Cập nhật lần cuối :
27/11/2025
Thuốc giảm đau   Hydromorphone hydrochloride  
Dạng tiêm
Tính ổn định của các dung dịch Độ ổn định khi trộn lẫn Những yếu tố ảnh hưởng đến độ ổn định Khả năng tương thích Đường dùng Tài liệu tham khảo Pdf
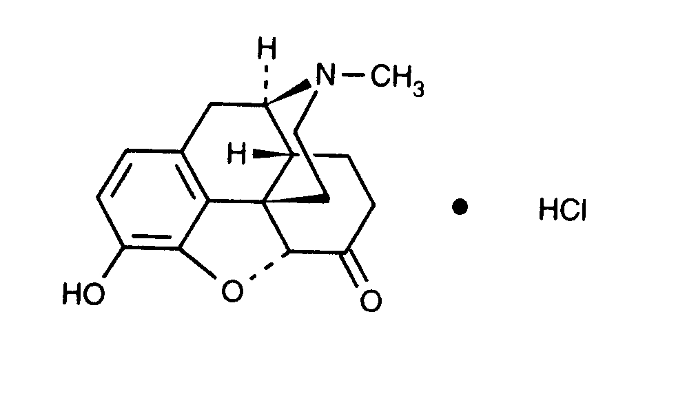
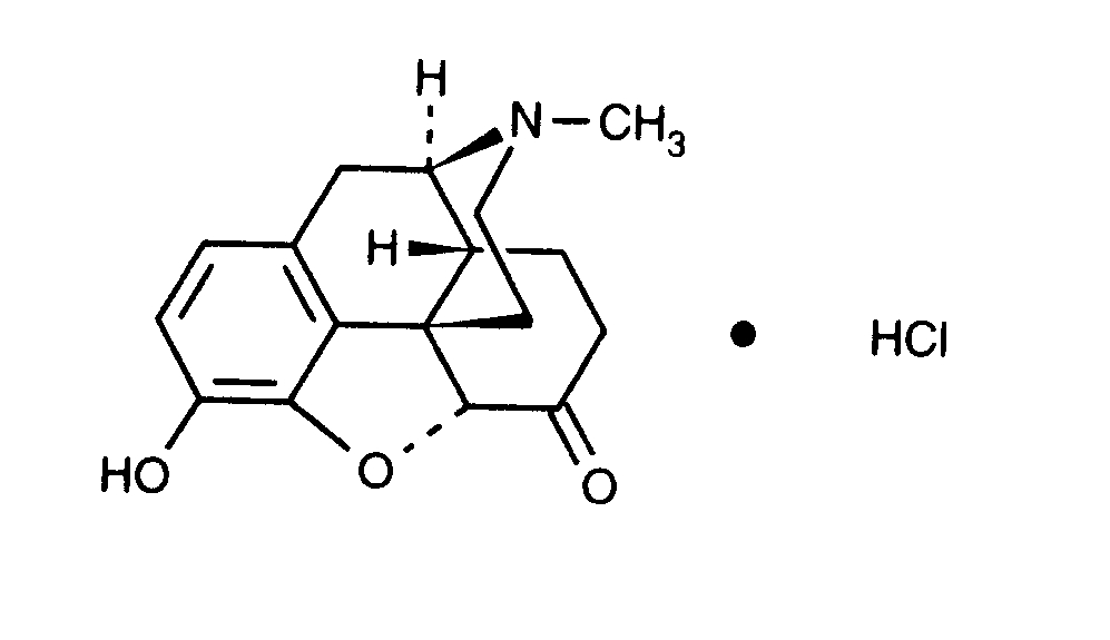
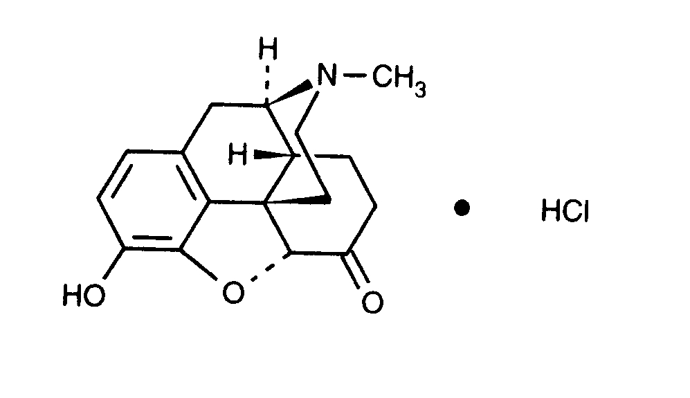
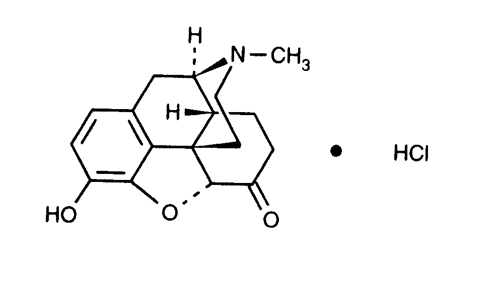
   Cấu trúc hóa học  

Tên thương mại   Tên thương mại     

Các tên thương mại được cung cấp và thành phần tá dược có thể khác nhau giữa các quốc gia và các hãng dược

Dilaudid Canada, Hoa Kỳ
Hydal Áo
Palladon Thụy Sỹ, Đan Mạch
Palladone Anh

Những yếu tố ảnh hưởng đến độ ổn định   Dạng tiêm   Những yếu tố ảnh hưởng đến độ ổn định : Hydromorphone hydrochloride        

  Mentions Légales