Pēdējā atjaunošana :
31/03/2026
Kurarīnmimētiķis   Cisatracurium besylate  
Injekcija
Šķīduma stabilitāte Maisījuma stabilitāte Stabilitāti ietekmējoši faktori Saderība Levadīšanas veids Literatūras saraksts pdf
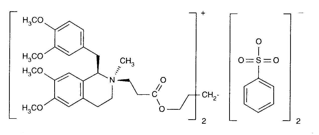
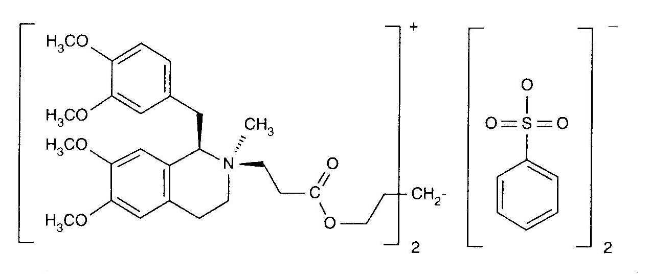
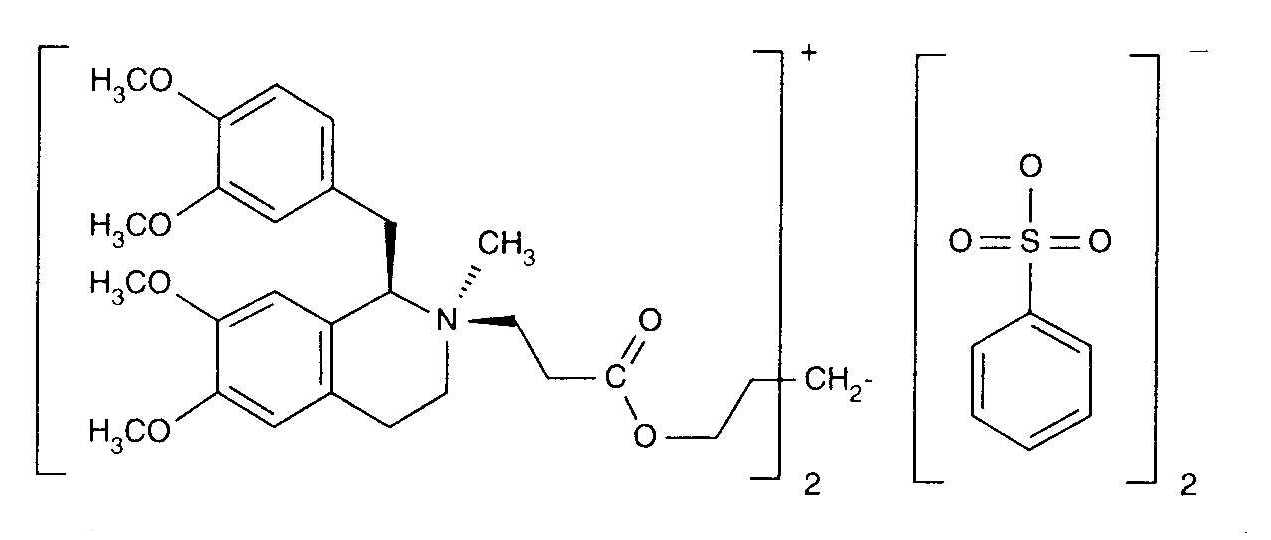
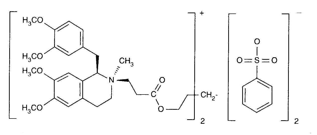
   Ķīmiskā uzbūve   

Oriģinālais nosaukums   Oriģinālais nosaukums     

Tirdzniecības nosaukumi ir apzīmējoši un palīgvielas var atšķirties dažādām valstīm un laboratorijām

Bensitrak Meksika
Besilato de cisatracurio
Cicuryl Meksika
Cirium Kolumbija
Cis Atracure
Cisatracurio Brazīlija, Čīle, Ekvadora, Itālija, Kolumbija, Peru, Spānija
Cisatracurium Beļģija, Francija, Īrija, Kanāda, Lielbritānija, Somija, Tunisija, Ungārija, Vācija
Nimbex Amerikas Savienotās Valstis, Apvienotie Arābu Emirāti, Austrija, Beļģija, Čīle, Dānija, Ēģipte, Ekvadora, Francija, Grieķija, Holande, Irāna, Īrija, Itālija, Kanāda, Lielbritānija, Luksemburga, Malaizija, Meksika, Norvēģija, Peru, Polija, Portugāle, Saūda Arābija, Slovēnija, Somija, Spānija, Tunisija, Turcija, Ungārija, Vācija, Venecuēla, Zviedrija
Nimbium Brazīlija, Kolumbija

Stabilitāti ietekmējoši faktori   Injekcija   Stabilitāti ietekmējoši faktori : Cisatracurium besylate        
Literatūras saraksts
Šķīdinātājs Ringera laktāta šķīdums Izraisošs Deģenerācija 3601
Šķīdinātājs NaHCO3 Izraisošs Deģenerācija 299
3466
3823
pH pH >7 Izraisošs Deģenerācija 3601

  Mentions Légales