Ultimo aggiornamento :
18/04/2026
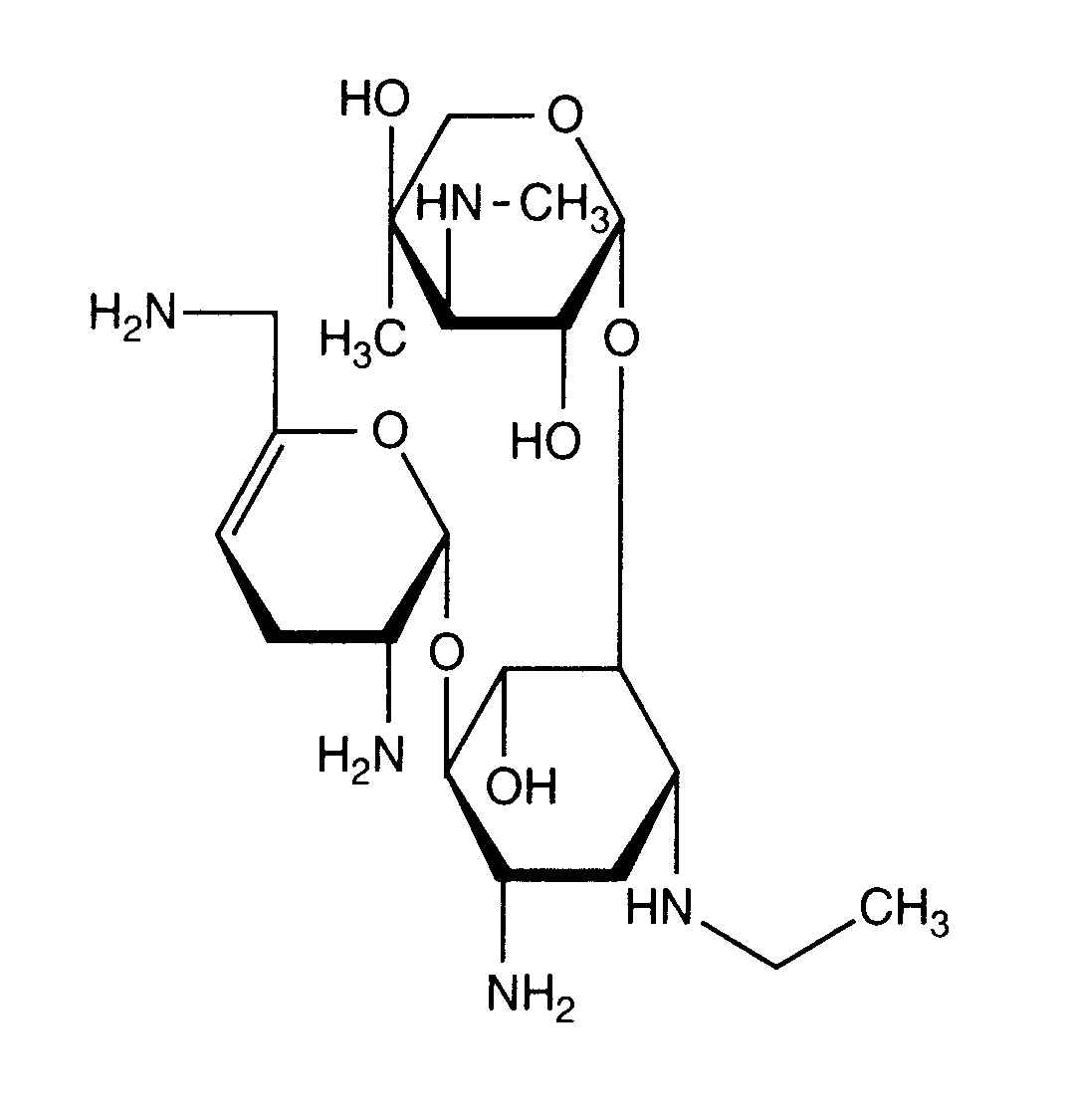
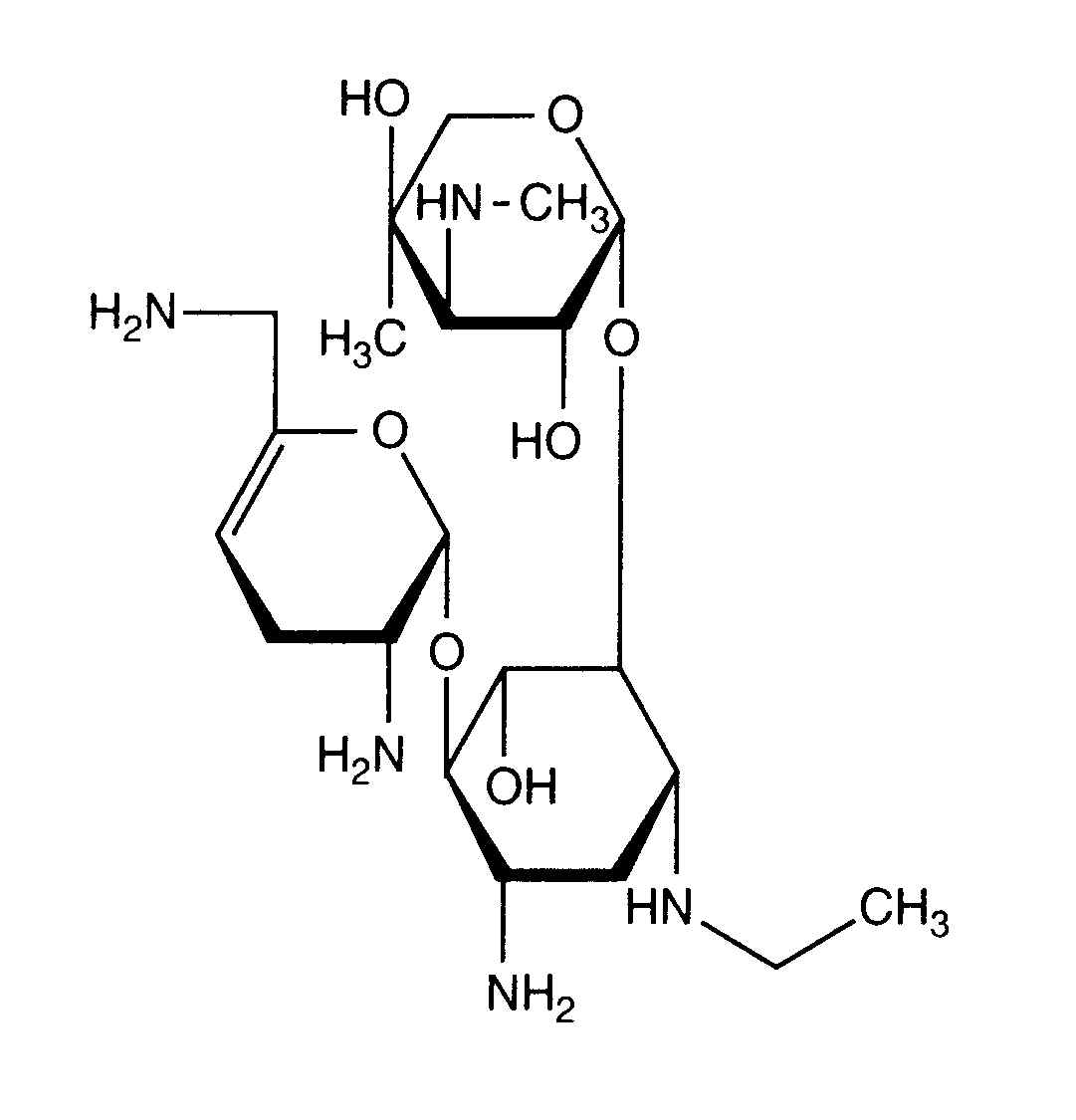
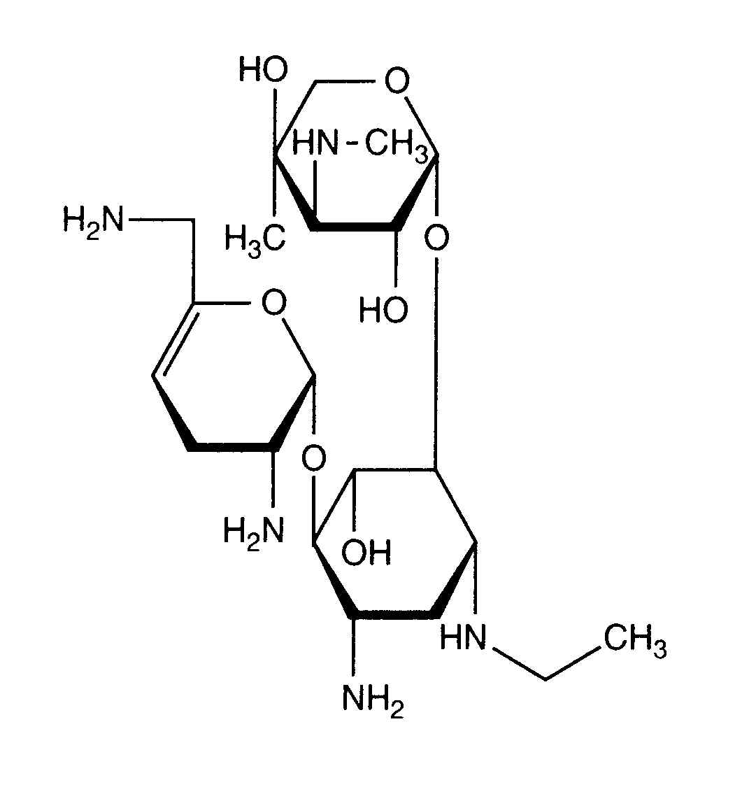
