Last update :
31/03/2026
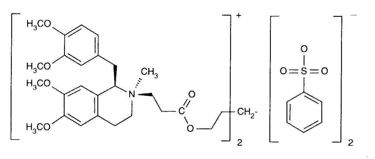
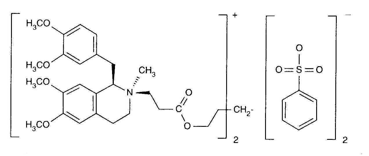
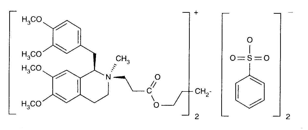
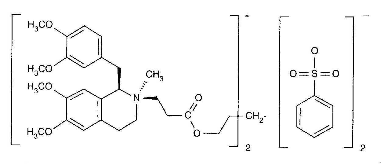
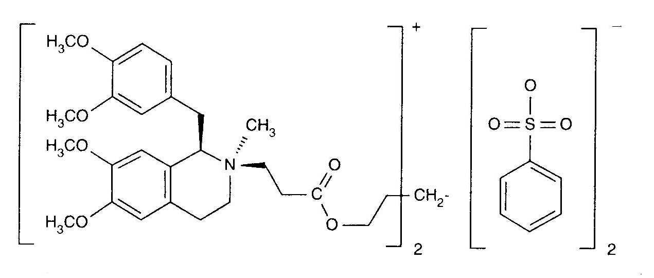
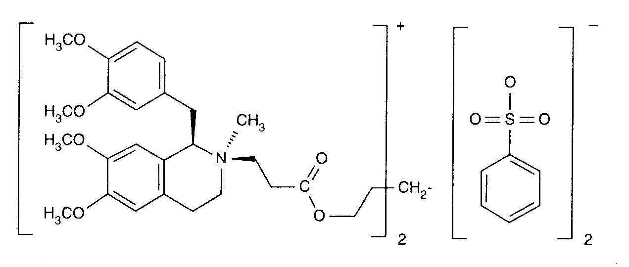
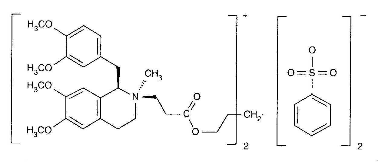
Curarimimetic   Cisatracurium besylate  
injection
Stability in solutions Stability of mixtures Factors which affect stability Compatibility Route of administration References pdf
   Chemical structure  

Tradename   Tradename     

Trade names are indicative and excipients composition can be different depending on the country and manufacturers

Bensitrak Mexico
Besilato de cisatracurio
Cicuryl Mexico
Cirium Colombia
Cis Atracure
Cisatracurio Brazil, Chile, Colombia, Ecuador, Italy, Peru, Spain
Cisatracurium Belgium, Canada, Finland, France, Germany, Great Britain, Hungary, Ireland, Tunisia
Nimbex Austria, Belgium, Canada, Chile, Denmark, Ecuador, Egypt, Finland, France, Germany, Great Britain, Greece, Hungary, Iran, Ireland, Italy, Luxembourg, Malaysia, Mexico, Netherlands, Norway, Peru, Poland, Portugal, Saudi Arabia, Slovenia, Spain, Sweden, Tunisia, Turkey, United Arab Emirates, United States of America, Venezuela
Nimbium Brazil, Colombia

Factors which affect stability   injection   Factors which affect stability : Cisatracurium besylate        
References
Solvent Ringer’s lactate solution Induces Degradation 3601
Solvent NaHCO3 Induces Degradation 299
3466
3823
pH pH >7 Induces Degradation 3601

  Mentions Légales