Zadnji put ažurirano :
18/03/2026
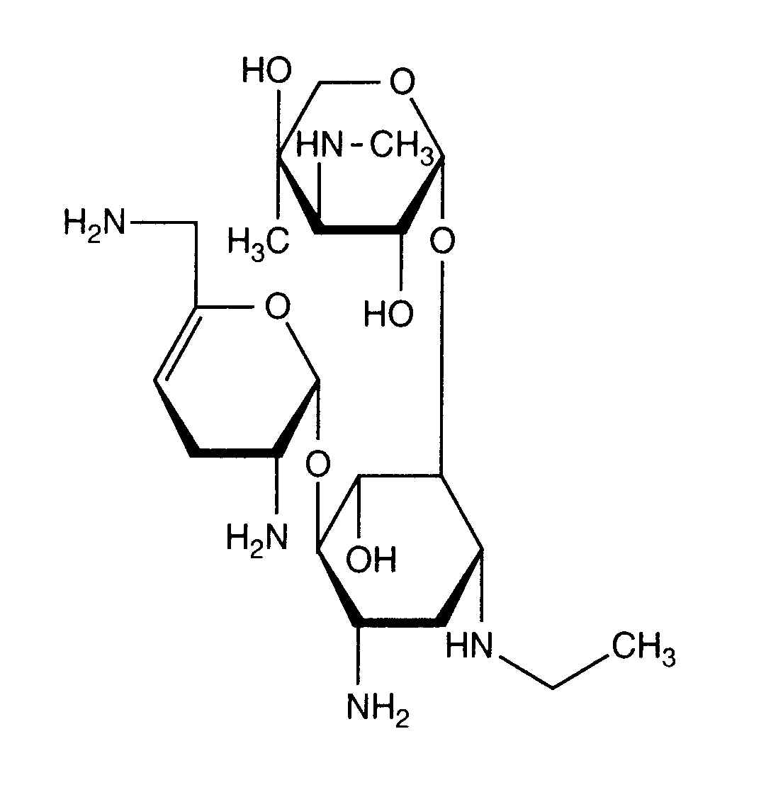
antibiotik   Netilmicin sulfate  
injekcija
aerosol
Stabilizacija rješenja Stabilnost mješavine Stabilizacijski faktor Kompatibilnosti način davanja lijeka Bibliografija pdf
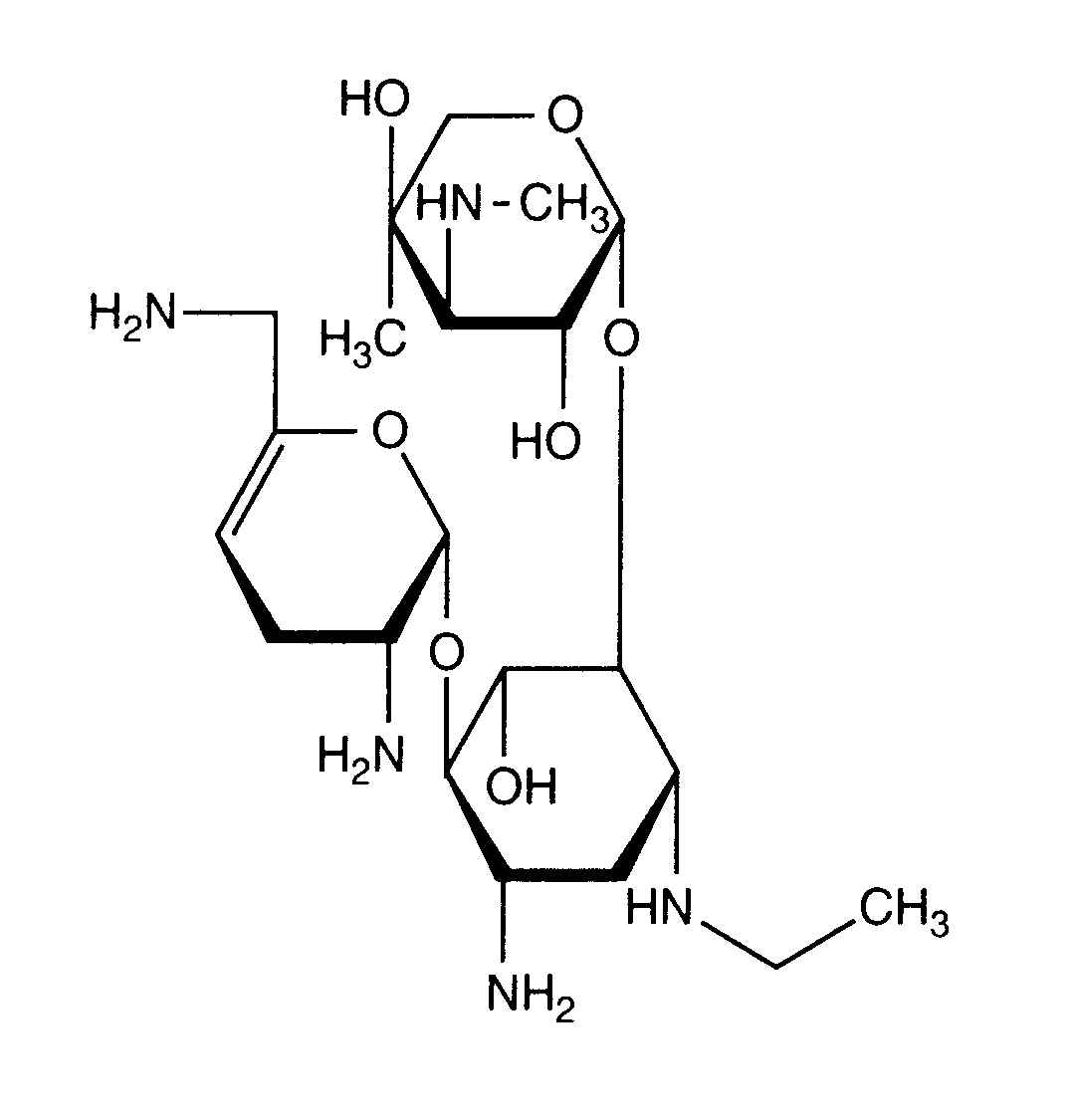
   Kemijska struktura  