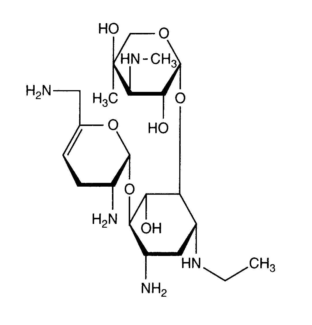
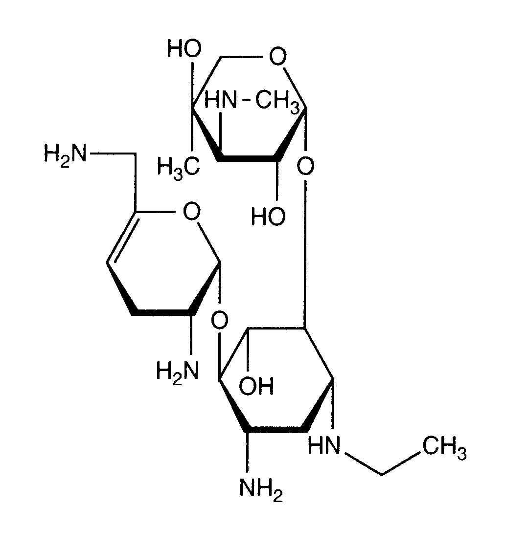
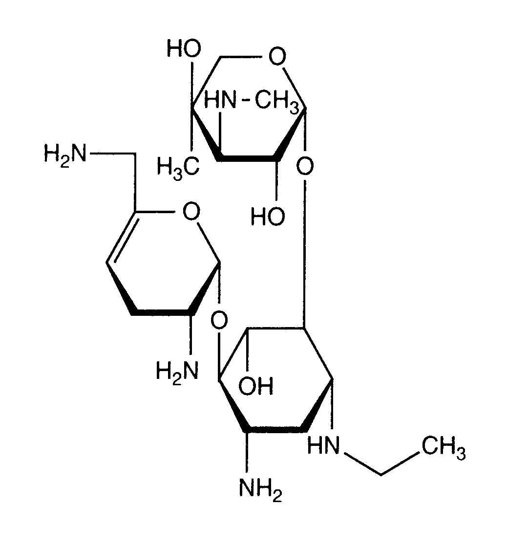
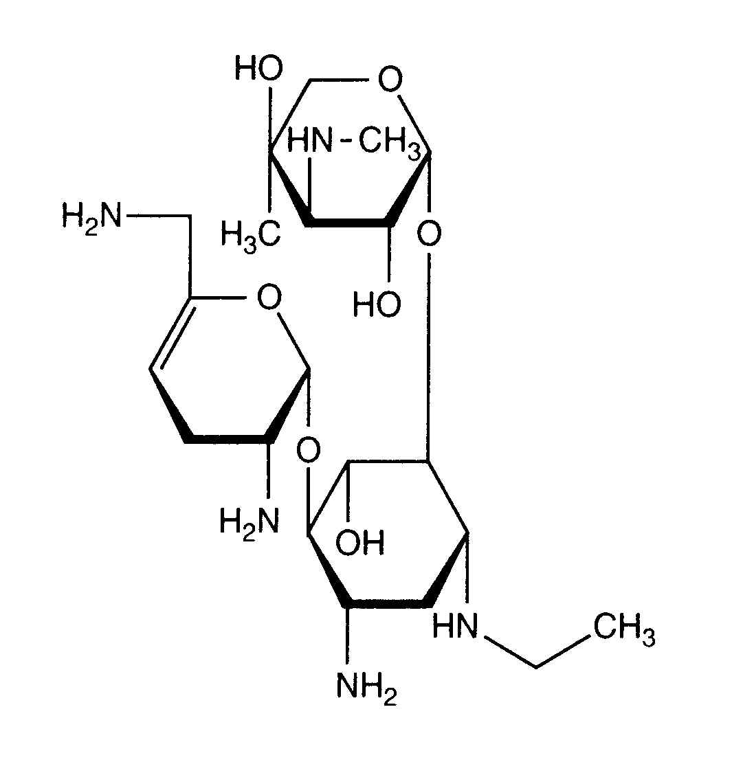
