Utolsó frissítés :
27/11/2025
Antibiotikum   Gentamicin sulfate  
Injekció
Szemcsepp
Az oldatok stabilitása A keverékek stabilitása Stabilitást befolyásoló tényezők Kompatibilitás Az alkalmazás módja Irodalom pdf
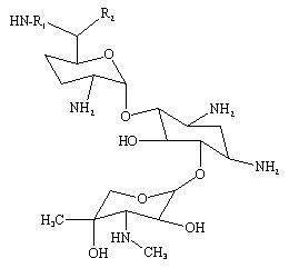
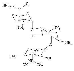
   Kémiai szerkezet   

Kereskedelmi név   Kereskedelmi név     

A kereskedelmi név meghatározó jelentőségű: a készítmények összetétele országonként, előállítóként eltérő lehet

Azupel Peru
Cidomycin Egyiptom, Nagy-Britannia, Tunézia
Dabroson Görögország
Epigent Egyiptom
Garalone Portugália
Garamicina Brazília, Colombia, Ecuador, Mexikó
Garamycin Dánia, Egyesült Arab Emírségek, Egyiptom, Görögország, Hollandia, Horvátország, India, Lengyelország, Norvégia, Svájc
Genmisin Törökország
Gensif Törökország
Gensumycin Finnország, Norvégia, Svédország
Genta-Gobens Spanyolország
Gentalline Marokkó
Gentamen Marokkó
Genticin Egyesült Arab Emírségek, Írország, Nagy-Britannia
Gentreks Törökország
Hexamycin Dánia
Plurisemina Argentína
Refobacin Ausztria, Colombia, Egyiptom, Németország
Rupegen Argentína
Az alkalmazás módja   Az alkalmazás módja :Gentamicin sulfate     
Voie
Intravénás
Intravénás infúzió
Intramuszkuláris
Szubkután
Intratekális
Intraventrikuláris
Szubkonjunktivális

  Mentions Légales