Nekomercijalni   Nekomercijalni     

Zaštićeni nazivi su indikativni i sastav ekscipijensa može biti različit ovisno o državi i laboratorijima

Bactob Indija
Beltob Indija
Bramicil Italija
Brulamycin Madžarska
Eltol Indija
Fytobra Indija
Gernebcin Njemačka
Komitub Indija
Nebcin Australija, Egipat, Grčka, novi Zeland, Saudijska Arabija, Ujedinjeni Arapski Emirati, Velika Britanija
Nebcina Danska, Maroko, Norveška, Švedska
Nebcine Maroko
Nebicina Italija
Netilyn Finska, Švedska
Netromicina Portugal
Netromicine Francuska
Netromycine Grčka, Poljska, ruski, Turska
Nettacin Italija
Obracin Belgija, Luksemburg, Nizozemska, Švicarska
Tobra Njemačka
Tobra Alex Egipat
Tobra Day novi Zeland
Tobra Gobens Španjolska
Tobracin Egipat
Tobradistin Španjolska
Tobramicina Italija, Portugal, Španjolska, Venecuela
Tobramina Brazil
Tobramycin Australija, Irska, Kanada, Njemačka, Norveška, S A D, Saudijska Arabija, Velika Britanija
Tobramycine Francuska, Irska, Nizozemska
Tobrasix Austrija
Tobrazid Njemačka
Tomycin Finska
Zetamicin Italija
Stabilizacija rješenja   injekcija   Stabilizacija rješenja : Netilmicin sulfate     
Kontejner sredstvo za rastapanje koncentracija temperatura Konzerviranje Trajanje stabilnosti Bibliografija
čaša čista voda za injektiranje 3 mg/ml 25°C nespecifičan
7 dan
1200
Biološka metoda

čaša čista voda za injektiranje 3 mg/ml 4°C Zaštićeno od svjetlosti
7 dan
1200
Biološka metoda

čaša natrijumkorid 0,9% 3 mg/ml 24°C svjetlost
24 sat
421
OZNAKA

čaša natrijumkorid 0,9% 3 mg/ml 25°C nespecifičan
7 dan
1200
Biološka metoda

čaša natrijumkorid 0,9% 3 mg/ml 4°C Zaštićeno od svjetlosti
7 dan
1200
Biološka metoda

čaša glukoza 5% 3 mg/ml 24°C svjetlost
24 sat
421
OZNAKA

čaša glukoza 5% 3 mg/ml 25°C nespecifičan
7 dan
1200
Biološka metoda

čaša glukoza 5% 3 mg/ml 4°C Zaštićeno od svjetlosti
7 dan
1200
Biološka metoda

čaša Ringer laktat 3 mg/ml 25°C nespecifičan
7 dan
1200
Biološka metoda

čaša Ringer laktat 3 mg/ml 4°C Zaštićeno od svjetlosti
7 dan
1200
Biološka metoda

čaša natrijumklorid 3% 3 mg/ml 25°C nespecifičan
7 dan
1200
Biološka metoda

čaša natrijumklorid 3% 3 mg/ml 4°C Zaštićeno od svjetlosti
7 dan
1200
Biološka metoda

čaša glukoza 10% 3 mg/ml 25°C nespecifičan
7 dan
1200
Biološka metoda

čaša glukoza 10% 3 mg/ml 4°C Zaštićeno od svjetlosti
7 dan
1200
Biološka metoda

polivinilklorid natrijumkorid 0,9% 3 mg/ml 24°C svjetlost
24 sat
421
OZNAKA

polivinilklorid glukoza 5% 3 mg/ml 24°C svjetlost
24 sat
421
OZNAKA

špric polipropilen nijedan 10 mg/ml 25°C Zaštićeno od svjetlosti
9 dan
1929
Razina dokaza B

špric polipropilen nijedan 10 & 100 mg/ml 7°C Zaštićeno od svjetlosti
90 dan
1929
Razina dokaza B

špric polipropilen nijedan 100 mg/ml 25°C Zaštićeno od svjetlosti
30 dan
1929
Razina dokaza B


  Mentions Légales