Последно актуализиране :
18/03/2026
Антибиотик   Netilmicin sulfate  
Инжекция/Инжекционен
Аерозол
Стабилност на разтвори Стабилност на смеси Фактори, повлияващи стабилността Съвместимост Път на въвеждане Библиография Pdf
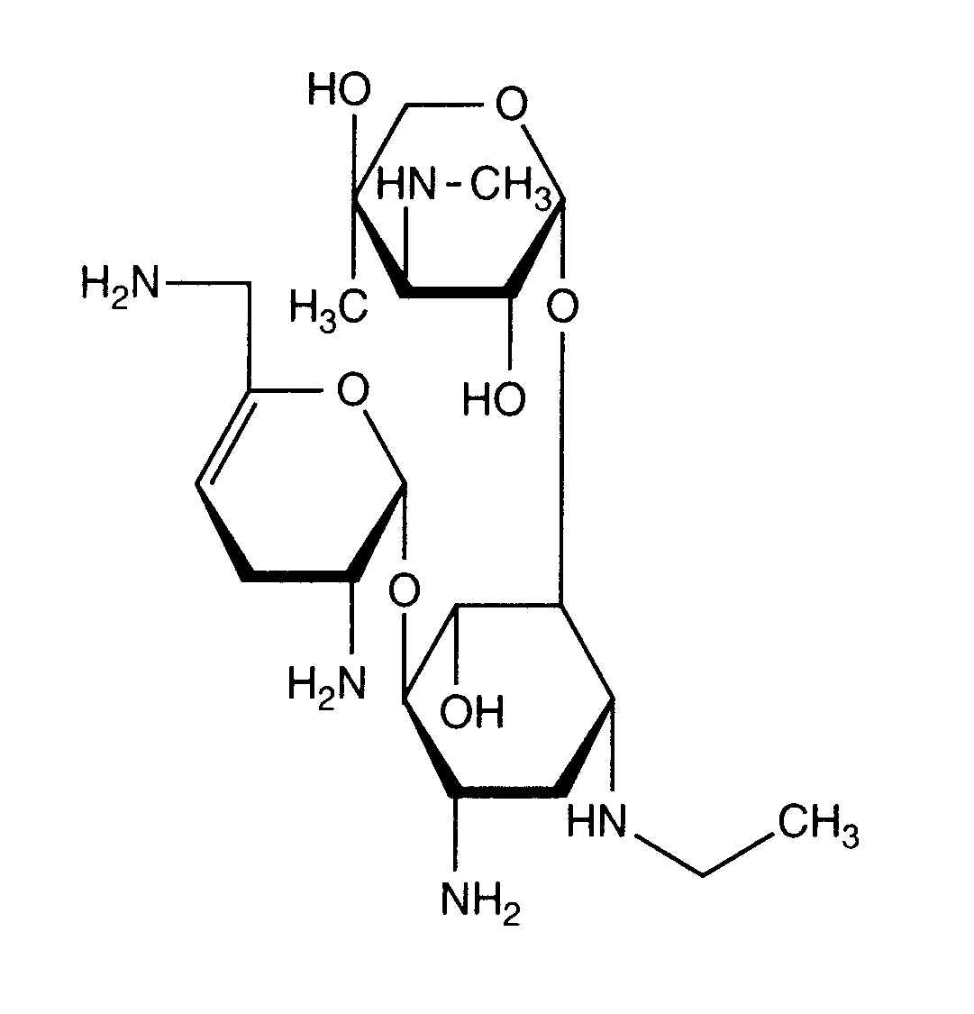
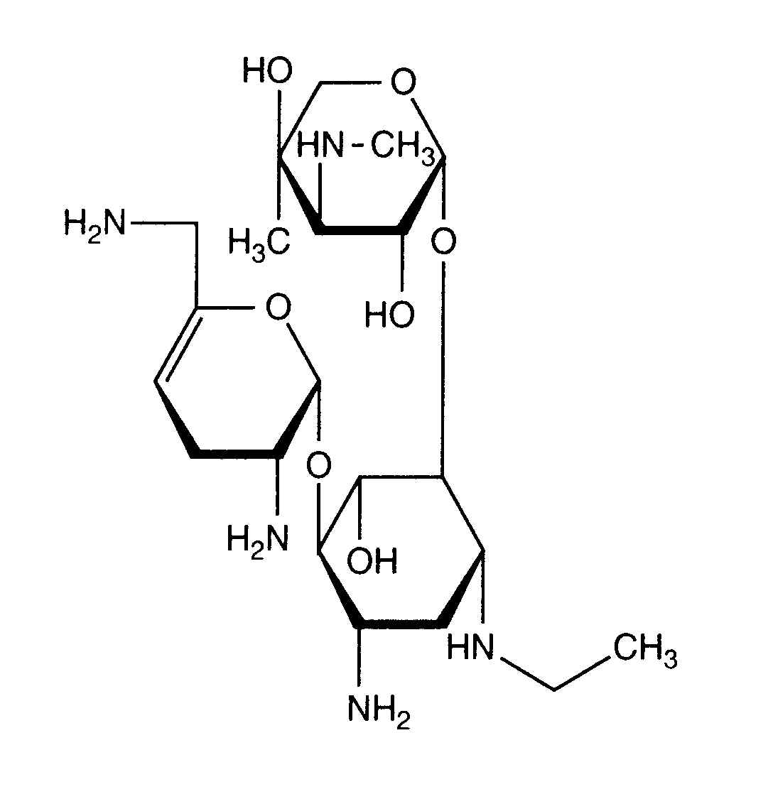
   Химична структура  

