zadnja posodobitev :
18/03/2026
Antibiotik   Netilmicin sulfate  
Brizgalka
Aerosol
Stabilnost raztopine Stabilnost mešanice Faktorji, ki vplivajo na stabilnost Kompatibilnost način aplikacije Viri pdf
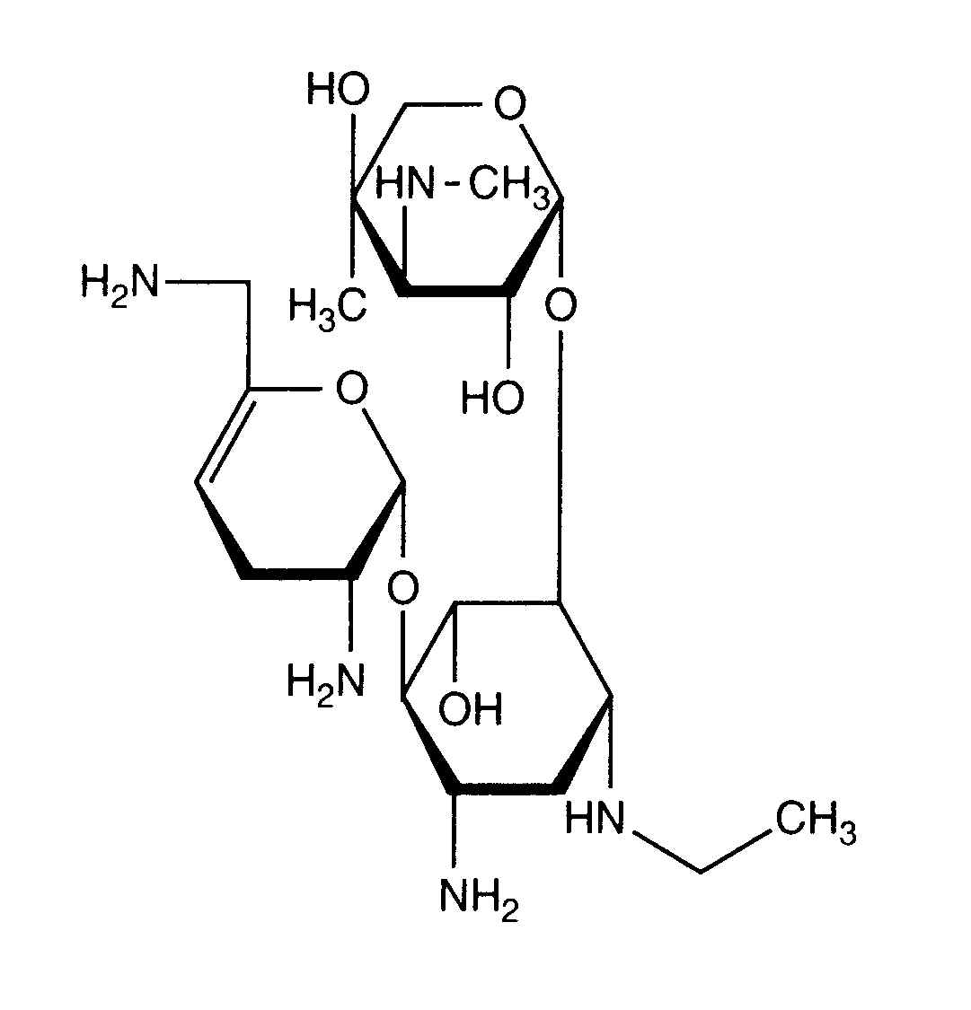
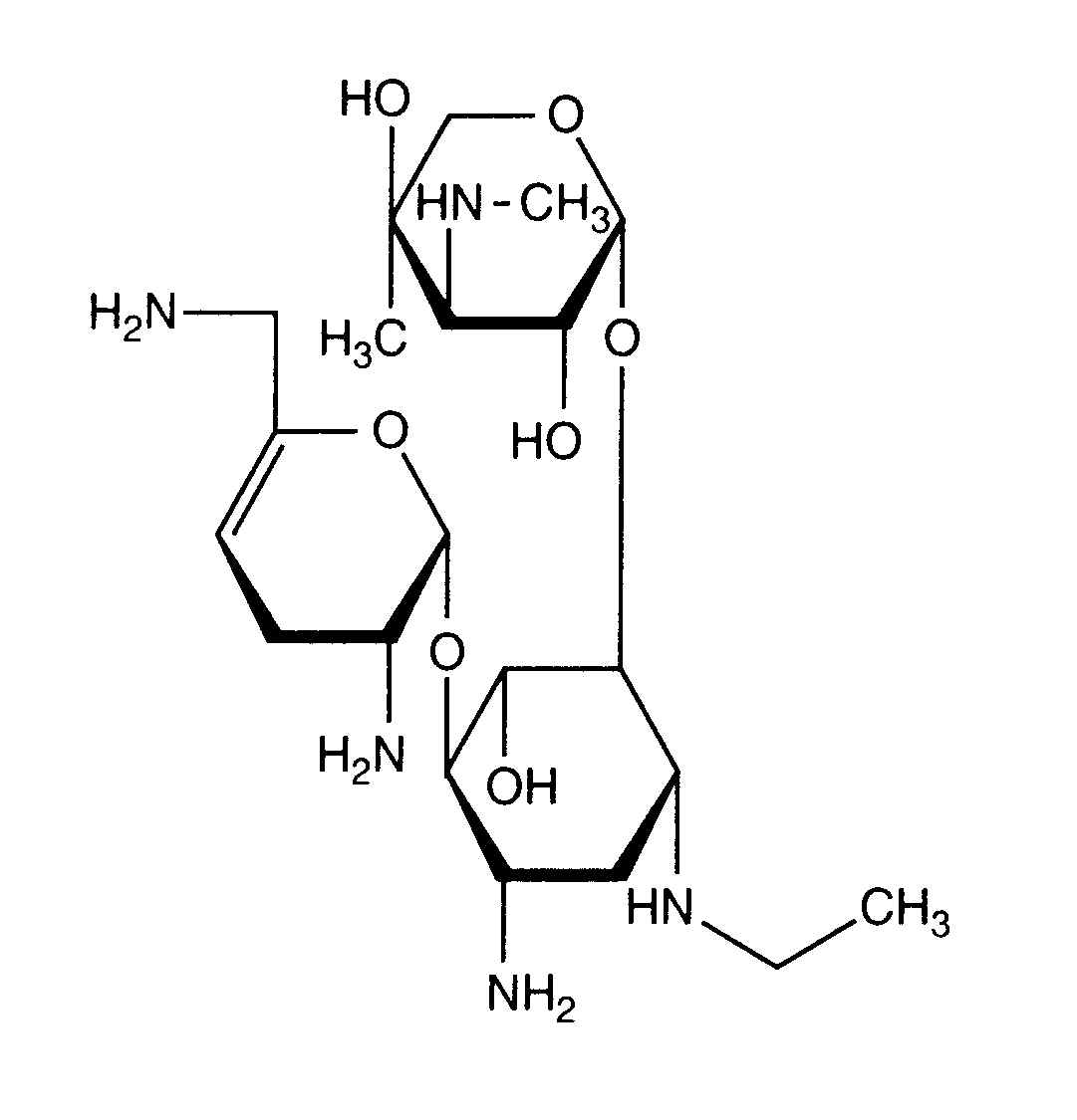
   Kemična formula  