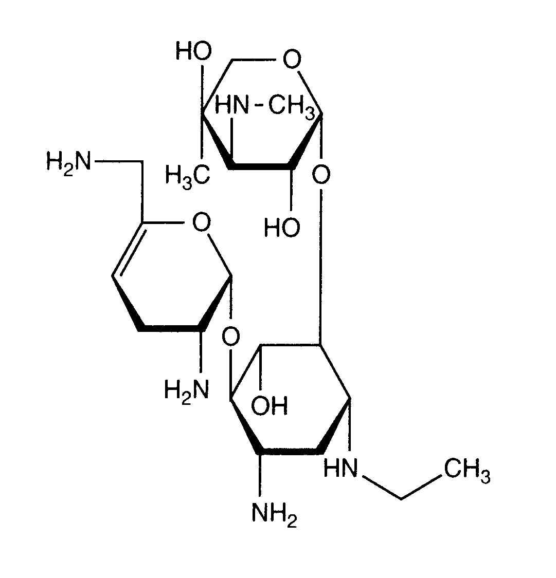
Antibiotico   Netilmicin sulfate  
Iniezione
Aerosol
Stabilità in soluzione Stabilità in miscela Fattori che influenzano la stabilità Compatibilità metodo di iniezione Bibliografia pdf
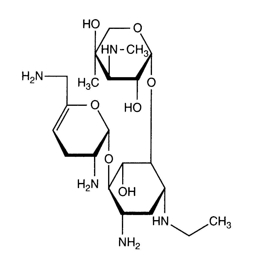
   Struttura chimica  

