Τελευταία ενημέρωση :
18/03/2026
Αντιβιοτικό   Netilmicin sulfate  
Ενέσιμο
Αεροζόλ
Σταθερότητα διαλυμάτων Σταθερότητα σε μίγματα Παράγοντας που επηρεάζει τη σταθερότητα Συμβατότητες Τρόπος χορήγησης Βιβλιογραφία pdf
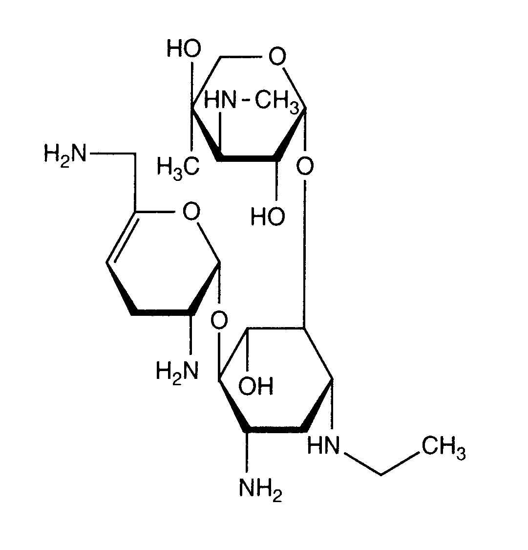
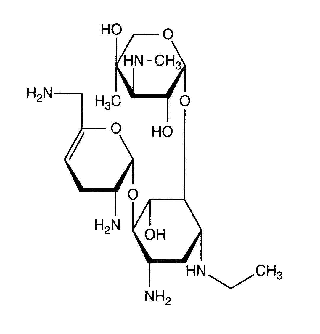
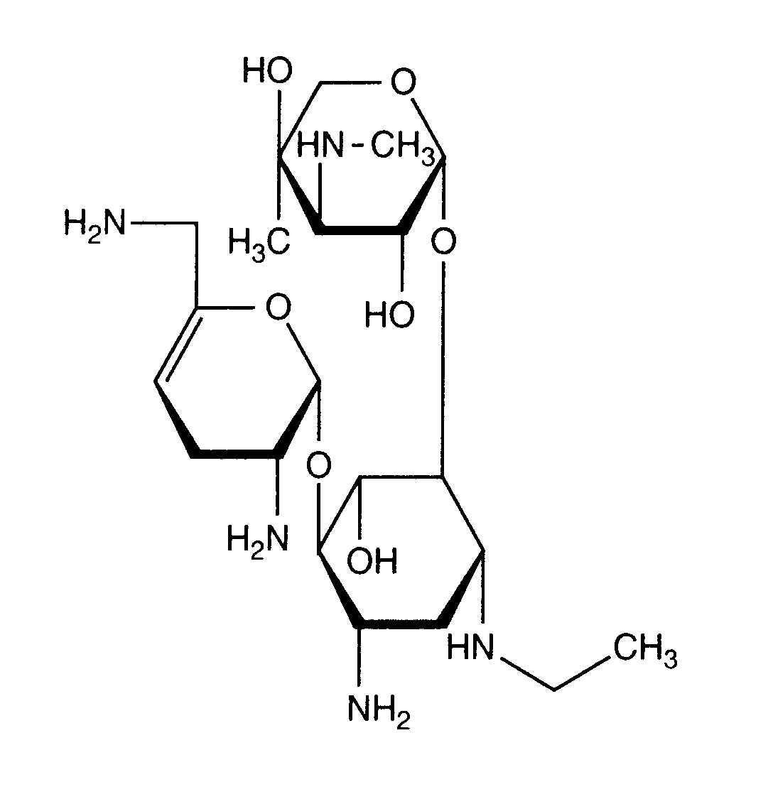
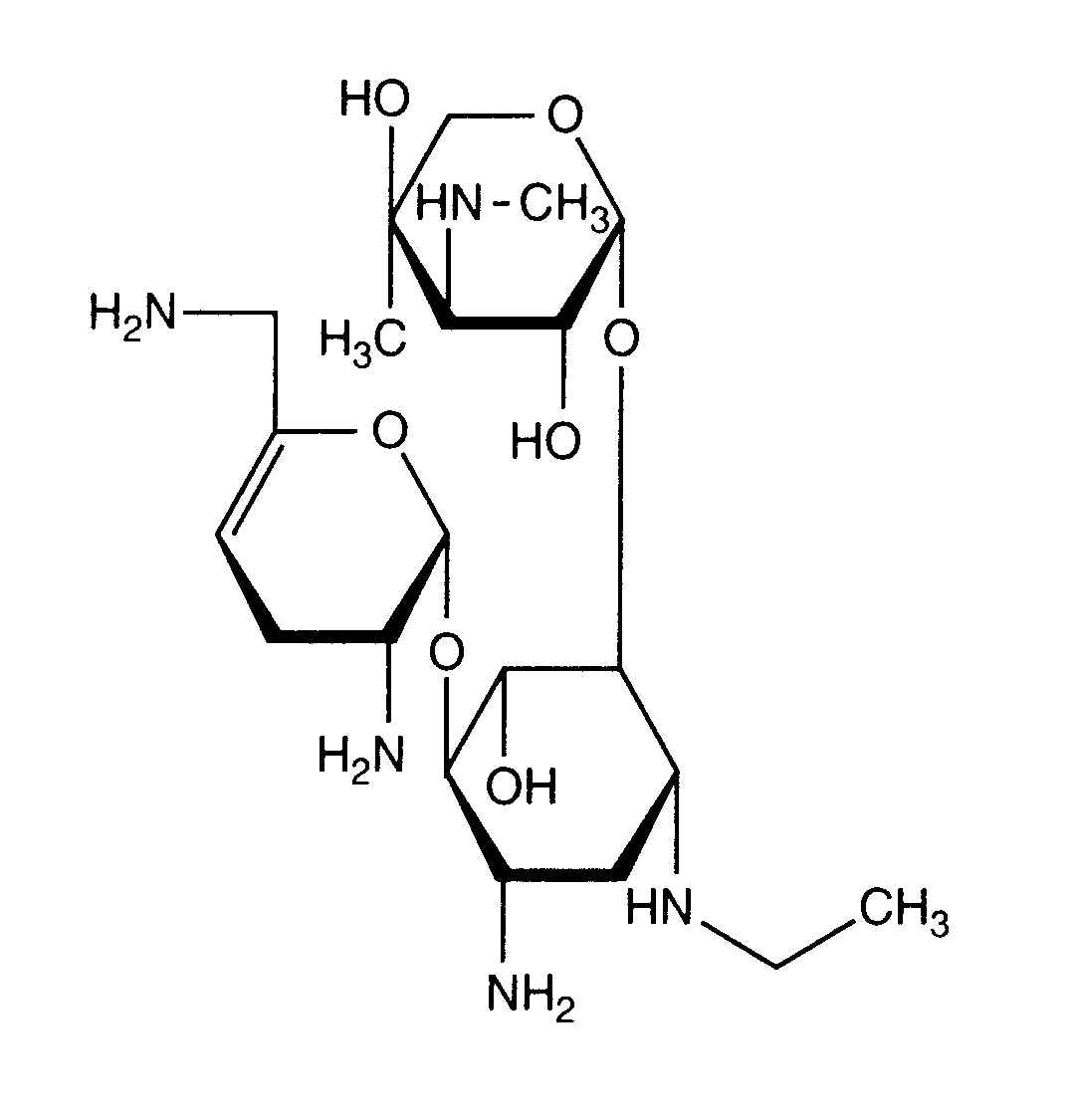
   χημική δομή  

