Ultimele actualizari :
18/03/2026
Antibiotic   Gentamicin sulfate  
Injectabil
colir
Stabilitatea in solutie Stabilitatea in amestec Factorii care influenteaza stabilitatea Compatibilitate Microunde Bibliografie pdf
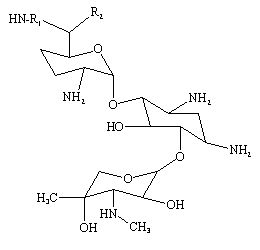
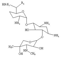
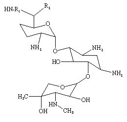
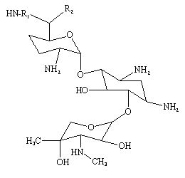
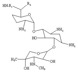
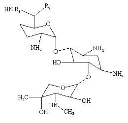
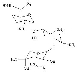
   Formula chimica  

Denumirea comerciala   Denumirea comerciala     

Trade names are indicative and excipients composition can be different depending on the country and manufacturers

Azupel Peru
Cidomycin Egipt, Marea Britanie, Tunisia
Dabroson Grecia
Epigent Egipt
Garalone Portugalia
Garamicina Brazilia, Columbia, Ecuador, Mexic
Garamycin Croatia, Danemarca, Egipt, Elvetia, Emiratele Arabe Unite, Grecia, India, Norvegia, Olanda, Polonia
Genmisin Turcia
Gensif Turcia
Gensumycin Finlanda, Norvegia, Suedia
Genta-Gobens Spania
Gentalline Maroc
Gentamen Maroc
Genticin Emiratele Arabe Unite, Irlanda, Marea Britanie
Gentreks Turcia
Hexamycin Danemarca
Plurisemina Argentina
Refobacin Austria, Columbia, Egipt, Germania
Rupegen Argentina
Microunde   Microunde :Gentamicin sulfate     
Voie
Intravenos
Perfuzie intravenoasa
Intra-muscular
sub-cutanat
Intratecal
Intraventricular
sub conjunctival

  Mentions Légales