Pēdējā atjaunošana :
27/11/2025
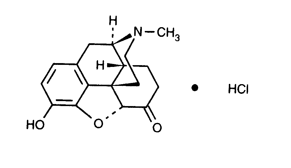
Analgētiķis   Hydromorphone hydrochloride  
Injekcija
Šķīduma stabilitāte Maisījuma stabilitāte Stabilitāti ietekmējoši faktori Saderība Levadīšanas veids Literatūras saraksts pdf
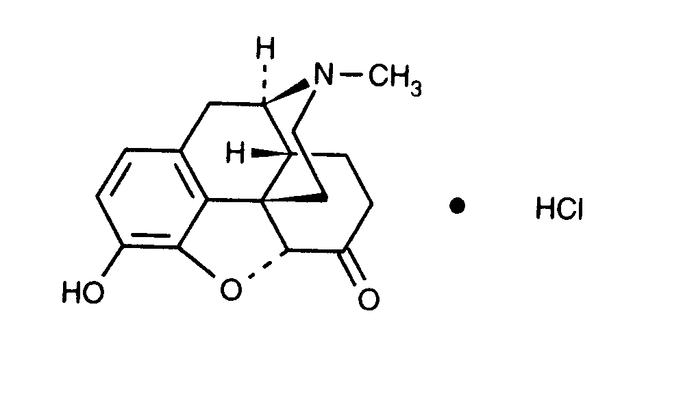
   Ķīmiskā uzbūve   

Oriģinālais nosaukums   Oriģinālais nosaukums     

Tirdzniecības nosaukumi ir apzīmējoši un palīgvielas var atšķirties dažādām valstīm un laboratorijām

Dilaudid Amerikas Savienotās Valstis, Kanāda
Hydal Austrija
Palladon Dānija, Šveice
Palladone Lielbritānija

Stabilitāti ietekmējoši faktori   Injekcija   Stabilitāti ietekmējoši faktori : Hydromorphone hydrochloride        

  Mentions Légales