Laatste update :
18/03/2026
Antibioticum   Netilmicin sulfate  
injecteerbaar geneesmiddel
Aerosol
Stabiliteit in oplossing Stabiliteit in mengsels Factoren die de stabiliteit beïnvloeden Verenigbaarheden Toedieningswijze Literatuur pdf
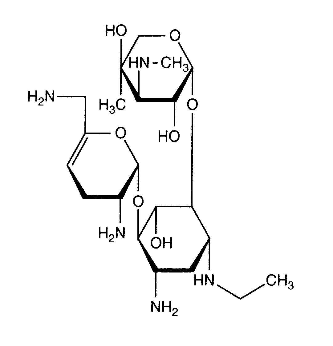
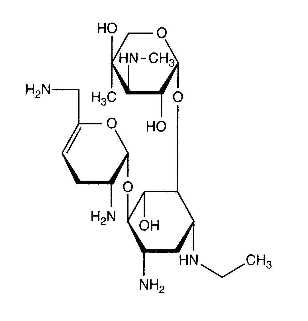
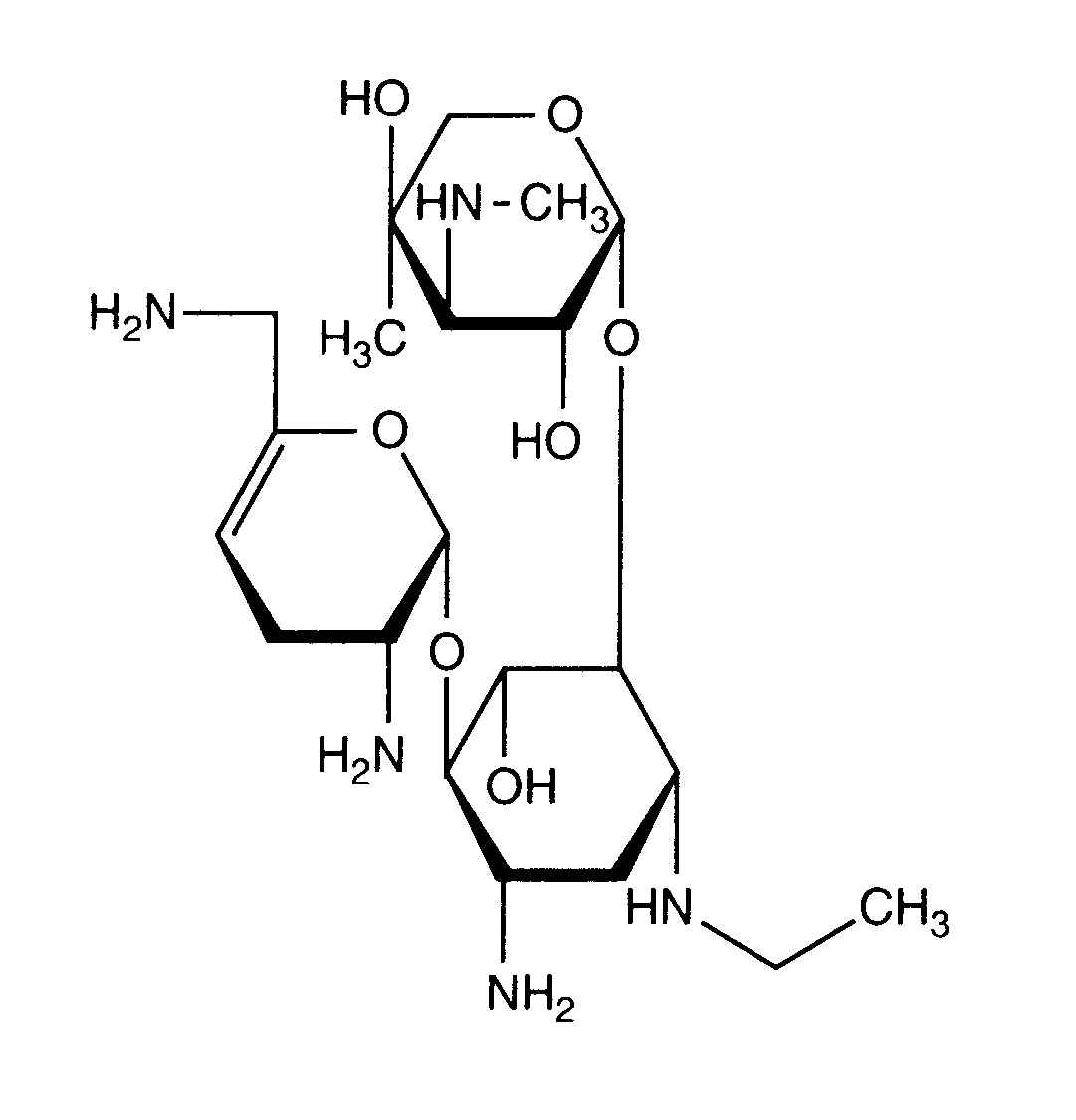
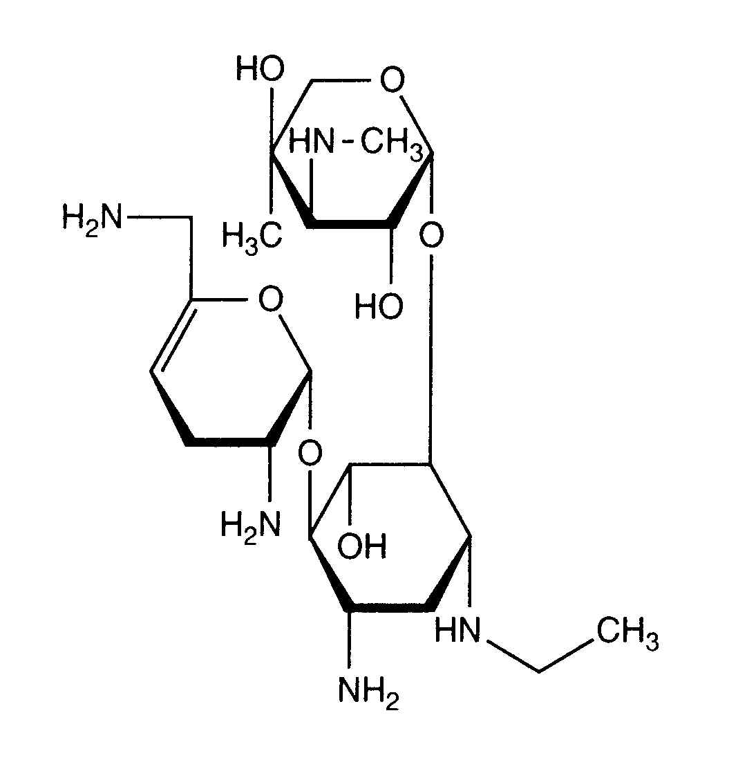
