Poslední aktualizace :
27/11/2025
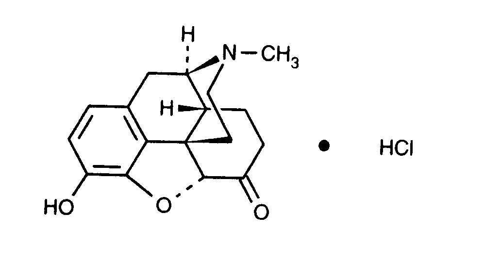
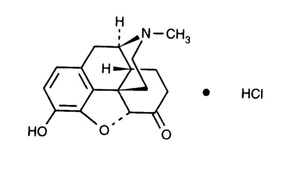
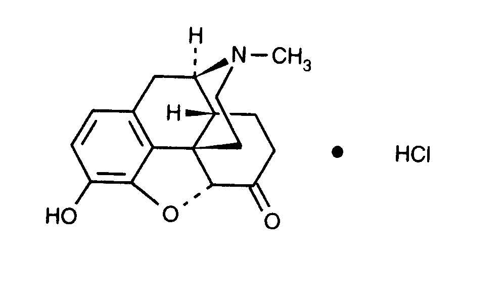
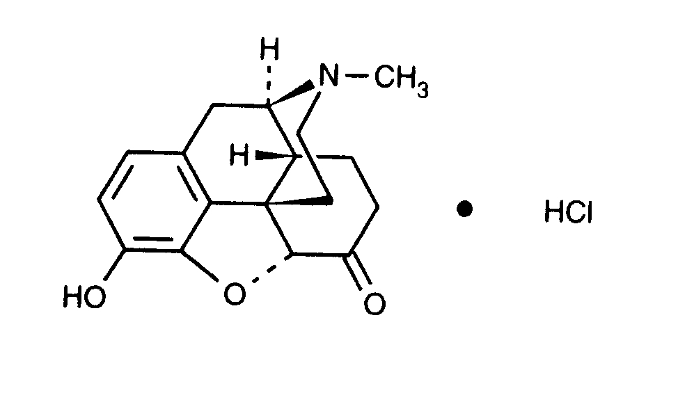
Analgetikas   Hydromorphone hydrochloride  
Įpurškimas
Tirpalų stabilumas Mišinių stabilumas Stabilumą lemiantys veiksniai Suderinamumas Leidimo būdai Bibliografija pdf
   Cheminė sandara  

Prekinis pavadinimas   Prekinis pavadinimas     

Trade names are indicative and excipients composition can be different depending on the country and manufacturers

Dilaudid Jungtinės Amerikos Valstijos, Kanada
Hydal Austrija
Palladon Danija, Šveicarija
Palladone Didžioji Britanija

Stabilumą lemiantys veiksniai   Įpurškimas   Stabilumą lemiantys veiksniai : Hydromorphone hydrochloride        

  Mentions Légales