Last update :
18/03/2026
Antibiotic   Netilmicin sulfate  
injection
aerosol
Stability in solutions Stability of mixtures Factors which affect stability Compatibility Route of administration References pdf
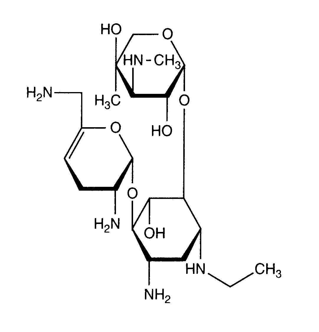
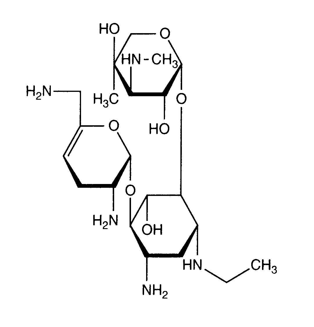
   Chemical structure  

Tradename   Tradename     

Trade names are indicative and excipients composition can be different depending on the country and manufacturers

Bactob India
Beltob India
Bramicil Italy
Brulamycin Hungary
Eltol India
Fytobra India
Gernebcin Germany
Komitub India
Nebcin Australia, Egypt, Great Britain, Greece, New Zealand, Saudi Arabia, United Arab Emirates
Nebcina Denmark, Morocco, Norway, Sweden
Nebcine Morocco
Nebicina Italy
Netilyn Finland, Sweden
Netromicina Portugal
Netromicine France
Netromycine Greece, Poland, russian, Turkey
Nettacin Italy
Obracin Belgium, Luxembourg, Netherlands, Switzerland
Tobra Germany
Tobra Alex Egypt
Tobra Day New Zealand
Tobra Gobens Spain
Tobracin Egypt
Tobradistin Spain
Tobramicina Italy, Portugal, Spain, Venezuela
Tobramina Brazil
Tobramycin Australia, Canada, Germany, Great Britain, Ireland, Norway, Saudi Arabia, United States of America
Tobramycine France, Ireland, Netherlands
Tobrasix Austria
Tobrazid Germany
Tomycin Finland
Zetamicin Italy
Stability in solutions   injection   Stability in solutions : Netilmicin sulfate     
Container Solvent Concentration Temperature Storage Duration of stability References
Glass Water for Injection 3 mg/ml 25°C Not specified
7 Day
1200
Biological analysis

Glass Water for Injection 3 mg/ml 4°C Protect from light
7 Day
1200
Biological analysis

Glass Sodium chloride 0,9% 3 mg/ml 24°C Light
24 Hour
421
Joker

Glass Sodium chloride 0,9% 3 mg/ml 25°C Not specified
7 Day
1200
Biological analysis

Glass Sodium chloride 0,9% 3 mg/ml 4°C Protect from light
7 Day
1200
Biological analysis

Glass Glucose 5% 3 mg/ml 24°C Light
24 Hour
421
Joker

Glass Glucose 5% 3 mg/ml 25°C Not specified
7 Day
1200
Biological analysis

Glass Glucose 5% 3 mg/ml 4°C Protect from light
7 Day
1200
Biological analysis

Glass Ringer’s lactate solution 3 mg/ml 25°C Not specified
7 Day
1200
Biological analysis

Glass Ringer’s lactate solution 3 mg/ml 4°C Protect from light
7 Day
1200
Biological analysis

Glass Sodium chloride 3% 3 mg/ml 25°C Not specified
7 Day
1200
Biological analysis

Glass Sodium chloride 3% 3 mg/ml 4°C Protect from light
7 Day
1200
Biological analysis

Glass Glucose 10% 3 mg/ml 25°C Not specified
7 Day
1200
Biological analysis

Glass Glucose 10% 3 mg/ml 4°C Protect from light
7 Day
1200
Biological analysis

Polyvinyl chloride Sodium chloride 0,9% 3 mg/ml 24°C Light
24 Hour
421
Joker

Polyvinyl chloride Glucose 5% 3 mg/ml 24°C Light
24 Hour
421
Joker

Polypropylen Syringe None 10 mg/ml 25°C Protect from light
9 Day
1929
Level of evidence B

Polypropylen Syringe None 10 & 100 mg/ml 7°C Protect from light
90 Day
1929
Level of evidence B

Polypropylen Syringe None 100 mg/ml 25°C Protect from light
30 Day
1929
Level of evidence B


  Mentions Légales