Nome commerciale   Nome commerciale     

Trade names are indicative and excipients composition can be different depending on the country and manufacturers

Bactob India
Beltob India
Bramicil Italia
Brulamycin Ungheria
Eltol India
Fytobra India
Gernebcin Germania
Komitub India
Nebcin Arabia Saudita, Australia, Egitto, Emirati Arabi Uniti, Gran Bretagna, Grecia, nuova Zelanda
Nebcina Danimarca, Marocco, Norvegia, Svezia
Nebcine Marocco
Nebicina Italia
Netilyn Finlandia, Svezia
Netromicina Portogallo
Netromicine Francia
Netromycine Grecia, Polonia, russo, Turchia
Nettacin Italia
Obracin Belgio, Lussemburgo, Paesi Bassi, Svizzera
Tobra Germania
Tobra Alex Egitto
Tobra Day nuova Zelanda
Tobra Gobens Spagna
Tobracin Egitto
Tobradistin Spagna
Tobramicina Italia, Portogallo, Spagna, Venezuela
Tobramina Brasile
Tobramycin Arabia Saudita, Australia, Canada, Germania, Gran Bretagna, Irlanda, Norvegia, Stati Uniti d’America
Tobramycine Francia, Irlanda, Paesi Bassi
Tobrasix Austria
Tobrazid Germania
Tomycin Finlandia
Zetamicin Italia
Stabilità in soluzione   Iniezione   Stabilità in soluzione : Netilmicin sulfate     
contenitore Solvente Concentrazione Temperatura Conservazione Durata della stabilità Bibliografia
Vetro Acqua per preparato iniettabile 3 mg/ml 25°C Non precisata
7 Giorno
1200
Analisi biologica

Vetro Acqua per preparato iniettabile 3 mg/ml 4°C Al riparo dalla luce
7 Giorno
1200
Analisi biologica

Vetro Cloruro di sodio 0,9% 3 mg/ml 24°C Luce
24 Ora
421
Joker

Vetro Cloruro di sodio 0,9% 3 mg/ml 25°C Non precisata
7 Giorno
1200
Analisi biologica

Vetro Cloruro di sodio 0,9% 3 mg/ml 4°C Al riparo dalla luce
7 Giorno
1200
Analisi biologica

Vetro Glucosio 5% 3 mg/ml 24°C Luce
24 Ora
421
Joker

Vetro Glucosio 5% 3 mg/ml 25°C Non precisata
7 Giorno
1200
Analisi biologica

Vetro Glucosio 5% 3 mg/ml 4°C Al riparo dalla luce
7 Giorno
1200
Analisi biologica

Vetro Ringer lattato 3 mg/ml 25°C Non precisata
7 Giorno
1200
Analisi biologica

Vetro Ringer lattato 3 mg/ml 4°C Al riparo dalla luce
7 Giorno
1200
Analisi biologica

Vetro Cloruro di sodio 3% 3 mg/ml 25°C Non precisata
7 Giorno
1200
Analisi biologica

Vetro Cloruro di sodio 3% 3 mg/ml 4°C Al riparo dalla luce
7 Giorno
1200
Analisi biologica

Vetro Glucosio 10% 3 mg/ml 25°C Non precisata
7 Giorno
1200
Analisi biologica

Vetro Glucosio 10% 3 mg/ml 4°C Al riparo dalla luce
7 Giorno
1200
Analisi biologica

Cloruro di polivinile Cloruro di sodio 0,9% 3 mg/ml 24°C Luce
24 Ora
421
Joker

Cloruro di polivinile Glucosio 5% 3 mg/ml 24°C Luce
24 Ora
421
Joker

siringa polipropilene Nessuno 10 mg/ml 25°C Al riparo dalla luce
9 Giorno
1929
Livello di evidenza B

siringa polipropilene Nessuno 10 & 100 mg/ml 7°C Al riparo dalla luce
90 Giorno
1929
Livello di evidenza B

siringa polipropilene Nessuno 100 mg/ml 25°C Al riparo dalla luce
30 Giorno
1929
Livello di evidenza B


  Mentions Légales