Lastniško ime   Lastniško ime     

Sestava pomožnih snovi je med paralelami lahko različna

Bactob Indija
Beltob Indija
Bramicil Italija
Brulamycin Madžarska
Eltol Indija
Fytobra Indija
Gernebcin Nemčija
Komitub Indija
Nebcin Avstralija, Egipt, Grčija, nova Zelandija, Savdska Arabija, Velika Britanija, Združeni arabski emirati
Nebcina Danska, Maroko, Norveška, Švedska
Nebcine Maroko
Nebicina Italija
Netilyn Finska, Švedska
Netromicina Portugalska
Netromicine Francija
Netromycine Grčija, Poljska, ruščina, Turčija
Nettacin Italija
Obracin Belgija, Luksemburg, Nizozemska, Švica
Tobra Nemčija
Tobra Alex Egipt
Tobra Day nova Zelandija
Tobra Gobens Španija
Tobracin Egipt
Tobradistin Španija
Tobramicina Italija, Portugalska, Španija, Venezuela
Tobramina Brazilija
Tobramycin Avstralija, Irska, Kanada, Nemčija, Norveška, Savdska Arabija, Velika Britanija, Združene države Amerike
Tobramycine Francija, Irska, Nizozemska
Tobrasix Avstrija
Tobrazid Nemčija
Tomycin Finska
Zetamicin Italija
Stabilnost raztopine   Brizgalka   Stabilnost raztopine : Netilmicin sulfate     
Vsebnik Topilo Koncentracija Temperatura Shranjevanje Trajanje stabilnosti Viri
Steklo Voda za injekcije 3 mg/ml 25°C Nedoločeno
7 Dan
1200
biološka analiza

Steklo Voda za injekcije 3 mg/ml 4°C Zaščiteno pred svetlobo
7 Dan
1200
biološka analiza

Steklo Natrijev klorid 0,9% 3 mg/ml 24°C Svetloba
24 čas
421
Joker

Steklo Natrijev klorid 0,9% 3 mg/ml 25°C Nedoločeno
7 Dan
1200
biološka analiza

Steklo Natrijev klorid 0,9% 3 mg/ml 4°C Zaščiteno pred svetlobo
7 Dan
1200
biološka analiza

Steklo Glukoza 5% 3 mg/ml 24°C Svetloba
24 čas
421
Joker

Steklo Glukoza 5% 3 mg/ml 25°C Nedoločeno
7 Dan
1200
biološka analiza

Steklo Glukoza 5% 3 mg/ml 4°C Zaščiteno pred svetlobo
7 Dan
1200
biološka analiza

Steklo Ringerjev laktat 3 mg/ml 25°C Nedoločeno
7 Dan
1200
biološka analiza

Steklo Ringerjev laktat 3 mg/ml 4°C Zaščiteno pred svetlobo
7 Dan
1200
biološka analiza

Steklo Natrijev klorid 3% 3 mg/ml 25°C Nedoločeno
7 Dan
1200
biološka analiza

Steklo Natrijev klorid 3% 3 mg/ml 4°C Zaščiteno pred svetlobo
7 Dan
1200
biološka analiza

Steklo Glucoza 10% 3 mg/ml 25°C Nedoločeno
7 Dan
1200
biološka analiza

Steklo Glucoza 10% 3 mg/ml 4°C Zaščiteno pred svetlobo
7 Dan
1200
biološka analiza

Polivinil klorid Natrijev klorid 0,9% 3 mg/ml 24°C Svetloba
24 čas
421
Joker

Polivinil klorid Glukoza 5% 3 mg/ml 24°C Svetloba
24 čas
421
Joker

Brizgalka polipropilen Nobeden 10 mg/ml 25°C Zaščiteno pred svetlobo
9 Dan
1929
 Stopnja dokaza B

Brizgalka polipropilen Nobeden 10 & 100 mg/ml 7°C Zaščiteno pred svetlobo
90 Dan
1929
 Stopnja dokaza B

Brizgalka polipropilen Nobeden 100 mg/ml 25°C Zaščiteno pred svetlobo
30 Dan
1929
 Stopnja dokaza B


  Mentions Légales