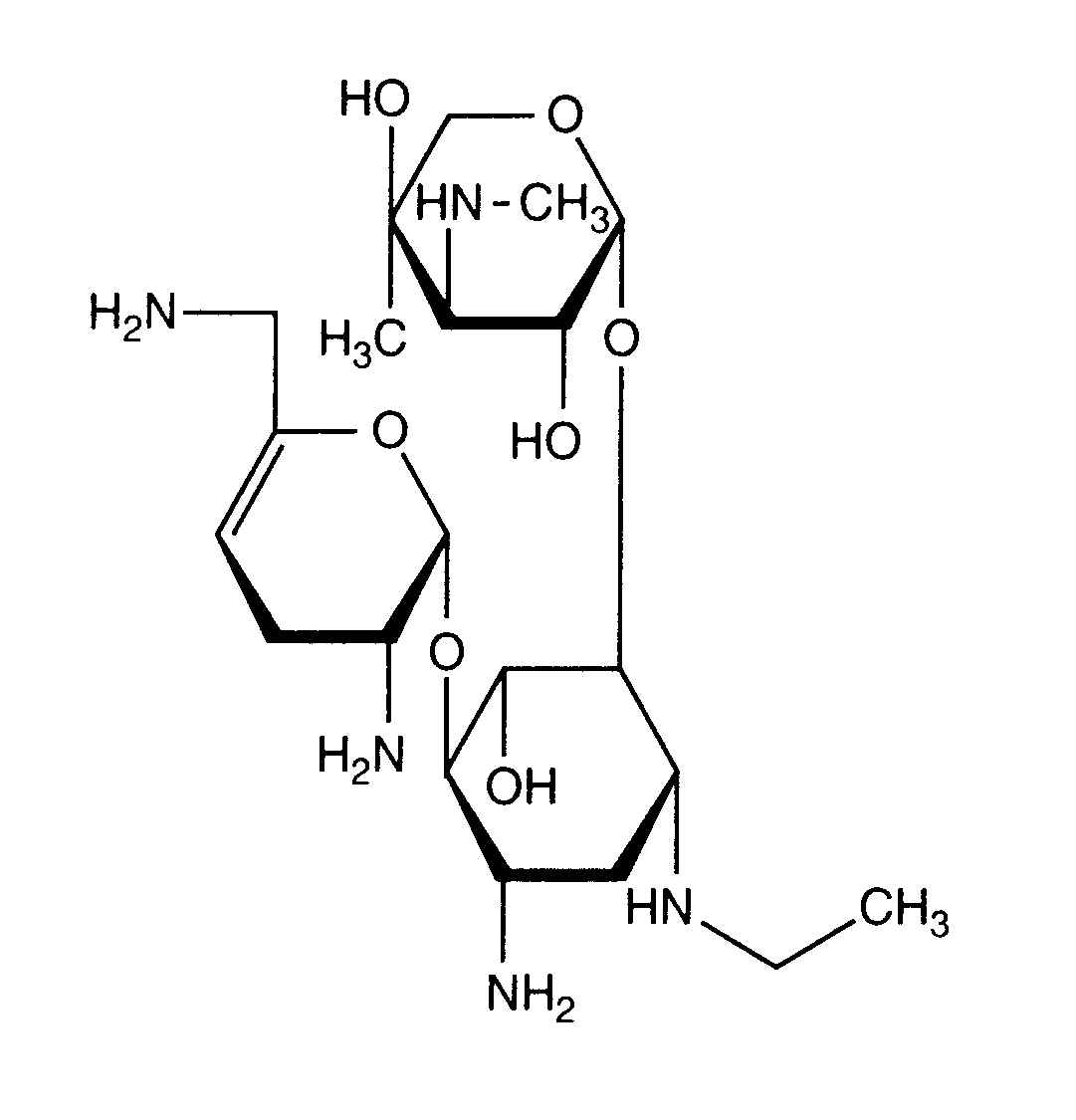
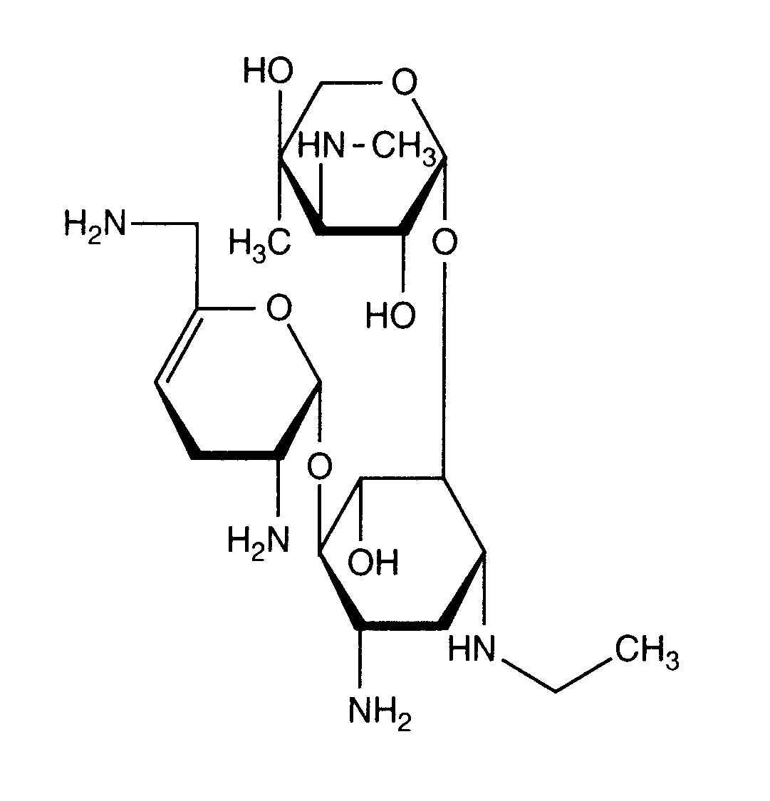
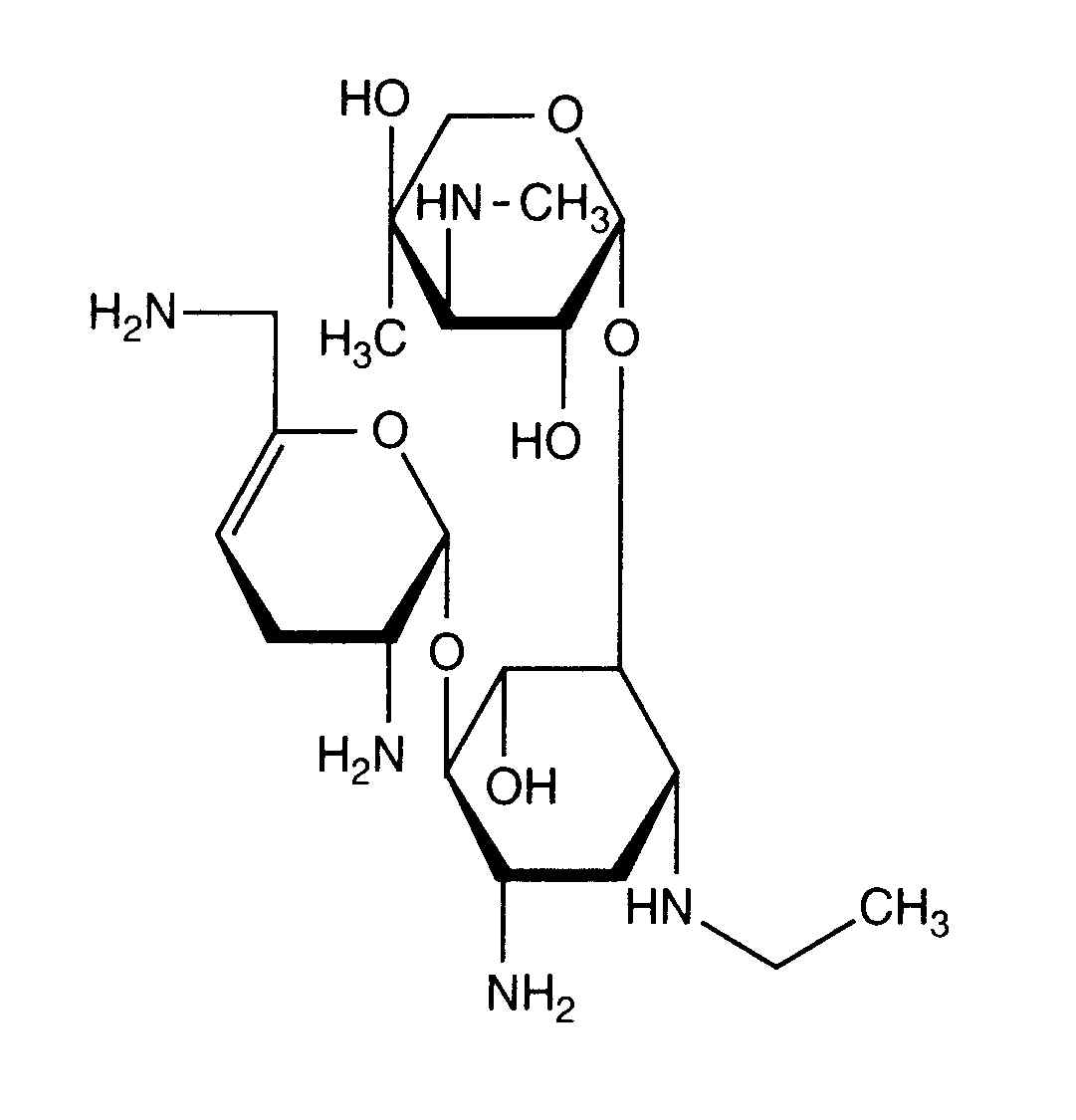
   Molecuulstructuur  

