Última actualização :
18/03/2026
antibiótico   Netilmicin sulfate  
injetável
aerossol
Estabilidade em soluções simples Estabilidade em misturas Factores que afectam a sua estabilidade Compatibilidade Método de administração Bibliografía pdf
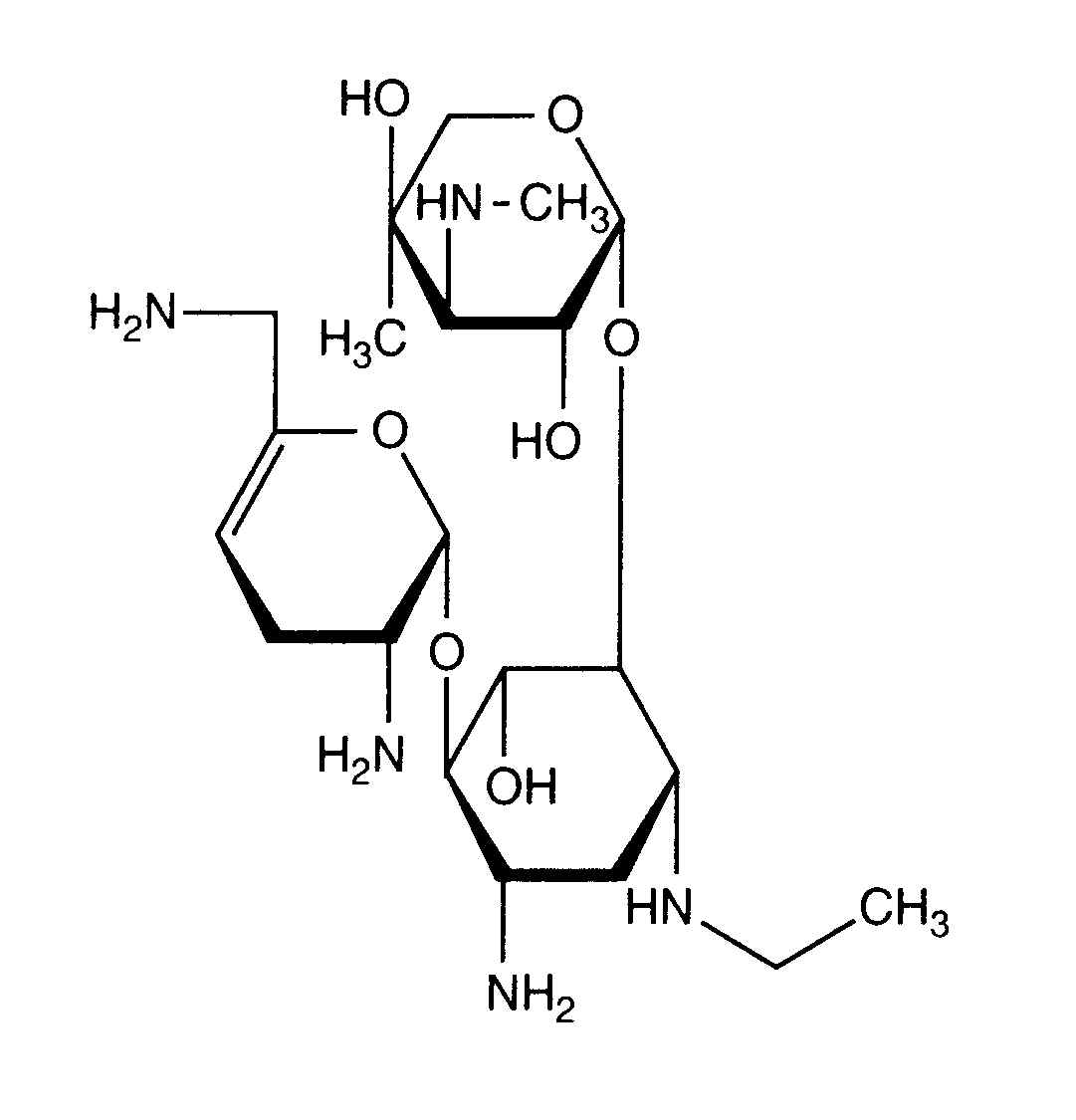
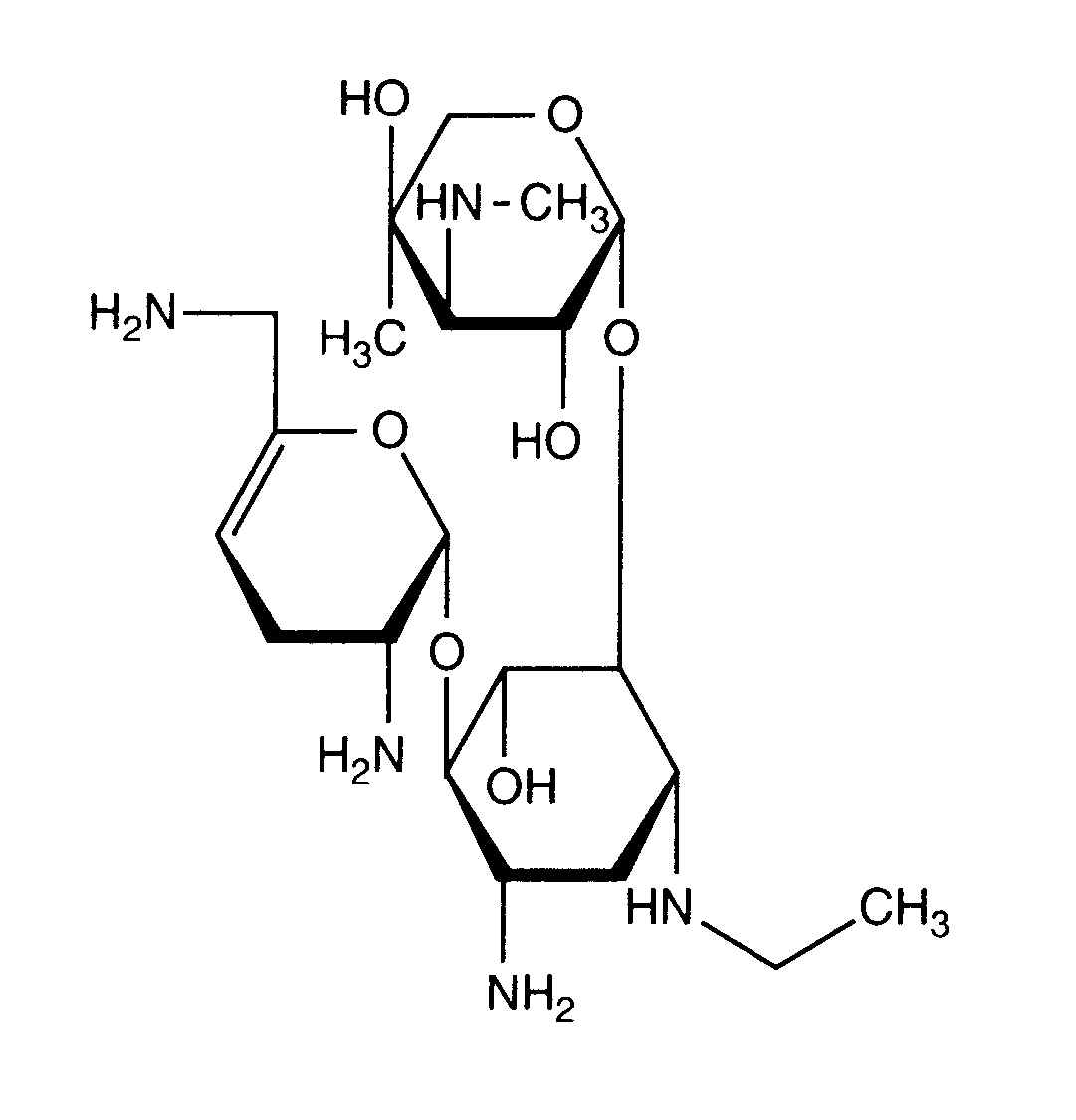
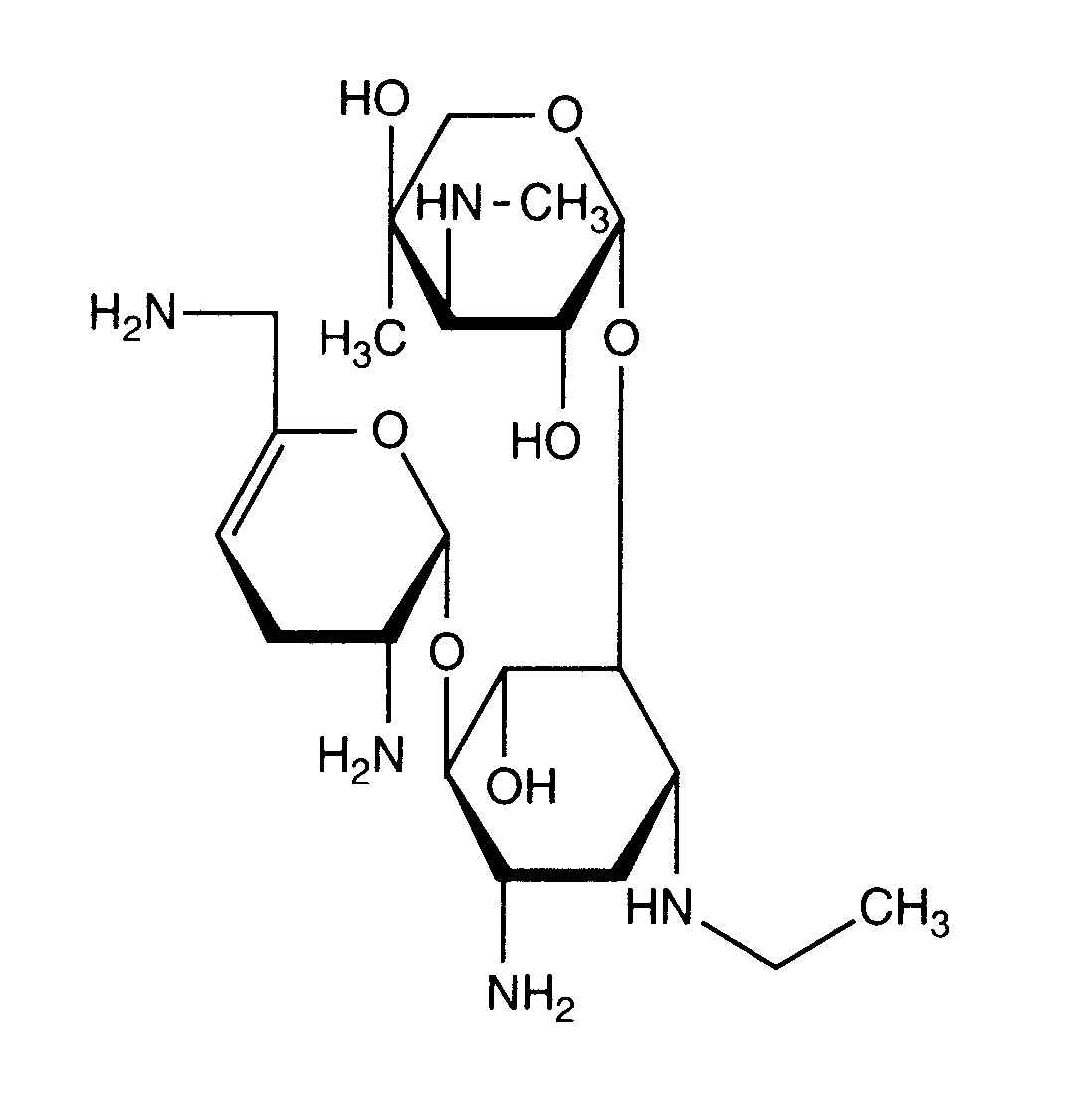
   estrutura química  

