Ultimele actualizari :
18/03/2026
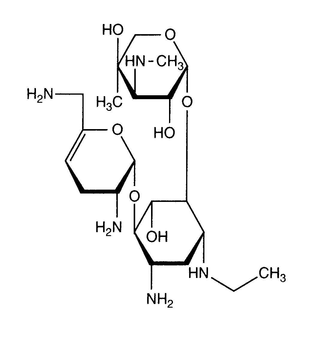
Antibiotic   Netilmicin sulfate  
Injectabil
Aerosol
Stabilitatea in solutie Stabilitatea in amestec Factorii care influenteaza stabilitatea Compatibilitate Microunde Bibliografie pdf
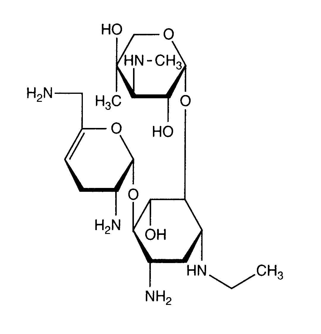
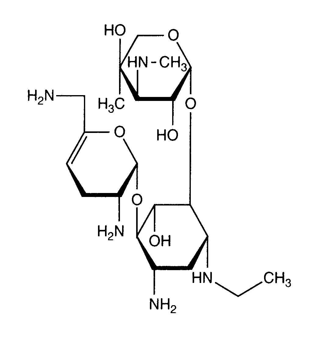
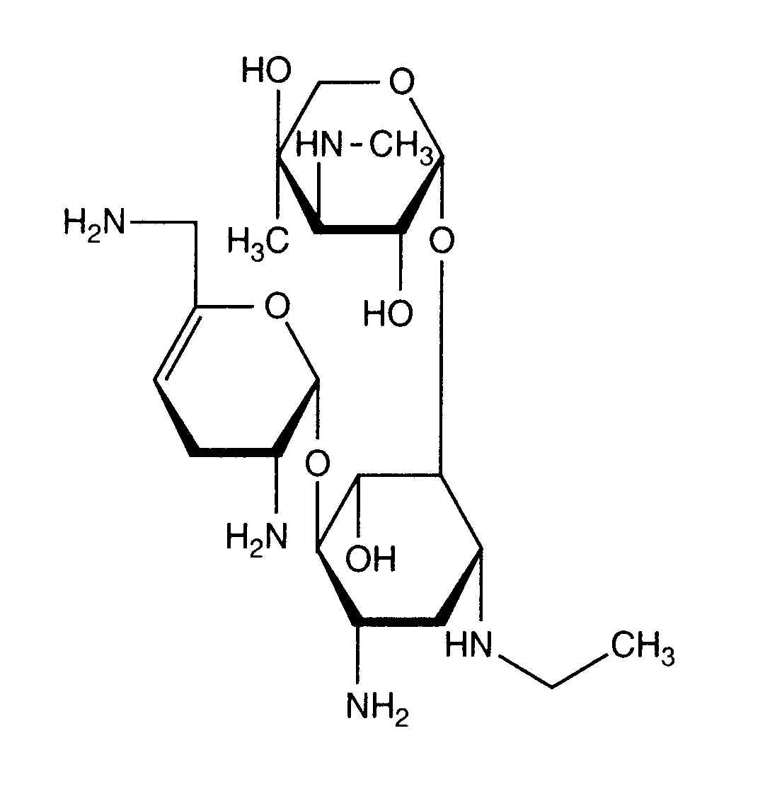
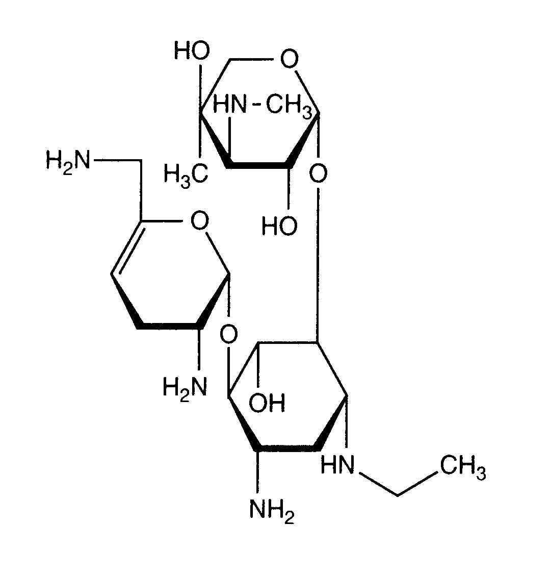
   Formula chimica  

