Ostatnia aktualizacja :
18/03/2026
Antybiotyk   Netilmicin sulfate  
Injekcje
Aerozol
Trwałość roztworów Trwałość w mieszaninie Czynnik wpływający na trwałość Zgodność Sposób podania Bibliografia pdf
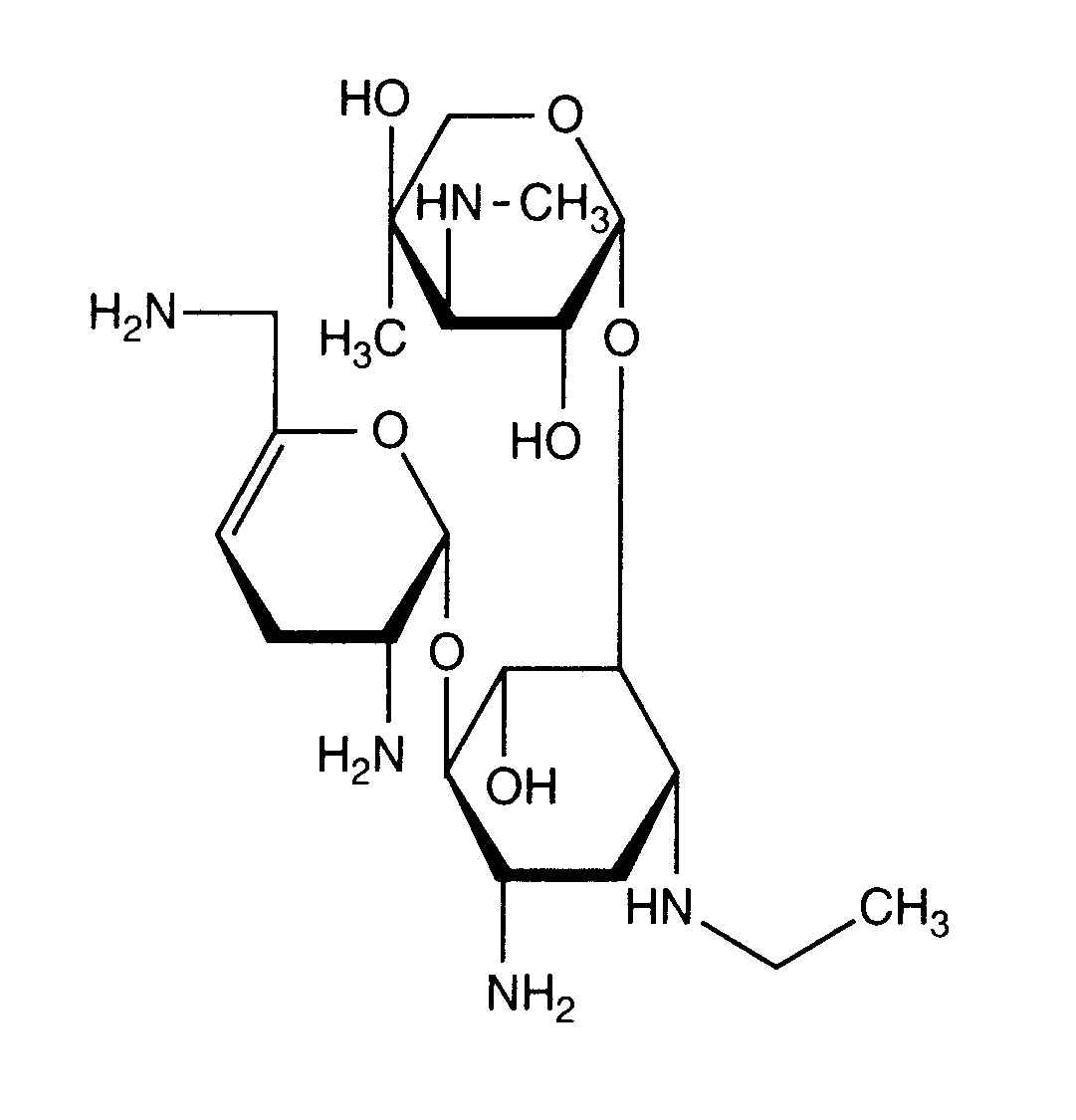
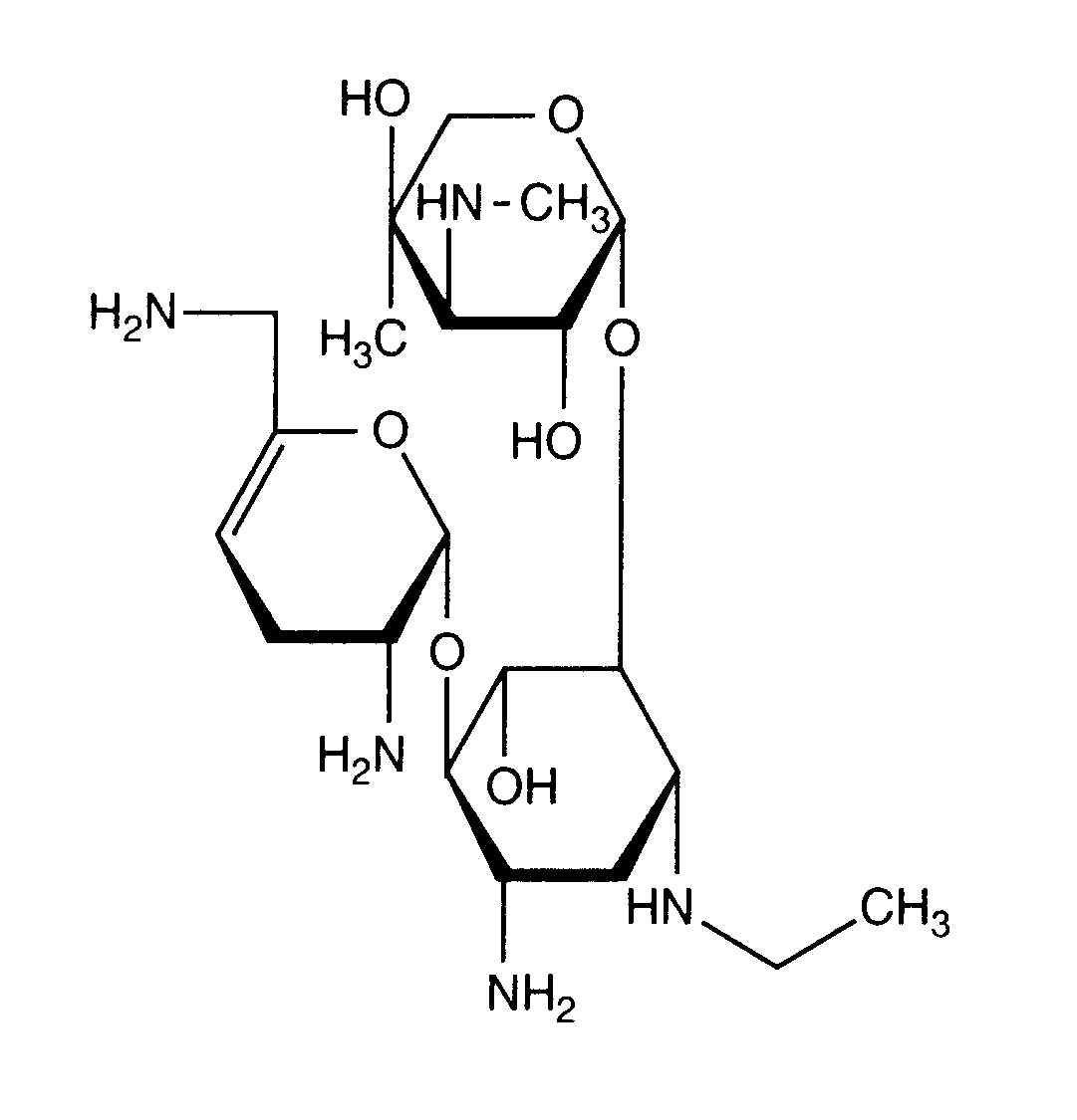
   Struktura chemiczna  

