Последно актуализиране :
31/03/2026
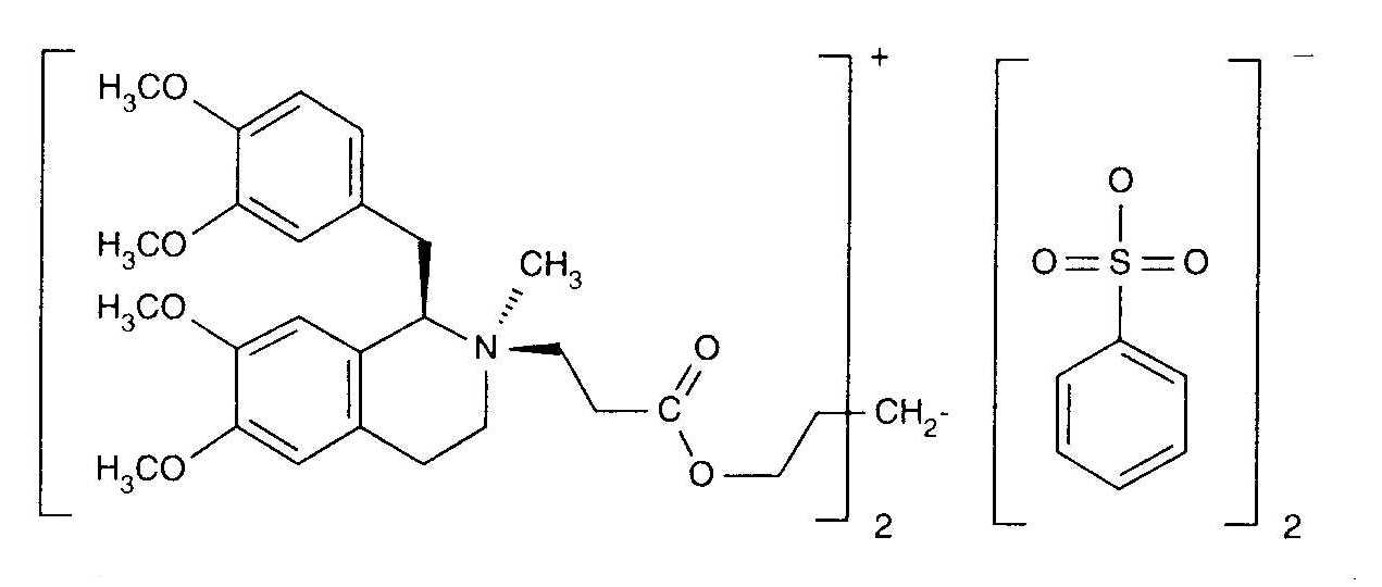
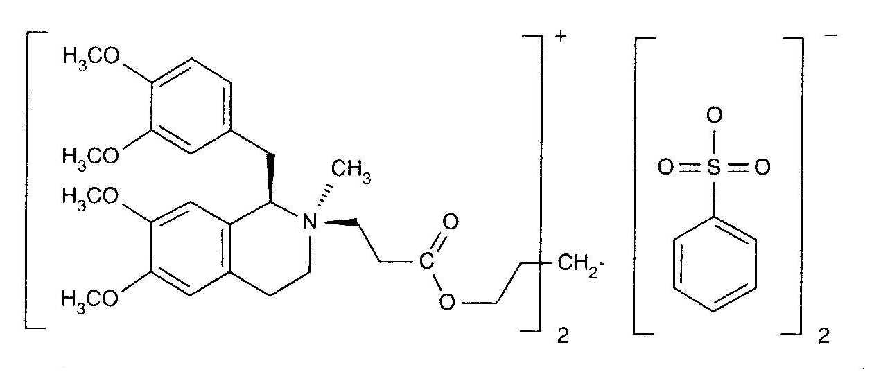
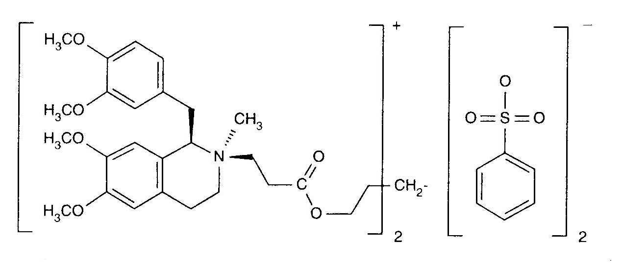
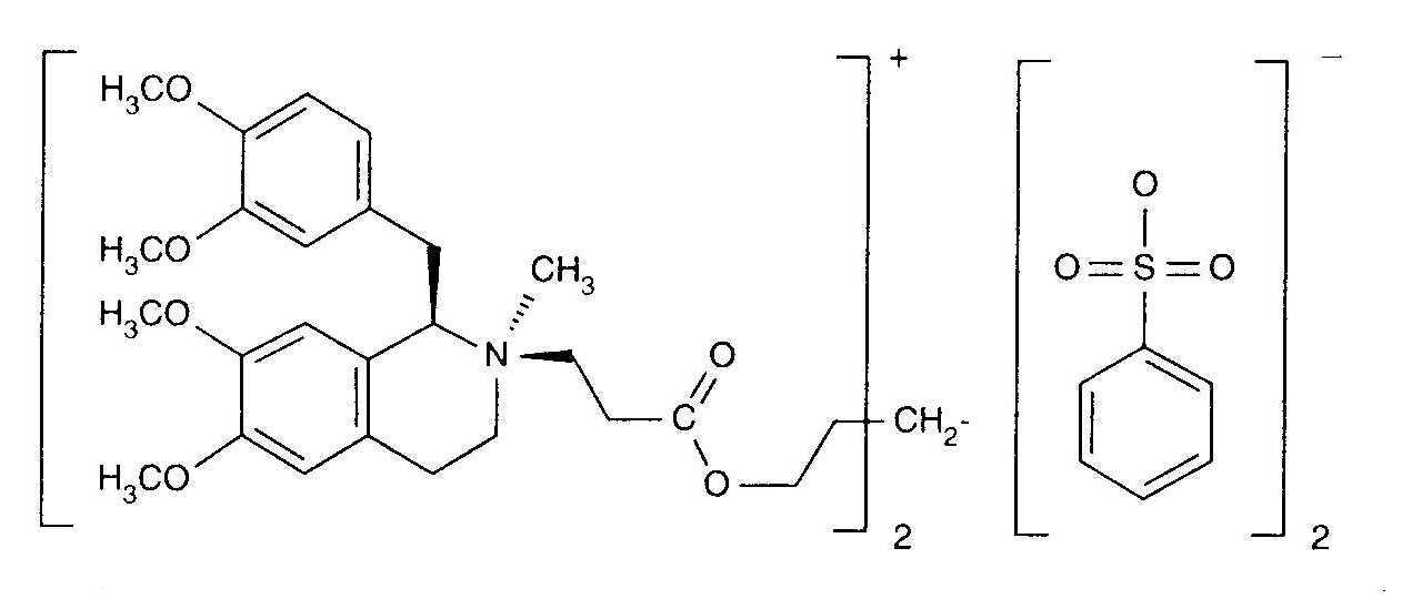
Кураре-миметик   Cisatracurium besylate  
Инжекция/Инжекционен
Стабилност на разтвори Стабилност на смеси Фактори, повлияващи стабилността Съвместимост Път на въвеждане Библиография Pdf
   Химична структура  