Nomes comerciais nos diversos países   Nomes comerciais nos diversos países     

OS NOMES COMERCIAIS SÃO INDICATIVOS E OS EXCIPIENTES DA FORMULAÇÃO PODEM SER DIFERENTES CONFORME O PAÍS E FABRICANTE.

Bactob Índia
Beltob Índia
Bramicil Itália
Brulamycin Hungria
Eltol Índia
Fytobra Índia
Gernebcin Alemanha
Komitub Índia
Nebcin Arábia Saudita, Australia, Egipto, Emirados Árabes Unidos, Gran-bretanha, Grècia, nova Zelândia
Nebcina Dinamarca, Marrocos, Noruega, Suècia
Nebcine Marrocos
Nebicina Itália
Netilyn Finlandia, Suècia
Netromicina Portugal
Netromicine França
Netromycine Grècia, Polonia, russo, Turquia
Nettacin Itália
Obracin Bélgica, Luxemburgo, Países Baixos, Suicia
Tobra Alemanha
Tobra Alex Egipto
Tobra Day nova Zelândia
Tobra Gobens Espanha
Tobracin Egipto
Tobradistin Espanha
Tobramicina Espanha, Itália, Portugal, Venezuela
Tobramina Brasil
Tobramycin Alemanha, Arábia Saudita, Australia, Canadá, Estados Unidos de América, Gran-bretanha, Irlanda, Noruega
Tobramycine França, Irlanda, Países Baixos
Tobrasix Austria
Tobrazid Alemanha
Tomycin Finlandia
Zetamicin Itália
Estabilidade em soluções simples   injetável   Estabilidade em soluções simples : Netilmicin sulfate     
Embalagem Solvente concentração temperatura conservação Duração da estabilidade Bibliografia
vidro Agua para injectaveis 3 mg/ml 25°C no especificado
7 dia
1200
análise biológica

vidro Agua para injectaveis 3 mg/ml 4°C ao abrigo da luz
7 dia
1200
análise biológica

vidro cloreto de sódio 0,9% 3 mg/ml 24°C luz
24 hora
421
Joker

vidro cloreto de sódio 0,9% 3 mg/ml 25°C no especificado
7 dia
1200
análise biológica

vidro cloreto de sódio 0,9% 3 mg/ml 4°C ao abrigo da luz
7 dia
1200
análise biológica

vidro Glucose 5% 3 mg/ml 24°C luz
24 hora
421
Joker

vidro Glucose 5% 3 mg/ml 25°C no especificado
7 dia
1200
análise biológica

vidro Glucose 5% 3 mg/ml 4°C ao abrigo da luz
7 dia
1200
análise biológica

vidro Ringer lactato 3 mg/ml 25°C no especificado
7 dia
1200
análise biológica

vidro Ringer lactato 3 mg/ml 4°C ao abrigo da luz
7 dia
1200
análise biológica

vidro cloreto de sódio 3% 3 mg/ml 25°C no especificado
7 dia
1200
análise biológica

vidro cloreto de sódio 3% 3 mg/ml 4°C ao abrigo da luz
7 dia
1200
análise biológica

vidro Glucose 10% 3 mg/ml 25°C no especificado
7 dia
1200
análise biológica

vidro Glucose 10% 3 mg/ml 4°C ao abrigo da luz
7 dia
1200
análise biológica

Cloreto de polivinilo cloreto de sódio 0,9% 3 mg/ml 24°C luz
24 hora
421
Joker

Cloreto de polivinilo Glucose 5% 3 mg/ml 24°C luz
24 hora
421
Joker

seringa polipropylen nenhum 10 mg/ml 25°C ao abrigo da luz
9 dia
1929
Nível de evidência B

seringa polipropylen nenhum 10 & 100 mg/ml 7°C ao abrigo da luz
90 dia
1929
Nível de evidência B

seringa polipropylen nenhum 100 mg/ml 25°C ao abrigo da luz
30 dia
1929
Nível de evidência B


  Mentions Légales