آخر تحديث :
27/11/2025
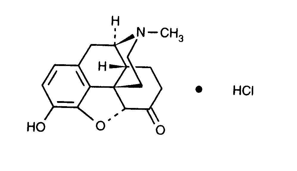
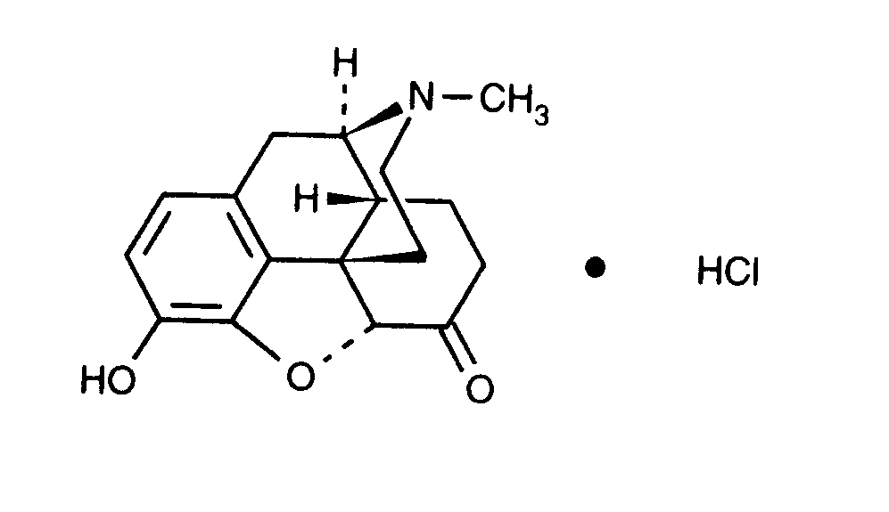
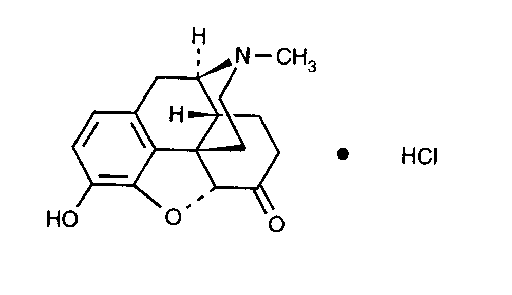
مسكن   Hydromorphone hydrochloride  
حقن
الاستقرار في حلول استقرار مخاليط العوامل التي تؤثر على الاستقرار التوافق طريقة التعاطي مراجع pdf
   التركيب الكيميائي  

حجز الاسم التجاري   حجز الاسم التجاري     

تحذير الأسماء التجاريه المختلفه قد تحتوي علي محتوي إضافات مختلفة حسب الدوله و المعمل

Dilaudid الولايات المتحدة, كندا
Hydal النمسا
Palladon الدنمارك, سويسرا
Palladone بريطانيا العظمي

العوامل التي تؤثر على الاستقرار   حقن   العوامل التي تؤثر على الاستقرار : Hydromorphone hydrochloride        

  Mentions Légales