Dernière mise à jour :
31/03/2026
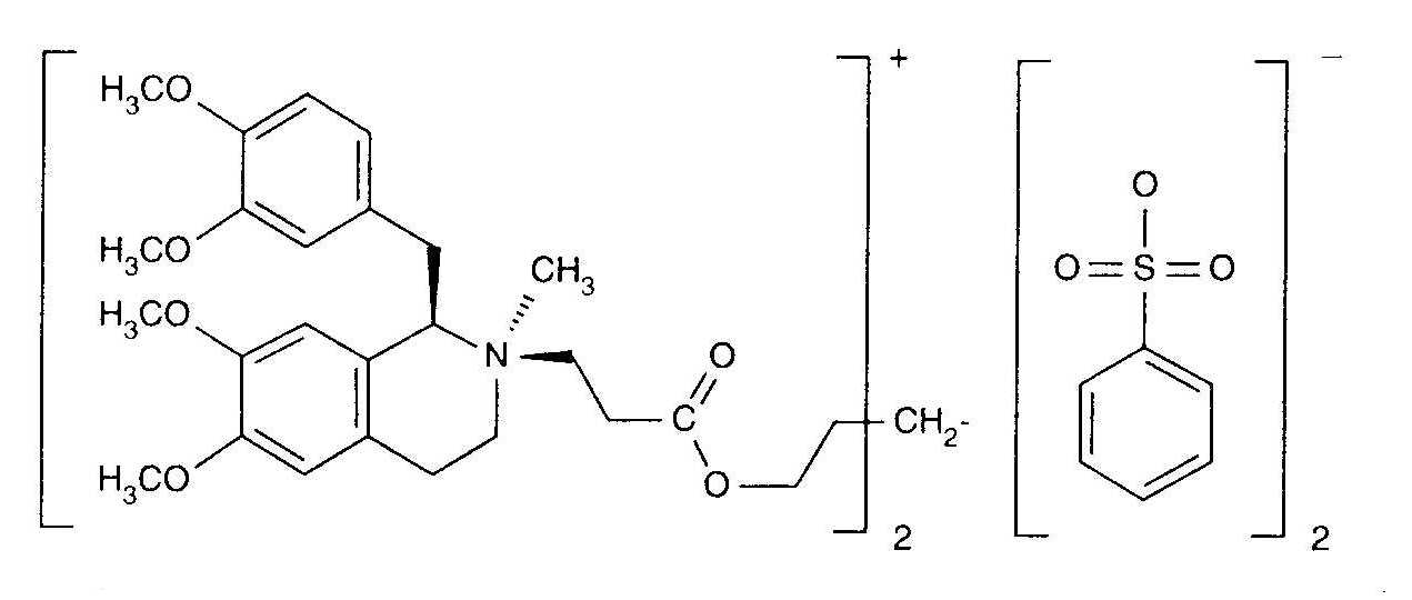
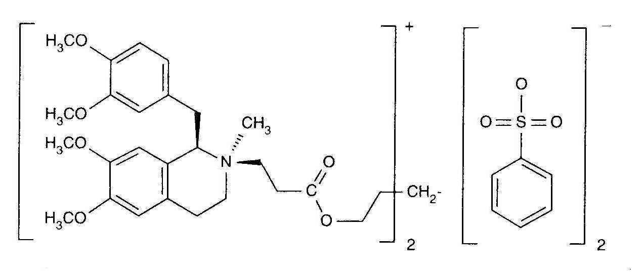
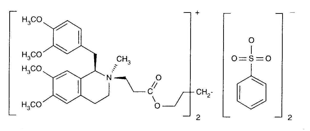
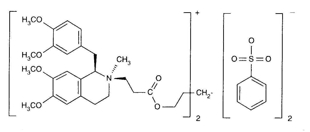
Curarisant   Cisatracurium besylate  
injectable
Stabilité des solutions Stabilité en mélange Facteur influençant la stabilité Compatibilités Voie d’administration Bibliographie pdf
   Structure chimique  

Noms commerciaux   Noms commerciaux     

Les noms commerciaux sont donnés à titre indicatif et la composition en excipients peut être différente selon les pays et selon les laboratoires

Bensitrak Mexique
Besilato de cisatracurio
Cicuryl Mexique
Cirium Colombie
Cis Atracure
Cisatracurio Brésil, Chili, Colombie, Equateur, Espagne, Italie, Pérou
Cisatracurium Allemagne, Belgique, Canada, Finlande, France, Grande Bretagne, Hongrie, Irlande, Tunisie
Nimbex Allemagne, Arabie Saoudite, Autriche, Belgique, Canada, Chili, Danemark, Egypte, Emirats Arabes Unis , Equateur, Espagne, Etats Unis d’Amérique, Finlande, France, Grande Bretagne, Grèce, Hongrie, Iran, Irlande, Italie, Luxembourg, Malaisie, Mexique, Norvège, Pays bas, Pérou, Pologne, Portugal, Slovénie, Suède, Tunisie, Turquie, Vénézuela
Nimbium Brésil, Colombie

Facteur influençant la stabilité   injectable   Facteur influençant la stabilité : Cisatracurium besylate        
Bibliographie
Solvant Ringer lactate Provoque Dégradation 3601
Solvant NaHCO3 Provoque Dégradation 299
3466
3823
pH pH >7 Provoque Dégradation 3601

  Mentions Légales