Posledná aktualizácia :
31/03/2026
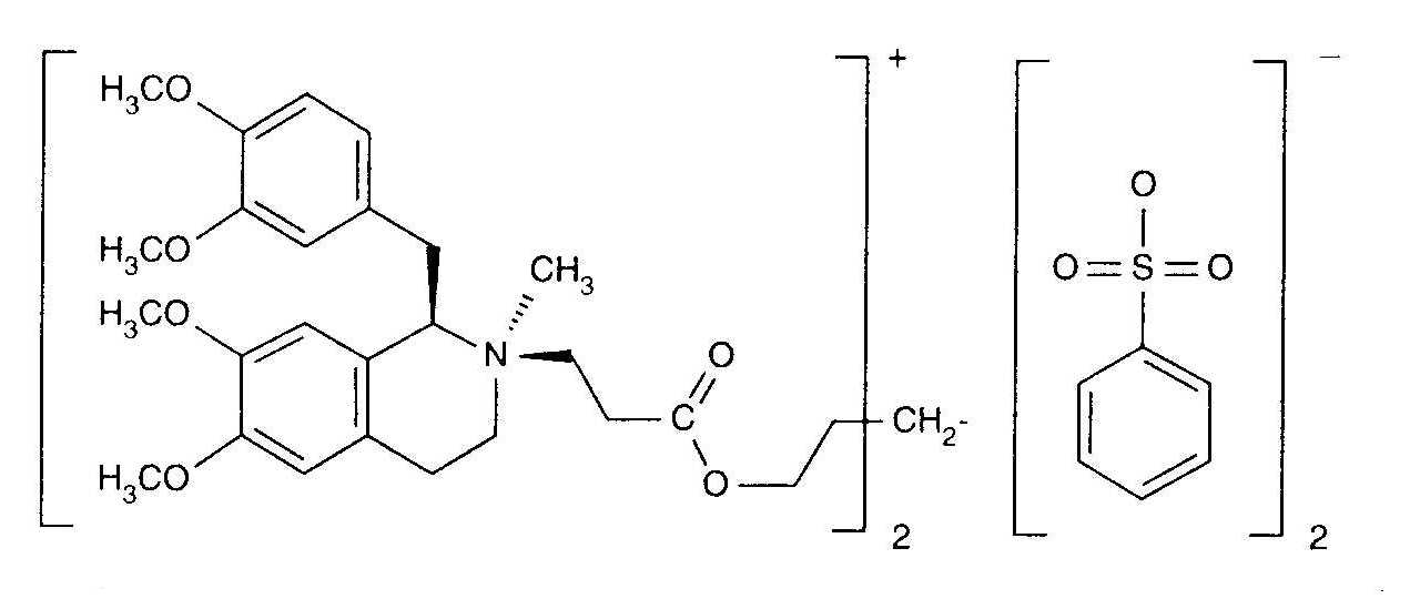
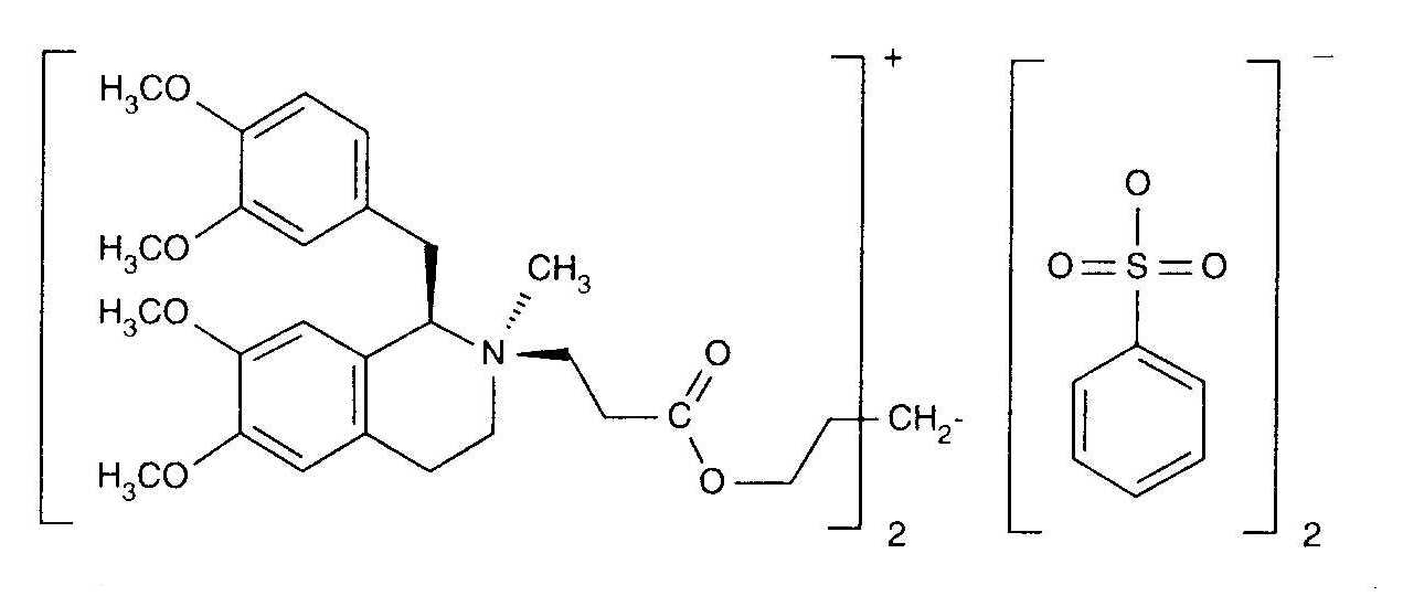
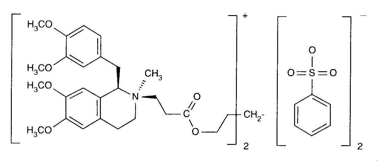
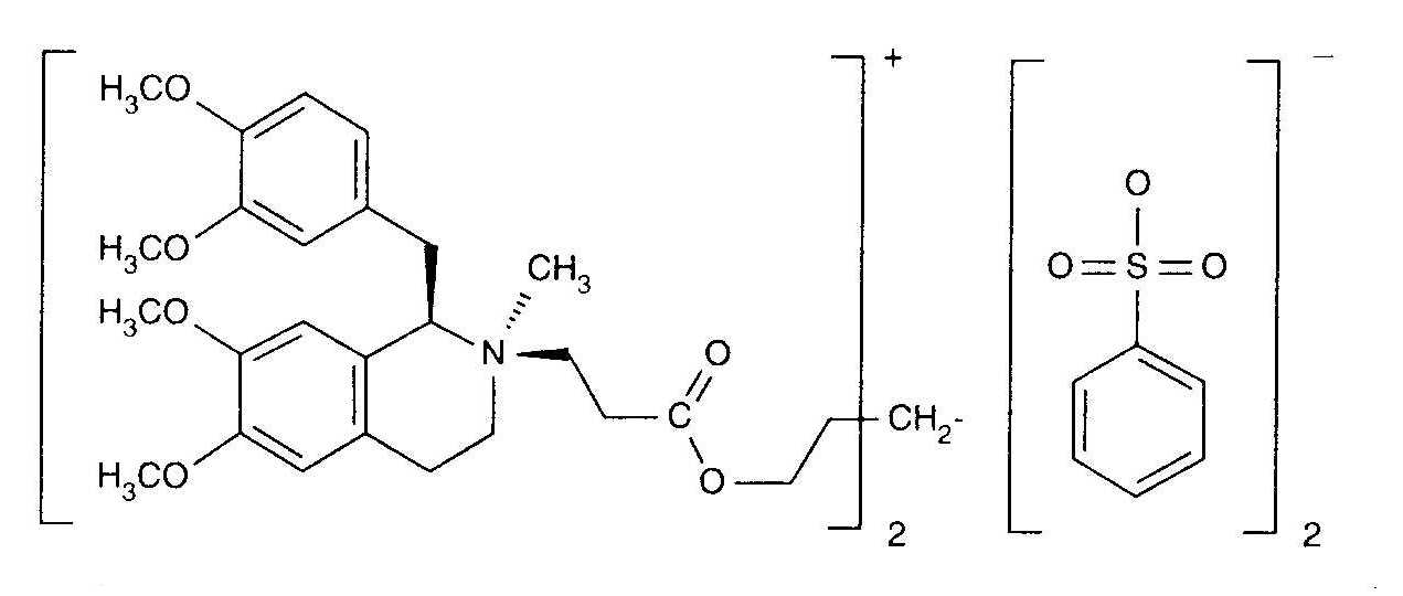
kurarimimetikum/periférne myorelaxans   Cisatracurium besylate  
Injekcia
Stabilita roztokov Stabilita v zmesiach Faktory ovplyvňujúce stabilitu Kompatibility spôsob podania Odkazy na literatúru PDF
   Chemický vzorec  

