Poslední aktualizace :
31/03/2026
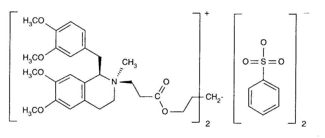
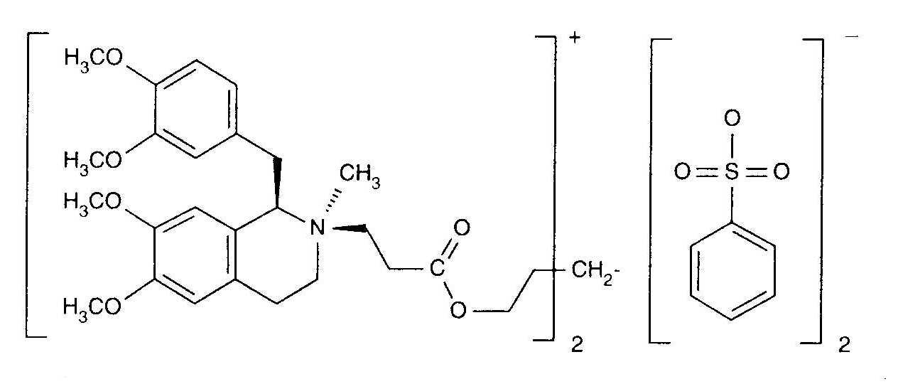
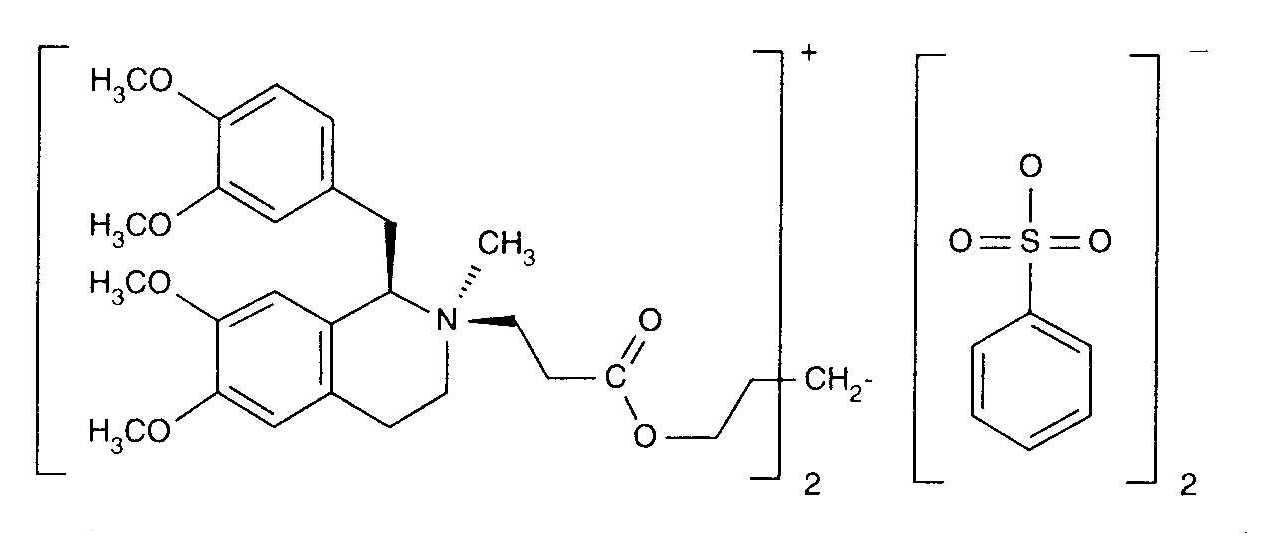
Kurarimimetikas   Cisatracurium besylate  
Įpurškimas
Tirpalų stabilumas Mišinių stabilumas Stabilumą lemiantys veiksniai Suderinamumas Leidimo būdai Bibliografija pdf
   Cheminė sandara  

Prekinis pavadinimas   Prekinis pavadinimas     

Trade names are indicative and excipients composition can be different depending on the country and manufacturers

Bensitrak Meksikas
Besilato de cisatracurio
Cicuryl Meksikas
Cirium Kolumbija
Cis Atracure
Cisatracurio Brazilija, Čilė, Ekvadoras, Ispanija, Italija, Kolumbija, Peru
Cisatracurium Airija, Belgija, Didžioji Britanija, Kanada, Prancūzija, Suomija, Tunisas, Vengrija, Vokietija
Nimbex Airija, Austrija, Belgija, Čilė, Danija, Didžioji Britanija, Egiptas, Ekvadoras, Graikija, Iranas, Ispanija, Italija, Jungtinės Amerikos Valstijos, Jungtiniai Arabų Emyratai, Kanada, Lenkija, Liuksemburgas, Malaizija, Meksikas, Norvegija, Olandija, Peru, Portugalija, Prancūzija, Saudo Arabija, Slovėnija, Suomija, Švedija, Tunisas, Turkija, Venesuela, Vengrija, Vokietija
Nimbium Brazilija, Kolumbija

Stabilumą lemiantys veiksniai   Įpurškimas   Stabilumą lemiantys veiksniai : Cisatracurium besylate        
Nuorodos
Tirpiklis Ringerio laktato tirpalas Skatina Skilimas 3601
Tirpiklis NaHCO3 Skatina Skilimas 299
3466
3823
pH pH >7 Skatina Skilimas 3601

  Mentions Légales