zadnja posodobitev :
31/03/2026
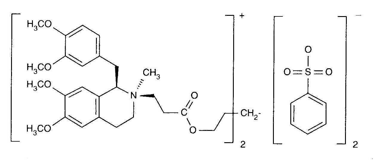
Kurarimetik   Cisatracurium besylate  
Brizgalka
Stabilnost raztopine Stabilnost mešanice Faktorji, ki vplivajo na stabilnost Kompatibilnost način aplikacije Viri pdf
   Kemična formula  

Lastniško ime   Lastniško ime     

Sestava pomožnih snovi je med paralelami lahko različna

Bensitrak Mehika
Besilato de cisatracurio
Cicuryl Mehika
Cirium Kolumbija
Cis Atracure
Cisatracurio Brazilija, Čile, Ekvador, Italija, Kolumbija, Peru, Španija
Cisatracurium Belgija, Finska, Francija, Irska, Kanada, Madžarska, Nemčija, Tunizija, Velika Britanija
Nimbex Avstrija, Belgija, Čile, Danska, Egipt, Ekvador, Finska, Francija, Grčija, Iran, Irska, Italija, Kanada, Luksemburg, Madžarska, Malezija, Mehika, Nemčija, Nizozemska, Norveška, Peru, Poljska, Portugalska, Savdska Arabija, Slovenija, Španija, Švedska, Tunizija, Turčija, Velika Britanija, Venezuela, Združene države Amerike, Združeni arabski emirati
Nimbium Brazilija, Kolumbija

Faktorji, ki vplivajo na stabilnost   Brizgalka   Faktorji, ki vplivajo na stabilnost : Cisatracurium besylate        
Viri
Topilo Ringerjev laktat Inducirati Degradacija 3601
Topilo NaHCO3 Inducirati Degradacija 299
3466
3823
pH pH >7 Inducirati Degradacija 3601

  Mentions Légales