最新更新 :
18/03/2026
抗生素   Gentamicin sulfate  
注射液
眼药水
溶液稳定性 混合物稳定性 影响稳定性的因素 兼容性 用药途径 引用文献 PDF
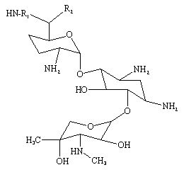
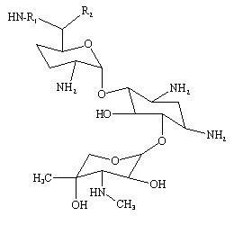
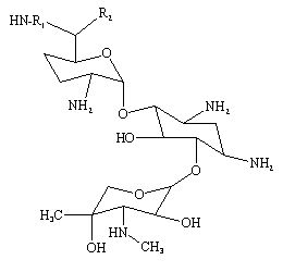
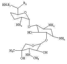
   化学式  

商品名   商品名     

商品名仅供参考, 药品所用的辅料可能依国家或厂商不同有所不同。

Azupel 秘鲁
Cidomycin 埃及, 突尼斯, 英国
Dabroson 希腊
Epigent 埃及
Garalone 葡萄牙
Garamicina 厄瓜多尔, 哥伦比亚, 墨西哥, 巴西
Garamycin 丹麦, 克罗地亚, 印度, 埃及, 希腊, 挪威, 波兰, 瑞士, 荷兰, 阿联酋
Genmisin 土耳其
Gensif 土耳其
Gensumycin 挪威, 瑞典, 芬兰
Genta-Gobens 西班牙
Gentalline 摩洛哥
Gentamen 摩洛哥
Genticin 爱尔兰, 英国, 阿联酋
Gentreks 土耳其
Hexamycin 丹麦
Plurisemina 阿根廷
Refobacin 哥伦比亚, 埃及, 奥地利, 德国
Rupegen 阿根廷
用药途径   用药途径 :Gentamicin sulfate     
路线
静脉注射
静脉输液
肌肉内
皮下
鞘内
脑室内
结膜内

  Mentions Légales