Denumirea comerciala   Denumirea comerciala     

Trade names are indicative and excipients composition can be different depending on the country and manufacturers

Bactob India
Beltob India
Bramicil Italia
Brulamycin Ungaria
Eltol India
Fytobra India
Gernebcin Germania
Komitub India
Nebcin Arabia Saudita, Australia, Egipt, Emiratele Arabe Unite, Grecia, Marea Britanie, noua Zeelandă
Nebcina Danemarca, Maroc, Norvegia, Suedia
Nebcine Maroc
Nebicina Italia
Netilyn Finlanda, Suedia
Netromicina Portugalia
Netromicine Franta
Netromycine Grecia, Polonia, rusa, Turcia
Nettacin Italia
Obracin Belgia, Elvetia, Luxemburg, Olanda
Tobra Germania
Tobra Alex Egipt
Tobra Day noua Zeelandă
Tobra Gobens Spania
Tobracin Egipt
Tobradistin Spania
Tobramicina Italia, Portugalia, Spania, Venezuela
Tobramina Brazilia
Tobramycin Arabia Saudita, Australia, Canada, Germania, Irlanda, Marea Britanie, Norvegia, SUA
Tobramycine Franta, Irlanda, Olanda
Tobrasix Austria
Tobrazid Germania
Tomycin Finlanda
Zetamicin Italia
Stabilitatea in solutie   Injectabil   Stabilitatea in solutie : Netilmicin sulfate     
Continut Solvent Concentratie Temperatura Conservare Durata stabilității Bibiografie
sticla apa pentru preparate injectabile 3 mg/ml 25°C Neprecizat
7 Ziua
1200
Analiza biologică

sticla apa pentru preparate injectabile 3 mg/ml 4°C Ferit de lumina
7 Ziua
1200
Analiza biologică

sticla clorura de sodiu 0,9% 3 mg/ml 24°C Lumina
24 Ora
421
Joker

sticla clorura de sodiu 0,9% 3 mg/ml 25°C Neprecizat
7 Ziua
1200
Analiza biologică

sticla clorura de sodiu 0,9% 3 mg/ml 4°C Ferit de lumina
7 Ziua
1200
Analiza biologică

sticla Glucoza 5% 3 mg/ml 24°C Lumina
24 Ora
421
Joker

sticla Glucoza 5% 3 mg/ml 25°C Neprecizat
7 Ziua
1200
Analiza biologică

sticla Glucoza 5% 3 mg/ml 4°C Ferit de lumina
7 Ziua
1200
Analiza biologică

sticla Solutie Ringer lactat 3 mg/ml 25°C Neprecizat
7 Ziua
1200
Analiza biologică

sticla Solutie Ringer lactat 3 mg/ml 4°C Ferit de lumina
7 Ziua
1200
Analiza biologică

sticla clorura de sodiu 3% 3 mg/ml 25°C Neprecizat
7 Ziua
1200
Analiza biologică

sticla clorura de sodiu 3% 3 mg/ml 4°C Ferit de lumina
7 Ziua
1200
Analiza biologică

sticla Glucoza 10% 3 mg/ml 25°C Neprecizat
7 Ziua
1200
Analiza biologică

sticla Glucoza 10% 3 mg/ml 4°C Ferit de lumina
7 Ziua
1200
Analiza biologică

clorura de polivinil clorura de sodiu 0,9% 3 mg/ml 24°C Lumina
24 Ora
421
Joker

clorura de polivinil Glucoza 5% 3 mg/ml 24°C Lumina
24 Ora
421
Joker

seringă polipropileno fara 10 mg/ml 25°C Ferit de lumina
9 Ziua
1929
Nivel de evidență B

seringă polipropileno fara 10 & 100 mg/ml 7°C Ferit de lumina
90 Ziua
1929
Nivel de evidență B

seringă polipropileno fara 100 mg/ml 25°C Ferit de lumina
30 Ziua
1929
Nivel de evidență B


  Mentions Légales