Nazwa handlowa   Nazwa handlowa     

Trade names are indicative and excipients composition can be different depending on the country and manufacturers

Bactob Indie
Beltob Indie
Bramicil Włochy
Brulamycin Węgry
Eltol Indie
Fytobra Indie
Gernebcin Niemcy
Komitub Indie
Nebcin Arabia Saudyjska, Australia, Egipt, Grecja, nowa Zelandia, Wielka Brytania, Zjednoczone Emiraty Arabskie
Nebcina Dania, Maroko, Norwegia, Szwecja
Nebcine Maroko
Nebicina Włochy
Netilyn Finlandia, Szwecja
Netromicina Portugalia
Netromicine Francja
Netromycine Grecja, Polska, rosyjski, Turcja
Nettacin Włochy
Obracin Belgia, Holandia, Luksemburg, Szwajcaria
Tobra Niemcy
Tobra Alex Egipt
Tobra Day nowa Zelandia
Tobra Gobens Hiszpania
Tobracin Egipt
Tobradistin Hiszpania
Tobramicina Hiszpania, Portugalia, Wenezuela, Włochy
Tobramina Brazylia
Tobramycin Arabia Saudyjska, Australia, Irlandia, Kanada, Niemcy, Norwegia, Stany Zjednoczone Ameryki, Wielka Brytania
Tobramycine Francja , Holandia, Irlandia
Tobrasix Austria
Tobrazid Niemcy
Tomycin Finlandia
Zetamicin Włochy
Trwałość roztworów   Injekcje   Trwałość roztworów : Netilmicin sulfate     
Pojemnik Rozpuszczalnik Stężenie Temperatura Przechowywanie Czas trwania stabilności Bibliografia
Szkło Woda do wstrzyknięć 3 mg/ml 25°C Nie wyszczególniony
7 Dzień
1200
Analiza biologiczna

Szkło Woda do wstrzyknięć 3 mg/ml 4°C Chronić od światła
7 Dzień
1200
Analiza biologiczna

Szkło Chlorek sodu 0,9% 3 mg/ml 24°C światło
24 Godzina
421
Joker

Szkło Chlorek sodu 0,9% 3 mg/ml 25°C Nie wyszczególniony
7 Dzień
1200
Analiza biologiczna

Szkło Chlorek sodu 0,9% 3 mg/ml 4°C Chronić od światła
7 Dzień
1200
Analiza biologiczna

Szkło Glukoza 5% 3 mg/ml 24°C światło
24 Godzina
421
Joker

Szkło Glukoza 5% 3 mg/ml 25°C Nie wyszczególniony
7 Dzień
1200
Analiza biologiczna

Szkło Glukoza 5% 3 mg/ml 4°C Chronić od światła
7 Dzień
1200
Analiza biologiczna

Szkło Roztwór Ringera z mleczanem sodowym 3 mg/ml 25°C Nie wyszczególniony
7 Dzień
1200
Analiza biologiczna

Szkło Roztwór Ringera z mleczanem sodowym 3 mg/ml 4°C Chronić od światła
7 Dzień
1200
Analiza biologiczna

Szkło Chlorek sodu 3% 3 mg/ml 25°C Nie wyszczególniony
7 Dzień
1200
Analiza biologiczna

Szkło Chlorek sodu 3% 3 mg/ml 4°C Chronić od światła
7 Dzień
1200
Analiza biologiczna

Szkło Glukoza 10% 3 mg/ml 25°C Nie wyszczególniony
7 Dzień
1200
Analiza biologiczna

Szkło Glukoza 10% 3 mg/ml 4°C Chronić od światła
7 Dzień
1200
Analiza biologiczna

Polichlorek winylu Chlorek sodu 0,9% 3 mg/ml 24°C światło
24 Godzina
421
Joker

Polichlorek winylu Glukoza 5% 3 mg/ml 24°C światło
24 Godzina
421
Joker

Strzykawka Żaden 10 mg/ml 25°C Chronić od światła
9 Dzień
1929
Poziom wiarygodności B

Strzykawka Żaden 10 & 100 mg/ml 7°C Chronić od światła
90 Dzień
1929
Poziom wiarygodności B

Strzykawka Żaden 100 mg/ml 25°C Chronić od światła
30 Dzień
1929
Poziom wiarygodności B


  Mentions Légales