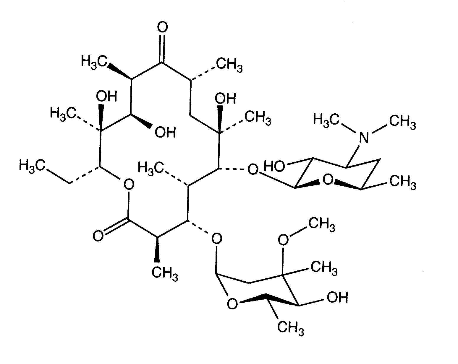
   Kimyasal yapı   

Ticari isim   Ticari isim     

Trade names are indicative and excipients composition can be different depending on the country and manufacturers

Abboticin Danimarka, Finlandiya, İsveç, Norveç
Eristin Arjantin
Erithromicina Şili
Erycinum Almanya
Erythrocin Almanya, Amerika Birleşik Devletleri, Avustralya, Avusturya, Büyük Britanya, İrlanda, Kanada, Suudi Arabistan, yeni Zelanda
Erythrocin lactobionat ADD Vantage Avustralya, Avusturya
Erythrocine Belçika, Fransa, Hollanda, Lüksemburg, Tunus
Erythromycin Almanya, Amerika Birleşik Devletleri, Büyük Britanya, Macaristan, Suudi Arabistan
Erythromycine Lüksemburg
Erythromycinum Polonya
Pantomicina İspanya, Şili
Karışımlardaki stabilitesi   Enjeksiyon    Karışımlardaki stabilitesi : Erythromycin lactobionate     
veri yok

  Mentions Légales