viimane versioon :
27/11/2025
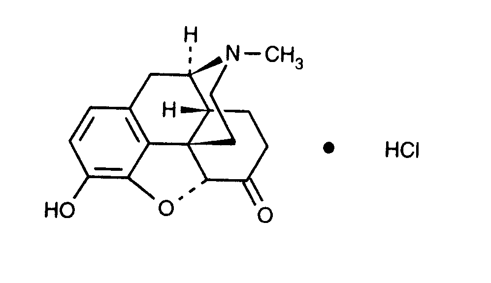
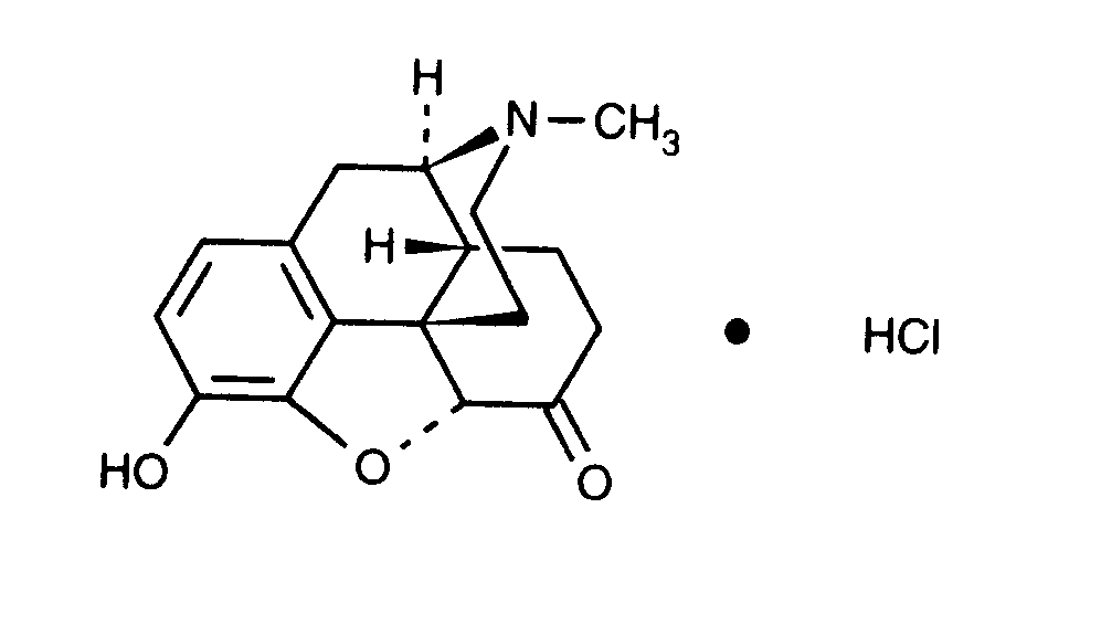
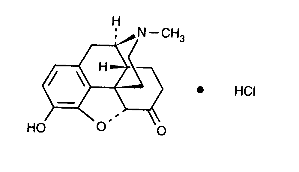
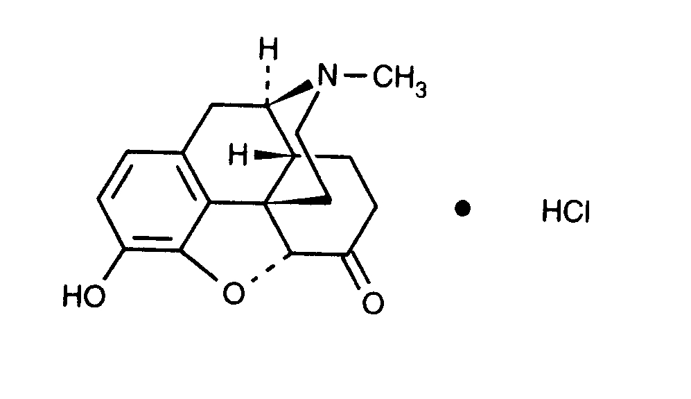
analgeetikum   Hydromorphone hydrochloride  
Süsteravim
Stabiilsus lahustes Stabiilsust mõjutavad tegurid stabiilsust mõjutavad faktorid Sobimatus Manustamis viis Viited pdf
   keemiline struktuur  

Kaubanduslikud nimed erinevates maades   Kaubanduslikud nimed erinevates maades     

Preparaatide nimed on näitlikud ja abianete sisaldus võib erineda sõltuvalt riigist ja laborist

Dilaudid Ameerika ühendriigid, Kanada
Hydal Austria
Palladon Sveits, Taani
Palladone Suurbritannia

stabiilsust mõjutavad faktorid   Süsteravim   stabiilsust mõjutavad faktorid : Hydromorphone hydrochloride        

  Mentions Légales