Son güncelleme :
31/03/2026
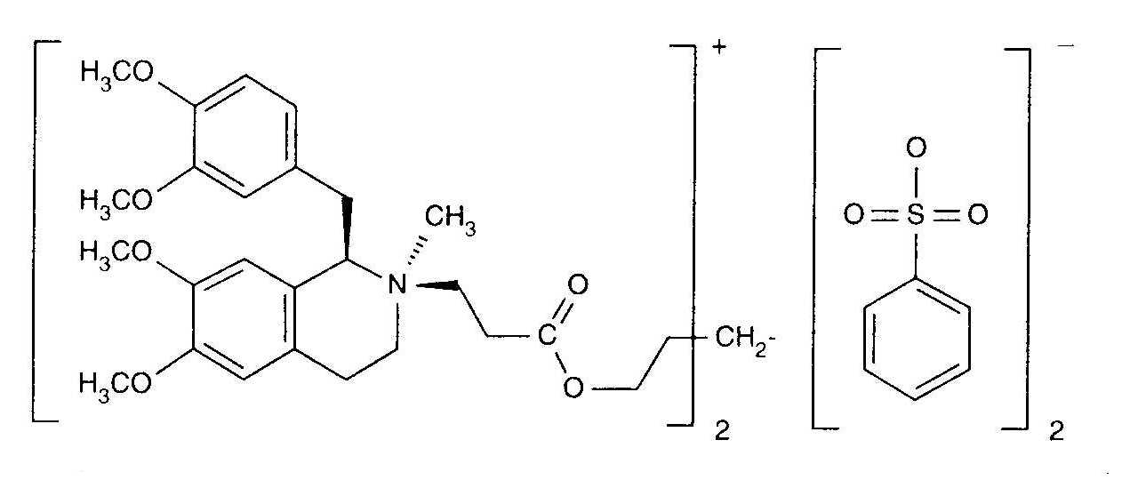
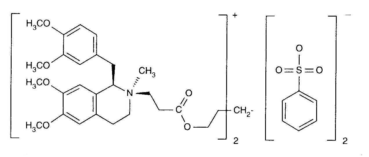
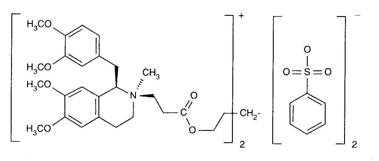
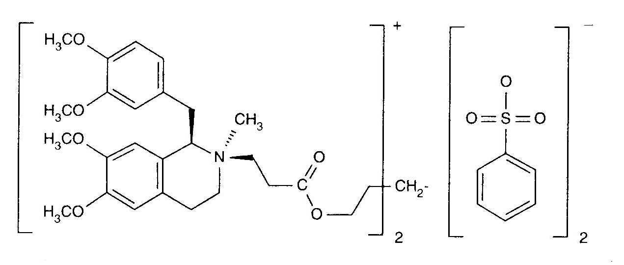
Kurarimimetik   Cisatracurium besylate  
Enjeksiyon
Çözeltilerin stabilitesi Karışımlardaki stabilitesi Stabiliteyi etkileyen faktörler Uyumluluk Uygulama yöntemi Kaynaklar pdf
   Kimyasal yapı   

Ticari isim   Ticari isim     

Trade names are indicative and excipients composition can be different depending on the country and manufacturers

Bensitrak Meksika
Besilato de cisatracurio
Cicuryl Meksika
Cirium Kolombiya
Cis Atracure
Cisatracurio Brezilya, Ekvador, İspanya, İtalya, Kolombiya, Peru, Şili
Cisatracurium Almanya, Belçika, Büyük Britanya, Finlandiya, Fransa, İrlanda, Kanada, Macaristan, Tunus
Nimbex Almanya, Amerika Birleşik Devletleri, Avusturya, Belçika, Birleşik Arap Emirlikleri, Büyük Britanya, Danimarka, Ekvador, Finlandiya, Fransa, Hollanda, İran, İrlanda, İspanya, İsveç, İtalya, Kanada, Lüksemburg, Macaristan, Malezya, Meksika, Mısır, Norveç, Peru, Polonya, Portekiz, Şili, Slovenya, Suudi Arabistan, Tunus, Türkiye, Venezuela, Yunanistan
Nimbium Brezilya, Kolombiya

Stabiliteyi etkileyen faktörler    Enjeksiyon    Stabiliteyi etkileyen faktörler : Cisatracurium besylate        
Kaynaklar
Çözücü Laktatlı ringer İndükler Parçalanma 3601
Çözücü NaHCO3 İndükler Parçalanma 299
3466
3823
pH pH >7 İndükler Parçalanma 3601

  Mentions Légales