Останнє оновлення :
27/04/2026
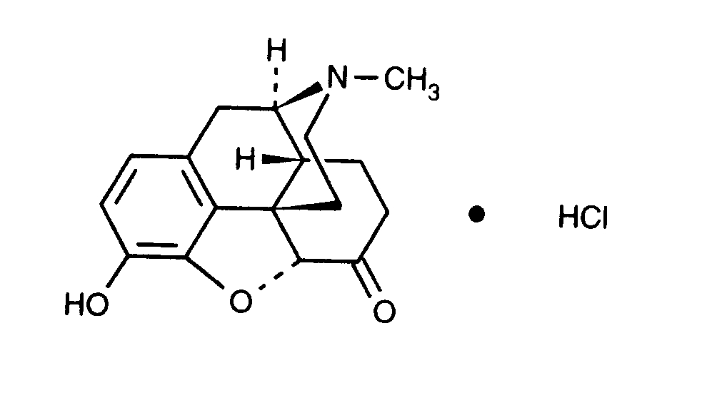
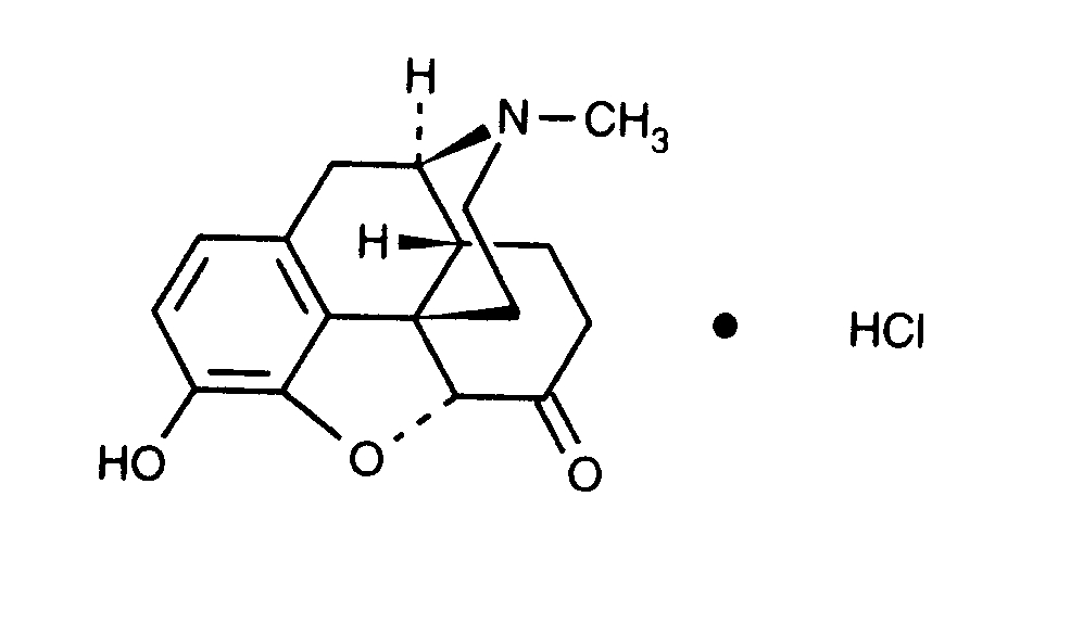
Знеболювальний   Hydromorphone hydrochloride  
ін'єкція
Стійкість в розчинах Стійкість сумішей Фактори, що впливають на стабільність Сумісність Шлях введення Список літератури pdf
   Хімічна структура  

Торгова назва   Торгова назва     

Торгові назви є орієнтовними, а склад допоміжних речовин може бути різним залежно від країни та виробника

Dilaudid Канада, Сполучені Штати Америки
Hydal Австрія
Palladon Данія, Швейцарія
Palladone Великобританія

Фактори, що впливають на стабільність   ін'єкція   Фактори, що впливають на стабільність : Hydromorphone hydrochloride        

  Mentions Légales