Εμπορική ονομασία   Εμπορική ονομασία     

Οι εμπορικές ονομασίες είναι ενδεικτικές και η σύνθεση των εκδόχων μπορεί να διαφέρει ανάλογα με τη χώρα και τα εργαστήρια

Bactob Ινδία
Beltob Ινδία
Bramicil Ιταλία
Brulamycin Ουγγαρία
Eltol Ινδία
Fytobra Ινδία
Gernebcin Γερμανία
Komitub Ινδία
Nebcin Yhdistyneet arabiemiirikunnat, Αίγυπτος, Αυστραλία, Ελλάδα, Μεγάλη Βρετανία, νέα Ζηλανδία, Σαουδική Αραβία
Nebcina Δανία, Μαρόκο, Νορβηγία, Σουηδία
Nebcine Μαρόκο
Nebicina Ιταλία
Netilyn Σουηδία, Φινλανδία
Netromicina Πορτογαλία
Netromicine Γαλλία
Netromycine Ελλάδα, Πολωνία, Ρωσικά, Τουρκία
Nettacin Ιταλία
Obracin Βέλγιο, Ελβετία, Λουξεμβούργο, Ολλανδία
Tobra Γερμανία
Tobra Alex Αίγυπτος
Tobra Day νέα Ζηλανδία
Tobra Gobens Ισπανία
Tobracin Αίγυπτος
Tobradistin Ισπανία
Tobramicina Βενεζουέλα, Ισπανία, Ιταλία, Πορτογαλία
Tobramina Βραζιλία
Tobramycin Αυστραλία, Γερμανία, Η.Π.Α., Ιρλανδία, Καναδάς, Μεγάλη Βρετανία, Νορβηγία, Σαουδική Αραβία
Tobramycine Γαλλία, Ιρλανδία, Ολλανδία
Tobrasix Αυστρία
Tobrazid Γερμανία
Tomycin Φινλανδία
Zetamicin Ιταλία
Σταθερότητα διαλυμάτων   Ενέσιμο   Σταθερότητα διαλυμάτων : Netilmicin sulfate     
Υποδοχέας Διαλυτικό Συγκέντρωση Θερμοκρασία Αποθήκευση Διάρκεια σταθερότητας Βιβλιογραφία
Ύαλος Ενέσιμο ύδωρ 3 mg/ml 25°C Απροσδιόριστο
7 Ημέρα
1200
Βιολογική ανάλυση

Ύαλος Ενέσιμο ύδωρ 3 mg/ml 4°C Προστατεύετε από το φως
7 Ημέρα
1200
Βιολογική ανάλυση

Ύαλος Χλωριούχο νάτριο 0,9% 3 mg/ml 24°C Φως
24 Ώρα
421
Τζόκερ

Ύαλος Χλωριούχο νάτριο 0,9% 3 mg/ml 25°C Απροσδιόριστο
7 Ημέρα
1200
Βιολογική ανάλυση

Ύαλος Χλωριούχο νάτριο 0,9% 3 mg/ml 4°C Προστατεύετε από το φως
7 Ημέρα
1200
Βιολογική ανάλυση

Ύαλος Γλυκόζη 5% 3 mg/ml 24°C Φως
24 Ώρα
421
Τζόκερ

Ύαλος Γλυκόζη 5% 3 mg/ml 25°C Απροσδιόριστο
7 Ημέρα
1200
Βιολογική ανάλυση

Ύαλος Γλυκόζη 5% 3 mg/ml 4°C Προστατεύετε από το φως
7 Ημέρα
1200
Βιολογική ανάλυση

Ύαλος Γαλακτικό διάλυμα Ringer 3 mg/ml 25°C Απροσδιόριστο
7 Ημέρα
1200
Βιολογική ανάλυση

Ύαλος Γαλακτικό διάλυμα Ringer 3 mg/ml 4°C Προστατεύετε από το φως
7 Ημέρα
1200
Βιολογική ανάλυση

Ύαλος Χλωριούχο νάτριο 3% 3 mg/ml 25°C Απροσδιόριστο
7 Ημέρα
1200
Βιολογική ανάλυση

Ύαλος Χλωριούχο νάτριο 3% 3 mg/ml 4°C Προστατεύετε από το φως
7 Ημέρα
1200
Βιολογική ανάλυση

Ύαλος Γλυκόζη 10% 3 mg/ml 25°C Απροσδιόριστο
7 Ημέρα
1200
Βιολογική ανάλυση

Ύαλος Γλυκόζη 10% 3 mg/ml 4°C Προστατεύετε από το φως
7 Ημέρα
1200
Βιολογική ανάλυση

Πολυβινυλοχλωρίδιο Χλωριούχο νάτριο 0,9% 3 mg/ml 24°C Φως
24 Ώρα
421
Τζόκερ

Πολυβινυλοχλωρίδιο Γλυκόζη 5% 3 mg/ml 24°C Φως
24 Ώρα
421
Τζόκερ

σύριγγα πολυπροπυλένιο Ουδέν 10 mg/ml 25°C Προστατεύετε από το φως
9 Ημέρα
1929
Επίπεδο των αποδεικτικών στοιχείων B

σύριγγα πολυπροπυλένιο Ουδέν 10 & 100 mg/ml 7°C Προστατεύετε από το φως
90 Ημέρα
1929
Επίπεδο των αποδεικτικών στοιχείων B

σύριγγα πολυπροπυλένιο Ουδέν 100 mg/ml 25°C Προστατεύετε από το φως
30 Ημέρα
1929
Επίπεδο των αποδεικτικών στοιχείων B


  Mentions Légales