Laatste update :
18/03/2026
Antibioticum   Gentamicin sulfate  
injecteerbaar geneesmiddel
Oogwater
Stabiliteit in oplossing Stabiliteit in mengsels Factoren die de stabiliteit beïnvloeden Verenigbaarheden Toedieningswijze Literatuur pdf
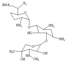
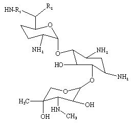
   Molecuulstructuur  

Merknamen in verschillende landen   Merknamen in verschillende landen     

Handelsnamen zijn slechts een indicatie; de samenstelling van hulpstoffen kan per land variëren afhankelijk van de fabrikant

Azupel Peru
Cidomycin Egypte, Groot Britannië, Tunisie
Dabroson Griekenland
Epigent Egypte
Garalone Portugal
Garamicina Brazilië, Colombia, Ecuador, Mexico
Garamycin Denemarken, Egypte, Griekenland, Indië, Kroatië, Nederland, Noorwegen, Polen, Verenigde Arabische Emiraten, Zwitserland
Genmisin Turkije
Gensif Turkije
Gensumycin Finland, Noorwegen, Zweden
Genta-Gobens Spanje
Gentalline Marokko
Gentamen Marokko
Genticin Groot Britannië, Ierland, Verenigde Arabische Emiraten
Gentreks Turkije
Hexamycin Denemarken
Plurisemina Argentinië
Refobacin Colombia, Duitsland, Egypte, Oostenrijk
Rupegen Argentinië
Toedieningswijze   Toedieningswijze :Gentamicin sulfate     
Voie
Intraveneus
Intraveneus infuus
Intramusculair
Subcutaan
Intrathecaal
Intraventriculair
Subconjunctivaal

  Mentions Légales