Merknamen in verschillende landen   Merknamen in verschillende landen     

Handelsnamen zijn slechts een indicatie; de samenstelling van hulpstoffen kan per land variëren afhankelijk van de fabrikant

Bactob Indië
Beltob Indië
Bramicil Italië
Brulamycin Hongarije
Eltol Indië
Fytobra Indië
Gernebcin Duitsland
Komitub Indië
Nebcin Australië, Egypte, Griekenland, Groot Britannië, nieuw Zeeland, Saudi-Arabië, Verenigde Arabische Emiraten
Nebcina Denemarken, Marokko, Noorwegen, Zweden
Nebcine Marokko
Nebicina Italië
Netilyn Finland, Zweden
Netromicina Portugal
Netromicine Frankrijk
Netromycine Griekenland, Polen, russisch, Turkije
Nettacin Italië
Obracin België, Luxemburg, Nederland, Zwitserland
Tobra Duitsland
Tobra Alex Egypte
Tobra Day nieuw Zeeland
Tobra Gobens Spanje
Tobracin Egypte
Tobradistin Spanje
Tobramicina Italië, Portugal, Spanje, Venezuela
Tobramina Brazilië
Tobramycin Australië, Canada, Duitsland, Groot Britannië, Ierland, Noorwegen, Saudi-Arabië, USA
Tobramycine Frankrijk, Ierland, Nederland
Tobrasix Oostenrijk
Tobrazid Duitsland
Tomycin Finland
Zetamicin Italië
Stabiliteit in oplossing   injecteerbaar geneesmiddel   Stabiliteit in oplossing : Netilmicin sulfate     
Verpakking Oplosmiddel Concentratie Temperatuur Bewaring Duur van de stabiliteit Literatuur
Glas Water voor injectie 3 mg/ml 25°C Niet gespecificeerd
7 Dag
1200
Biologische analyse

Glas Water voor injectie 3 mg/ml 4°C Buiten invloed van licht
7 Dag
1200
Biologische analyse

Glas Natriumchloride 0,9% 3 mg/ml 24°C Licht
24 Uur
421
Joker

Glas Natriumchloride 0,9% 3 mg/ml 25°C Niet gespecificeerd
7 Dag
1200
Biologische analyse

Glas Natriumchloride 0,9% 3 mg/ml 4°C Buiten invloed van licht
7 Dag
1200
Biologische analyse

Glas Glucose 5% 3 mg/ml 24°C Licht
24 Uur
421
Joker

Glas Glucose 5% 3 mg/ml 25°C Niet gespecificeerd
7 Dag
1200
Biologische analyse

Glas Glucose 5% 3 mg/ml 4°C Buiten invloed van licht
7 Dag
1200
Biologische analyse

Glas Ringer-lactaat 3 mg/ml 25°C Niet gespecificeerd
7 Dag
1200
Biologische analyse

Glas Ringer-lactaat 3 mg/ml 4°C Buiten invloed van licht
7 Dag
1200
Biologische analyse

Glas Natriumchloride 3% 3 mg/ml 25°C Niet gespecificeerd
7 Dag
1200
Biologische analyse

Glas Natriumchloride 3% 3 mg/ml 4°C Buiten invloed van licht
7 Dag
1200
Biologische analyse

Glas Glucose 10% 3 mg/ml 25°C Niet gespecificeerd
7 Dag
1200
Biologische analyse

Glas Glucose 10% 3 mg/ml 4°C Buiten invloed van licht
7 Dag
1200
Biologische analyse

Polyvinylchloride (PVC) Natriumchloride 0,9% 3 mg/ml 24°C Licht
24 Uur
421
Joker

Polyvinylchloride (PVC) Glucose 5% 3 mg/ml 24°C Licht
24 Uur
421
Joker

injectiespuit polypropyleen Geen 10 mg/ml 25°C Buiten invloed van licht
9 Dag
1929
Bewijsniveau B

injectiespuit polypropyleen Geen 10 & 100 mg/ml 7°C Buiten invloed van licht
90 Dag
1929
Bewijsniveau B

injectiespuit polypropyleen Geen 100 mg/ml 25°C Buiten invloed van licht
30 Dag
1929
Bewijsniveau B


  Mentions Légales