Son güncelleme :
27/11/2025
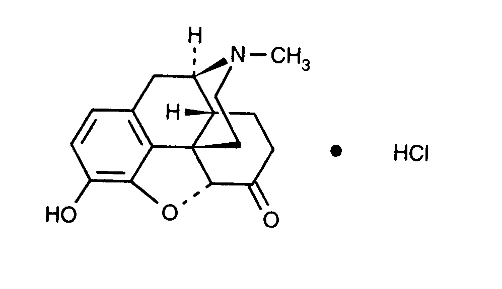
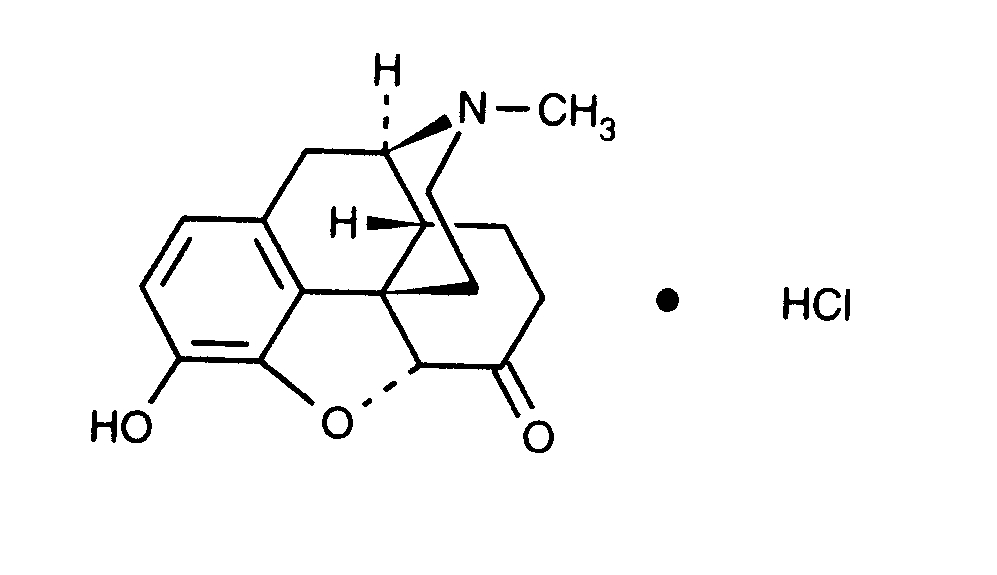
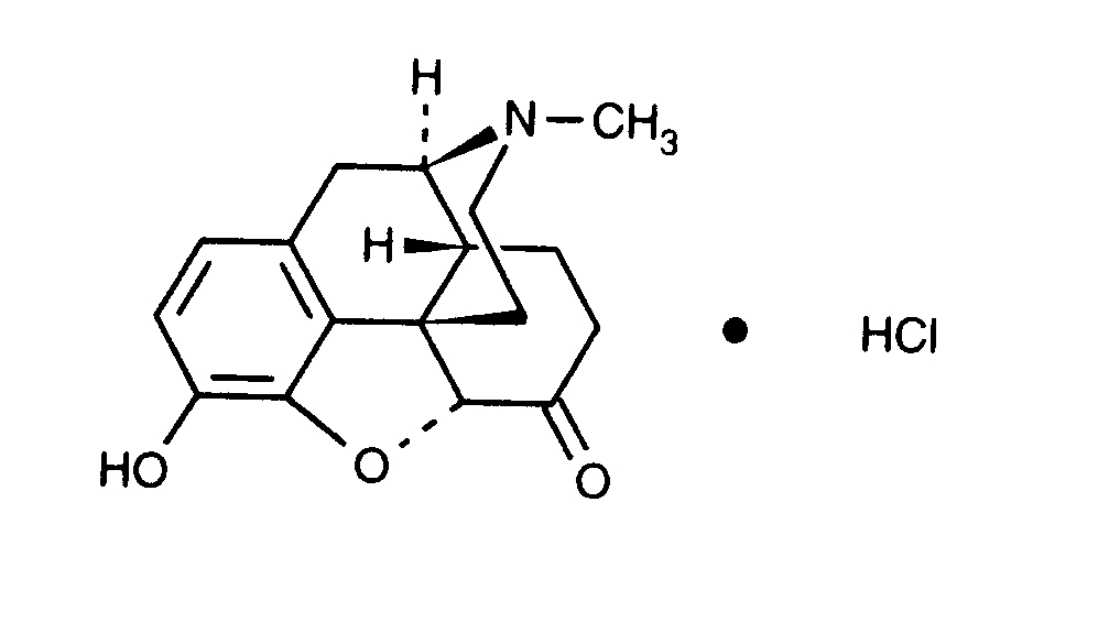
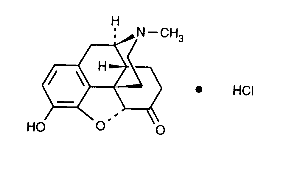
Analjezik   Hydromorphone hydrochloride  
Enjeksiyon
Çözeltilerin stabilitesi Karışımlardaki stabilitesi Stabiliteyi etkileyen faktörler Uyumluluk Uygulama yöntemi Kaynaklar pdf
   Kimyasal yapı   

Ticari isim   Ticari isim     

Trade names are indicative and excipients composition can be different depending on the country and manufacturers

Dilaudid Amerika Birleşik Devletleri, Kanada
Hydal Avusturya
Palladon Danimarka, İsviçre
Palladone Büyük Britanya

Stabiliteyi etkileyen faktörler    Enjeksiyon    Stabiliteyi etkileyen faktörler : Hydromorphone hydrochloride        

  Mentions Légales