Posledná aktualizácia :
27/04/2026
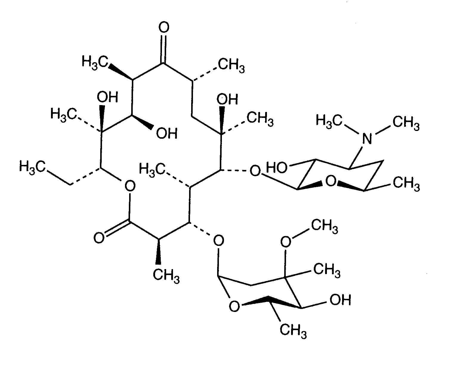
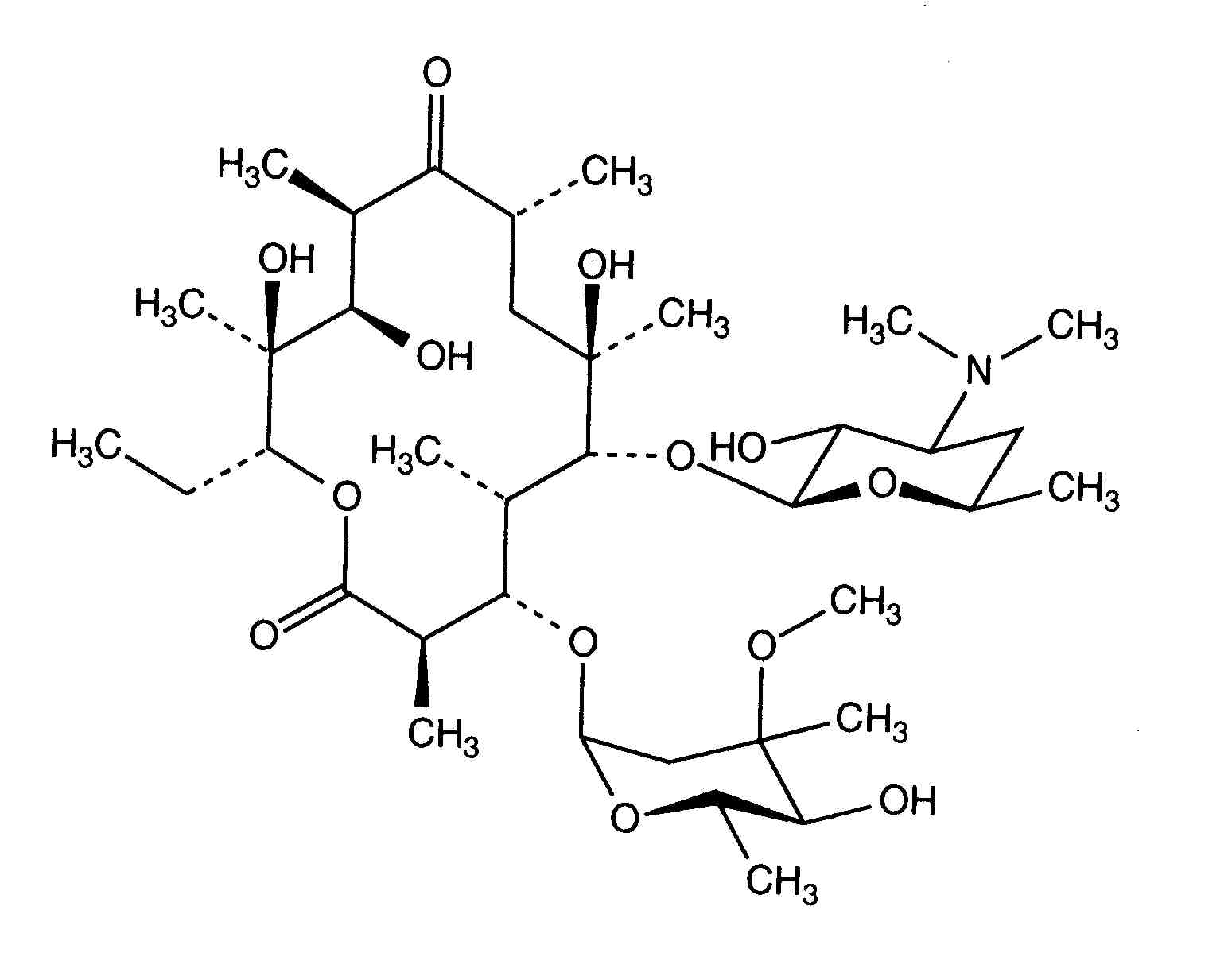
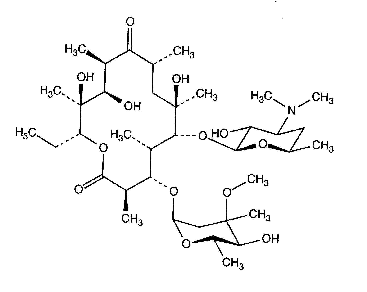
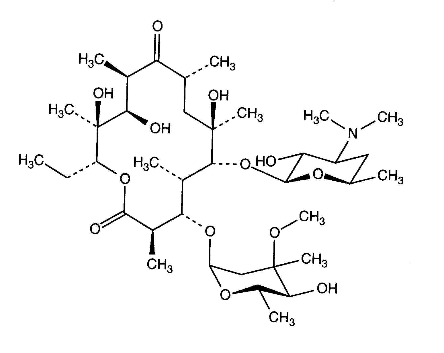
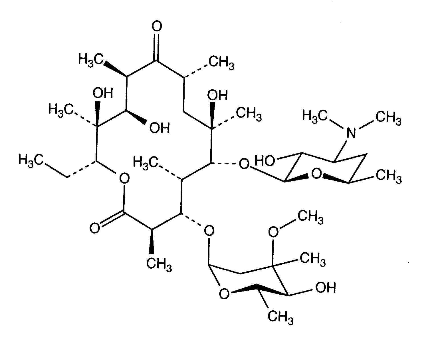
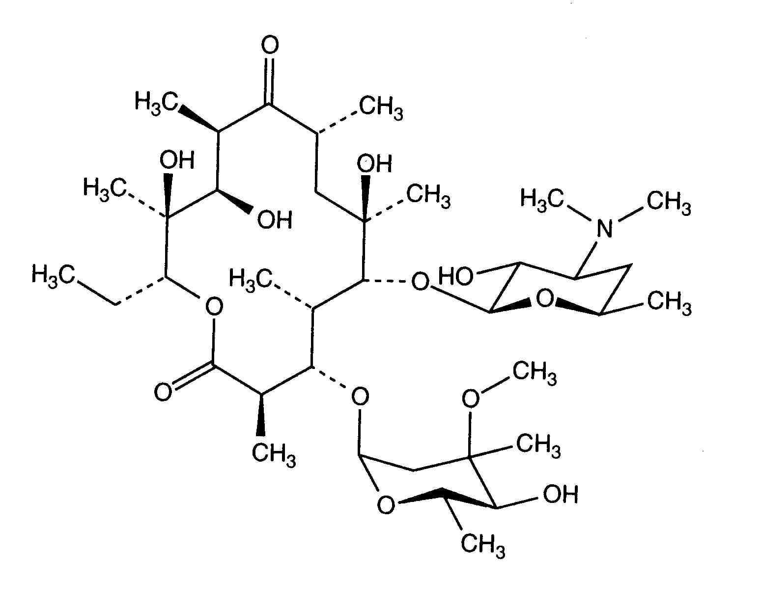
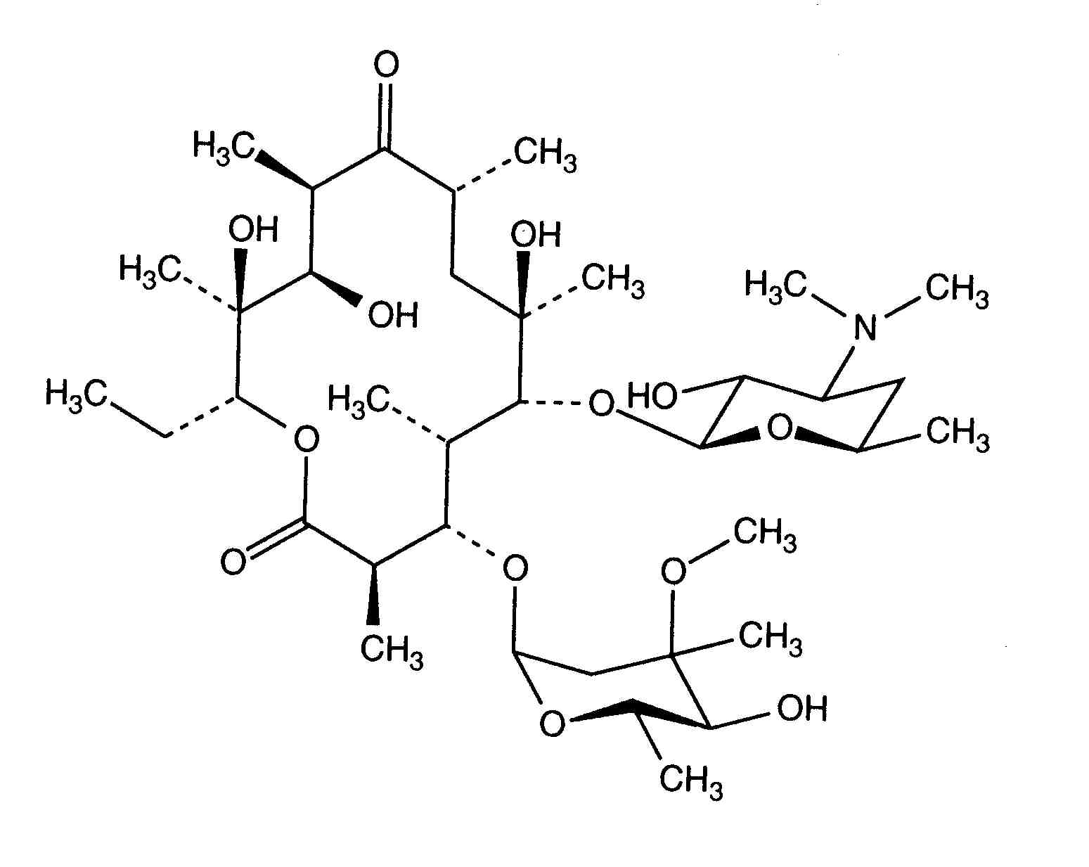
antibiotikum   Erythromycin lactobionate  
Injekcia
Stabilita roztokov Stabilita v zmesiach Faktory ovplyvňujúce stabilitu Kompatibility spôsob podania Odkazy na literatúru PDF
   Chemický vzorec  

Obchodný názov   Obchodný názov     

Obchodné názvy sú orientačné, a zloženie pomocných látok sa môže líšiť v závislosti od krajiny a výrobcu.

Abboticin Dánsko, Fínsko, Nórsko, Švédsko
Eristin Argentína
Erithromicina Čile
Erycinum Nemecko
Erythrocin Austrália, Írsko, Kanada, Nemecko, nový Zéland, Rakúsko, Saudská Arábia, Spojené štáty Americké, Veľká Británia
Erythrocin lactobionat ADD Vantage Austrália, Rakúsko
Erythrocine Belgicko, Francúzsko, Holandsko, Luxembursko, Tunisko
Erythromycin Maďarsko, Nemecko, Saudská Arábia, Spojené štáty Americké, Veľká Británia
Erythromycine Luxembursko
Erythromycinum Poľsko
Pantomicina Čile, Španielsko
Stabilita v zmesiach   Injekcia   Stabilita v zmesiach : Erythromycin lactobionate     
žiadne údaje

  Mentions Légales