Zadnji put ažurirano :
18/03/2026
antibiotik   Gentamicin sulfate  
injekcija
kapi za oko
Stabilizacija rješenja Stabilnost mješavine Stabilizacijski faktor Kompatibilnosti način davanja lijeka Bibliografija pdf
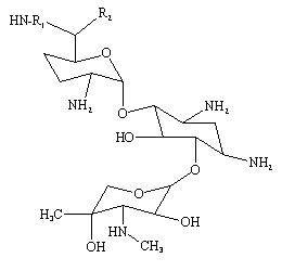
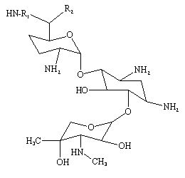
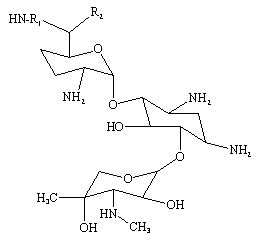
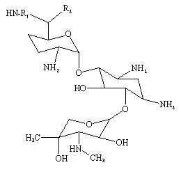
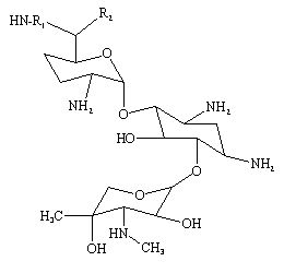
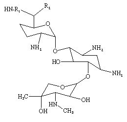
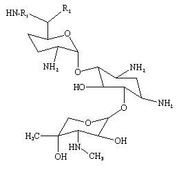
   Kemijska struktura  

Nekomercijalni   Nekomercijalni     

Zaštićeni nazivi su indikativni i sastav ekscipijensa može biti različit ovisno o državi i laboratorijima

Azupel Peru
Cidomycin Egipat, Tunis, Velika Britanija
Dabroson Grčka
Epigent Egipat
Garalone Portugal
Garamicina Brazil, Ekvador, Kolumbija, Meksiko
Garamycin Indija, Danska, Egipat, Grčka, Hrvatska, Nizozemska, Norveška, Poljska, Švicarska, Ujedinjeni Arapski Emirati
Genmisin Turska
Gensif Turska
Gensumycin Finska, Norveška, Švedska
Genta-Gobens Španjolska
Gentalline Maroko
Gentamen Maroko
Genticin Irska, Ujedinjeni Arapski Emirati, Velika Britanija
Gentreks Turska
Hexamycin Danska
Plurisemina Argentina
Refobacin Austrija, Egipat, Kolumbija, Njemačka
Rupegen Argentina
način davanja lijeka   način davanja lijeka :Gentamicin sulfate     
Voie
intravenozno
intravenozna infuzija
intramuskularni
subkutani
intratekalni
intraventikularno
subkonkonjunktivan

  Mentions Légales