Zadnji put ažurirano :
31/03/2026
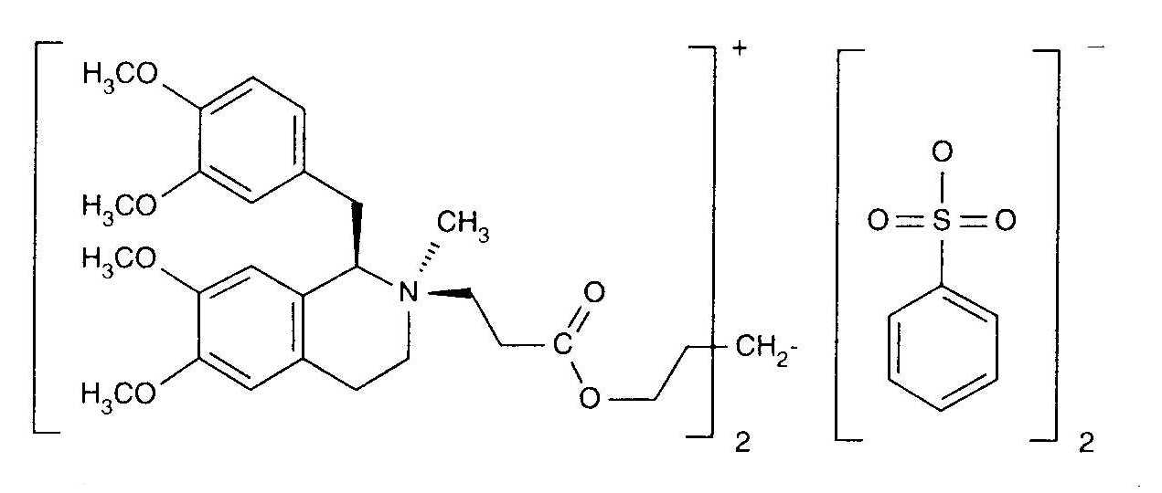
narkotizirajuće djelovanje pomoću kurarina   Cisatracurium besylate  
injekcija
Stabilizacija rješenja Stabilnost mješavine Stabilizacijski faktor Kompatibilnosti način davanja lijeka Bibliografija pdf
   Kemijska struktura  

Nekomercijalni   Nekomercijalni     

Zaštićeni nazivi su indikativni i sastav ekscipijensa može biti različit ovisno o državi i laboratorijima

Bensitrak Meksiko
Besilato de cisatracurio
Cicuryl Meksiko
Cirium Kolumbija
Cis Atracure
Cisatracurio Brazil, Čile, Ekvador, Italija, Kolumbija, Peru, Španjolska
Cisatracurium Belgija, Finska, Francuska, Irska, Kanada, Madžarska, Njemačka, Tunis, Velika Britanija
Nimbex Austrija, Belgija, Čile, Danska, Egipat, Ekvador, Finska, Francuska, Grčka, Iran, Irska, Italija, Kanada, Luksemburg, Madžarska, Malezija, Meksiko, Nizozemska, Njemačka, Norveška, Peru, Poljska, Portugal, S A D, Saudijska Arabija, Slovenija, Španjolska, Švedska, Tunis, Turska, Ujedinjeni Arapski Emirati, Velika Britanija, Venecuela
Nimbium Brazil, Kolumbija

Stabilizacijski faktor   injekcija   Stabilizacijski faktor : Cisatracurium besylate        
Bibliografija
sredstvo za rastapanje Ringer laktat izaziva Degradacija 3601
sredstvo za rastapanje NaHCO3 izaziva Degradacija 299
3466
3823
pH pH >7 izaziva Degradacija 3601

  Mentions Légales