Senaste uppdateringen :
27/04/2026
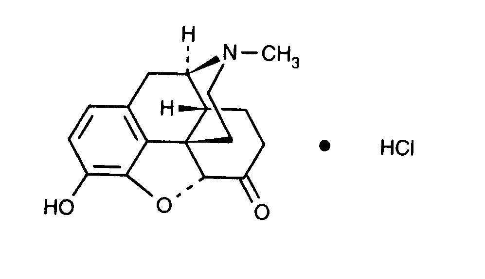
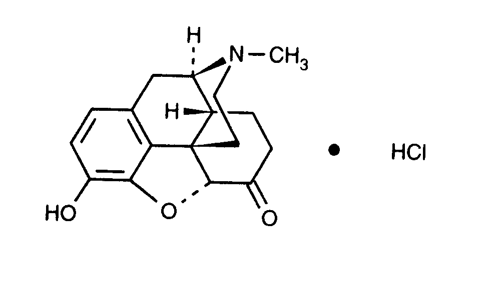
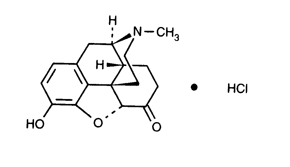
Analgetikum   Hydromorphone hydrochloride  
injektion
Lösningars stabilitet Stabilitet i blandningar Faktorer som påverkar stabiliteten Kompatibilitet Administreringssätt Hänvisningar pdf
   Molekylstruktur  

Varunamn   Varunamn     

Angivna handelsnamn på läkemedel är enbart vägledande då formulering inklusive hjälpämnen kan variera mellan länder och tillverkare

Dilaudid Förenta Staterna, Kanada
Hydal Österrike
Palladon Danmark, Schweiz
Palladone Storbritannien

Faktorer som påverkar stabiliteten   injektion   Faktorer som påverkar stabiliteten : Hydromorphone hydrochloride        

  Mentions Légales