Търговско наименование   Търговско наименование     

Търговските имена са примерни и съставът на помощните вещества може да бъде различен в зависимост от държавата и лабораториите

Bactob Индия
Beltob Индия
Bramicil Италия
Brulamycin Унгария
Eltol Индия
Fytobra Индия
Gernebcin Германия
Komitub Индия
Nebcin Австралия, Великобритания, Гърция, Египет, нова Зеландия, Обединени арабски емирства, Саудитска Арабия
Nebcina Дания, Мароко, Норвегия, Швеция
Nebcine Мароко
Nebicina Италия
Netilyn Финландия, Швеция
Netromicina Португалия
Netromicine Франция
Netromycine Гърция, Полша, Русия, Турция
Nettacin Италия
Obracin Белгия, Люксенбург, Холандия, Швейцария
Tobra Германия
Tobra Alex Египет
Tobra Day нова Зеландия
Tobra Gobens Испания
Tobracin Египет
Tobradistin Испания
Tobramicina Венецуела, Испания, Италия, Португалия
Tobramina Бразилия
Tobramycin Австралия, Великобритания, Германия, Ирландия, Канада, Норвегия, Саудитска Арабия, Съединени Американски щати / САЩ
Tobramycine Ирландия, Франция, Холандия
Tobrasix Австрия
Tobrazid Германия
Tomycin Финландия
Zetamicin Италия
Стабилност на разтвори   Инжекция/Инжекционен   Стабилност на разтвори : Netilmicin sulfate     
Контейнер Разтворител Концентрация Температура Съхранение Продължителност на стабилността Библиография
Стъкло Вода за инжекции 3 mg/ml 25°C Не е уточнено
7 Ден
1200
Биологичен анализ

Стъкло Вода за инжекции 3 mg/ml 4°C Защита от светлина
7 Ден
1200
Биологичен анализ

Стъкло Sodium chloride 0,9% 3 mg/ml 24°C Светлина
24 Час
421
Жокер

Стъкло Sodium chloride 0,9% 3 mg/ml 25°C Не е уточнено
7 Ден
1200
Биологичен анализ

Стъкло Sodium chloride 0,9% 3 mg/ml 4°C Защита от светлина
7 Ден
1200
Биологичен анализ

Стъкло Glucose 5% 3 mg/ml 24°C Светлина
24 Час
421
Жокер

Стъкло Glucose 5% 3 mg/ml 25°C Не е уточнено
7 Ден
1200
Биологичен анализ

Стъкло Glucose 5% 3 mg/ml 4°C Защита от светлина
7 Ден
1200
Биологичен анализ

Стъкло Ринтер лактат 3 mg/ml 25°C Не е уточнено
7 Ден
1200
Биологичен анализ

Стъкло Ринтер лактат 3 mg/ml 4°C Защита от светлина
7 Ден
1200
Биологичен анализ

Стъкло Sodium chloride 3% 3 mg/ml 25°C Не е уточнено
7 Ден
1200
Биологичен анализ

Стъкло Sodium chloride 3% 3 mg/ml 4°C Защита от светлина
7 Ден
1200
Биологичен анализ

Стъкло Glucose 10% 3 mg/ml 25°C Не е уточнено
7 Ден
1200
Биологичен анализ

Стъкло Glucose 10% 3 mg/ml 4°C Защита от светлина
7 Ден
1200
Биологичен анализ

Поливинил хлорид Sodium chloride 0,9% 3 mg/ml 24°C Светлина
24 Час
421
Жокер

Поливинил хлорид Glucose 5% 3 mg/ml 24°C Светлина
24 Час
421
Жокер

шприц полипропилен Няма 10 mg/ml 25°C Защита от светлина
9 Ден
1929
Степен на доказаност B

шприц полипропилен Няма 10 & 100 mg/ml 7°C Защита от светлина
90 Ден
1929
Степен на доказаност B

шприц полипропилен Няма 100 mg/ml 25°C Защита от светлина
30 Ден
1929
Степен на доказаност B


  Mentions Légales