Obchodný názov   Obchodný názov     

Obchodné názvy sú orientačné, a zloženie pomocných látok sa môže líšiť v závislosti od krajiny a výrobcu.

Bensitrak Mexiko
Besilato de cisatracurio
Cicuryl Mexiko
Cirium Kolumbia
Cis Atracure
Cisatracurio Brazília, Čile, Ekvádor, Kolumbia, peru, Španielsko, Taliansko
Cisatracurium Belgicko, Fínsko, Francúzsko, Írsko, Kanada, Maďarsko, Nemecko, Tunisko, Veľká Británia
Nimbex Belgicko, Čile, Dánsko, Egypt, Ekvádor, Fínsko, Francúzsko, Grécko, Holandsko, Irán, Írsko, Kanada, Luxembursko, Maďarsko, Malajzia, Mexiko, Nemecko, Nórsko, peru, Poľsko, Portugalsko, Rakúsko, Saudská Arábia, Slovinsko, Španielsko, Spojené arabské emiráty, Spojené štáty Americké, Švédsko, Taliansko, Tunisko, Turecko, Veľká Británia, Venezuela
Nimbium Brazília, Kolumbia

Faktory ovplyvňujúce stabilitu   Injekcia   Faktory ovplyvňujúce stabilitu : Cisatracurium besylate        
odkazy na lieteratúru
rozpúšťadlo Ringerov laktátový roztok indukuje degradácia 3601
rozpúšťadlo NaHCO3 indukuje degradácia 299
3466
3823
pH pH >7 indukuje degradácia 3601

  Mentions Légales