Τελευταία ενημέρωση :
27/11/2025
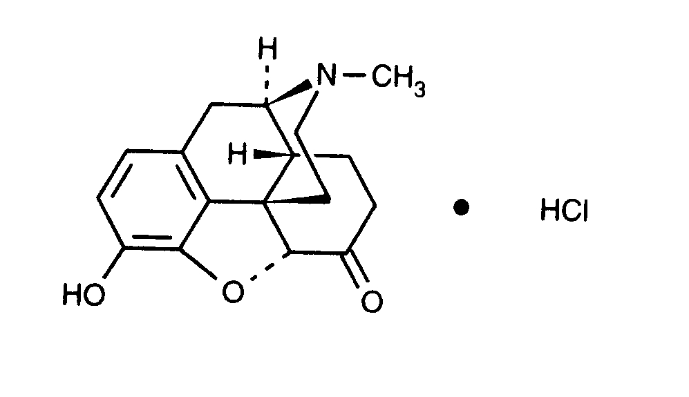
Αναλγητικό   Hydromorphone hydrochloride  
Ενέσιμο
Σταθερότητα διαλυμάτων Σταθερότητα σε μίγματα Παράγοντας που επηρεάζει τη σταθερότητα Συμβατότητες Τρόπος χορήγησης Βιβλιογραφία pdf
   χημική δομή  

Εμπορική ονομασία   Εμπορική ονομασία     

Οι εμπορικές ονομασίες είναι ενδεικτικές και η σύνθεση των εκδόχων μπορεί να διαφέρει ανάλογα με τη χώρα και τα εργαστήρια

Dilaudid Η.Π.Α., Καναδάς
Hydal Αυστρία
Palladon Δανία, Ελβετία
Palladone Μεγάλη Βρετανία

Παράγοντας που επηρεάζει τη σταθερότητα   Ενέσιμο   Παράγοντας που επηρεάζει τη σταθερότητα : Hydromorphone hydrochloride        

  Mentions Légales