Son güncelleme :
12/12/2025
Antibiyotik   Gentamicin sulfate  
Enjeksiyon
Göz damlası
Çözeltilerin stabilitesi Karışımlardaki stabilitesi Stabiliteyi etkileyen faktörler Uyumluluk Uygulama yöntemi Kaynaklar pdf
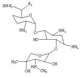
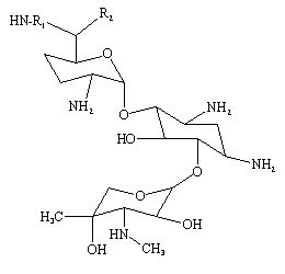
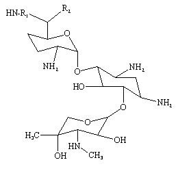
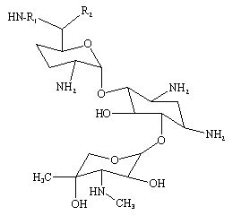
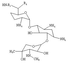
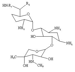
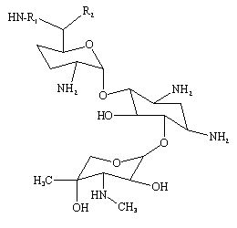
   Kimyasal yapı   

Ticari isim   Ticari isim     

Trade names are indicative and excipients composition can be different depending on the country and manufacturers

Azupel Peru
Cidomycin Büyük Britanya, Mısır, Tunus
Dabroson Yunanistan
Epigent Mısır
Garalone Portekiz
Garamicina Brezilya, Ekvador, Kolombiya, Meksika
Garamycin Birleşik Arap Emirlikleri, Danimarka, Hindistan, Hırvatistan, Hollanda, İsviçre, Mısır, Norveç, Polonya, Yunanistan
Genmisin Türkiye
Gensif Türkiye
Gensumycin Finlandiya, İsveç, Norveç
Genta-Gobens İspanya
Gentalline Fas
Gentamen Fas
Genticin Birleşik Arap Emirlikleri, Büyük Britanya, İrlanda
Gentreks Türkiye
Hexamycin Danimarka
Plurisemina Arjantin
Refobacin Almanya, Avusturya, Kolombiya, Mısır
Rupegen Arjantin
Uygulama yöntemi   Uygulama yöntemi :Gentamicin sulfate     
Voie
İntravenöz
İntravenöz infüzyon
İntramüsküler
Subkütan
İntratekal
İntraventriküler
Subkonjunktival

  Mentions Légales