Търговско наименование   Търговско наименование     

Търговските имена са примерни и съставът на помощните вещества може да бъде различен в зависимост от държавата и лабораториите

Bensitrak Мексико
Besilato de cisatracurio
Cicuryl Мексико
Cirium Колумбия
Cis Atracure
Cisatracurio Бразилия, Еквадор, Испания, Италия, Колумбия, Перу, Чили
Cisatracurium Белгия, Великобритания, Германия, Ирландия, Канада, Тунис, Унгария, Финландия, Франция
Nimbex Австрия, Белгия, Великобритания, Венецуела, Германия, Гърция, Дания, Египет, Еквадор, Иран, Ирландия, Испания, Италия, Канада, Люксенбург, Малайзия, Мексико, Норвегия, Обединени арабски емирства, Перу, Полша, Португалия, Саудитска Арабия, Словения, Съединени Американски щати / САЩ, Тунис, Турция, Унгария, Финландия, Франция, Холандия, Чили, Швеция
Nimbium Бразилия, Колумбия

Фактори, повлияващи стабилността   Инжекция/Инжекционен   Фактори, повлияващи стабилността : Cisatracurium besylate        
Библиография
Разтворител Ринтер лактат Предизвиква Разграждане 3601
Разтворител NaHCO3 Предизвиква Разграждане 299
3466
3823
рН pH >7 Предизвиква Разграждане 3601

  Mentions Légales